Senaste uppdateringen :
18/03/2026
Antimykotikum   Anidulafungin  
injektion
Lösningars stabilitet Stabilitet i blandningar Faktorer som påverkar stabiliteten Kompatibilitet Administreringssätt Hänvisningar pdf
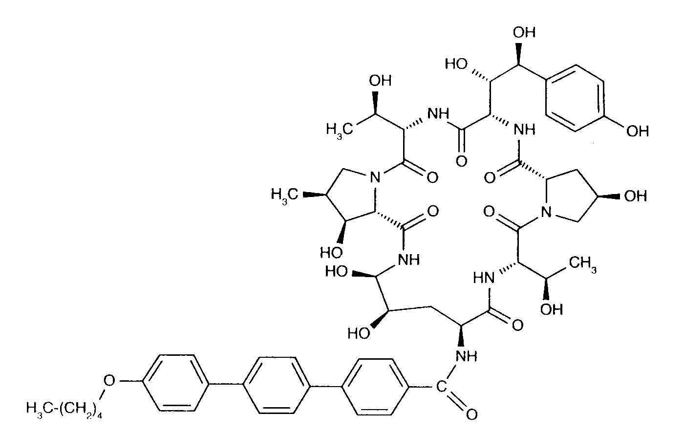
   Molekylstruktur  

Varunamn   Varunamn     

Angivna handelsnamn på läkemedel är enbart vägledande då formulering inklusive hjälpämnen kan variera mellan länder och tillverkare

Anidulafungin Belgien, Storbritannien, Tyskland
Anidulafungina Brasilien, Spanien
Ecalta Argentina, Belgien, Brasilien, Chile, Colombia, Danmark, Finland, Förenta Staterna, Frankrike, Grekland, Italien, Kanada, Luxemburg, Malaysia, Nederländerna, Norge, Peru, Polen, Rumänien, Schweiz, Spanien, Storbritannien, Sverige, Turkiet, Tyskland, Ungern, Venezuela
Equalta Mexiko
Eraxis Australien, Förenta Staterna, Kanada
Fuzig Mexiko
Kompatibilitet   injektion   Kompatibilitet : Anidulafungin              
Den här skärmen visar kompatibiliteten eller inkompatibiliteten med, i detta fall, typen av inkompatibilitet (utfällning, färgförändring, modifiering av en emulsion, etc.). De kompatibiliteter som visas här är oftast endast fysiska, varvid den kemiska stabiliteten för varje molekyl sällan utvärderas. Utvärderingen av dessa blandningar studerades för att överväga möjligheten för Y-platsadministrering till patienten. Dessa data kan inte användas för att göra blandningar i förväg i påsar eller sprutor. Denna typ av information finns på skärmen "Stabilitet i blandning".
Substans Lösningsmedel Hänvisningar
Kompatibel
injektion Anidulafungin 0.5 mg/ml
injektion Aciclovir sodium 7 mg/ml
Glukos 5 % 1982
Kompatibel
injektion Anidulafungin 0.5 mg/ml
injektion Amikacin sulfate 5 mg/ml
Glukos 5 % 1982
Kompatibel
injektion Anidulafungin 0.5 mg/ml
injektion Aminophylline 2.5 mg/ml
Glukos 5 % 1982
Omedelbar grumlighet Oförenlig
injektion Anidulafungin 0,5 mg/ml
injektion Amphotericin B 0,6 mg/ml
Glukos 5 % 1982
Kompatibel
injektion Anidulafungin 0.5 mg/ml
injektion Amphotericin B cholesteryl sulfate complex 1 mg/ml
Glukos 5 % 1982
Kompatibel
injektion Anidulafungin 0.5 mg/ml
injektion Amphotericin B liposomale 1 mg/ml
Glukos 5 % 1982
Kompatibel
injektion Anidulafungin 0.5 mg/ml
injektion Ampicillin sodium 20 mg/ml
Glukos 5 % 1982
Kompatibel
injektion Anidulafungin 0.5 mg/ml
injektion Ampicillin sodium - sulbactam sodium 20/10 mg/ml
Glukos 5 % 1982
Kompatibel
injektion Anidulafungin 0.5 mg/ml
injektion Carboplatin 5 mg/ml
Glukos 5 % 1982
Kompatibel
injektion Anidulafungin 0.5 mg/ml
injektion Cefazolin sodium 20 mg/ml
Glukos 5 % 1982
Kompatibel
injektion Anidulafungin 0.5 mg/ml
injektion Cefepime dihydrochloride 20 mg/ml
Glukos 5 % 1982
Kompatibel
injektion Anidulafungin 0.77 mg/ml
injektion Cefiderocol sulfate tosylate 20 mg/mL
Natriumklorid 0,9 % 4528
Kompatibel
injektion Anidulafungin 0.77 mg/ml
injektion Cefiderocol sulfate tosylate 20 mg/mL
Glukos 5 % 4528
Kompatibel
injektion Anidulafungin 0.5 mg/ml
injektion Cefoxitin sodium 20 mg/ml
Glukos 5 % 1982
Kompatibel
injektion Anidulafungin 0.5 mg/ml
injektion Ceftazidime 40 mg/ml
Glukos 5 % 1982
Kompatibel
injektion Anidulafungin 0.5 mg/ml
injektion Ceftizoxime sodium 20 mg/ml
Glukos 5 % 1982
Kompatibel
injektion Anidulafungin 0.77 mg/ml
injektion Ceftolozane / tazobactam 10/5 mg/ml
Natriumklorid 0,9 % 3828
Kompatibel
injektion Anidulafungin 0.77 mg/ml
injektion Ceftolozane / tazobactam 10/5 mg/ml
Glukos 5 % 3828
Kompatibel
injektion Anidulafungin 0.5 mg/ml
injektion Ceftriaxone disodium 20 mg/ml
Glukos 5 % 1982
Kompatibel
injektion Anidulafungin 0.5 mg/ml
injektion Cefuroxime sodium 30 mg/ml
Glukos 5 % 1982
Kompatibel
injektion Anidulafungin 0.5 mg/ml
injektion Ciclosporin 5 mg/ml
Glukos 5 % 1982
Kompatibel
injektion Anidulafungin 0.5 mg/ml
injektion Cimetidine hydrochloride 12 mg/ml
Glukos 5 % 1982
Kompatibel
injektion Anidulafungin 0.5 mg/ml
injektion Ciprofloxacin lactate 2 mg/ml
Glukos 5 % 1982
Kompatibel
injektion Anidulafungin 0.5 mg/ml
injektion Cisplatin 1 mg/ml
Glukos 5 % 1982
Kompatibel
injektion Anidulafungin 0.5 mg/ml
injektion Clindamycin phosphate 10 mg/ml
Glukos 5 % 1982
Kompatibel
injektion Anidulafungin 0.5 mg/ml
injektion Co-trimoxazole 4/0.8 mg/ml
Glukos 5 % 1982
Kompatibel
injektion Anidulafungin 0.5 mg/ml
injektion Cyclophosphamide 10 mg/ml
Glukos 5 % 1982
Kompatibel
injektion Anidulafungin 0.5 mg/ml
injektion Cytarabine 50 mg/ml
Glukos 5 % 1982
Kompatibel
injektion Anidulafungin 0.5 mg/ml
injektion Daunorubicin hydrochloride 1 mg/ml
Glukos 5 % 1982
Kompatibel
injektion Anidulafungin 0.5 mg/ml
injektion Dexamethasone sodium phosphate 1 mg/ml
Glukos 5 % 1982
Kompatibel
injektion Anidulafungin 0.5 mg/ml
injektion Digoxin 250 µg/ml
Glukos 5 % 1982
Kompatibel
injektion Anidulafungin 0.5 mg/ml
injektion Dobutamine hydrochloride 4 mg/ml
Glukos 5 % 1982
Kompatibel
injektion Anidulafungin 0.5 mg/ml
injektion Docetaxel 2 mg/ml
Glukos 5 % 1982
Kompatibel
injektion Anidulafungin 0.5 mg/ml
injektion Dopamine hydrochloride 3.2 mg/ml
Glukos 5 % 1982
Kompatibel
injektion Anidulafungin 0,5 mg/ml
injektion Doripenem 5 mg/ml
Natriumklorid 0,9 % 2262
Kompatibel
injektion Anidulafungin 0,5 mg/ml
injektion Doripenem 5 mg/ml
Glukos 5 % 2262
Kompatibel
injektion Anidulafungin 0.5 mg/ml
injektion Doxorubicin hydrochloride 2 mg/ml
Glukos 5 % 1982
Kompatibel
injektion Anidulafungin 0.5 mg/ml
injektion Epinephrine hydrochloride 50 µg/ml
Glukos 5 % 1982
Omedelbar nederbörd Oförenlig
injektion Anidulafungin 0.5 mg/ml
injektion Ertapenem 20 mg/ml
Glukos 5 % 1982
Kompatibel
injektion Anidulafungin 0.5 mg/ml
injektion Erythromycin lactobionate 5 mg/ml
Glukos 5 % 1982
Kompatibel
injektion Anidulafungin 0.5 mg/ml
injektion Etoposide phosphate 5 mg/ml
Glukos 5 % 1982
Kompatibel
injektion Anidulafungin 0.5 mg/ml
injektion Famotidine 2 mg/ml
Glukos 5 % 1982
Kompatibel
injektion Anidulafungin 0.5 mg/ml
injektion Fentanyl citrate 50 µg/ml
Glukos 5 % 1982
Kompatibel
injektion Anidulafungin 0.5 mg/ml
injektion Fluconazole 2 mg/ml
Glukos 5 % 1982
Kompatibel
injektion Anidulafungin 0.5 mg/ml
injektion Fluorouracil 16 mg/ml
Glukos 5 % 1982
Kompatibel
injektion Anidulafungin 0.5 mg/ml
injektion Folinate calcium 2 mg/ml
Glukos 5 % 1982
Utfällning efter 1 timme Oförenlig
injektion Anidulafungin 0,77 mg/ml
injektion Fosfomycin 30 mg/ml
Natriumklorid 0,9 % 4055
Nederbörd efter 15 minuter Oförenlig
injektion Anidulafungin 0,77 mg/ml
injektion Fosfomycin 30 mg/ml
Glukos 5 % 4055
Kompatibel
injektion Anidulafungin 0.5 mg/ml
injektion Furosemide 3 mg/ml
Glukos 5 % 1982
Kompatibel
injektion Anidulafungin 0.5 mg/ml
injektion Ganciclovir sodium 20 mg/ml
Glukos 5 % 1982
Kompatibel
injektion Anidulafungin 0.5 mg/ml
injektion Gemcitabine hydrochloride 10 mg/ml
Glukos 5 % 1982
Kompatibel
injektion Anidulafungin 0.5 mg/ml
injektion Gentamicin sulfate 5 mg/ml
Glukos 5 % 1982
Kompatibel
injektion Anidulafungin 0.5 mg/ml
injektion Heparin sodium 100 UI/ml
Glukos 5 % 1982
Kompatibel
injektion Anidulafungin 0.5 mg/ml
injektion Hydrocortisone sodium succinate 1 mg/ml
Glukos 5 % 1982
Kompatibel
injektion Anidulafungin 0.5 mg/ml
injektion Ifosfamide 25 mg/ml
Glukos 5 % 1982
Kompatibel
injektion Anidulafungin
Glukos 5 % 3567
Kompatibel
injektion Anidulafungin 0.5 mg/ml
injektion Hydromorphone hydrochloride 0.5 mg/ml
Glukos 5 % 1982
Kompatibel
injektion Anidulafungin 0.5 mg/ml
injektion Imipenem - cilastatin sodium 5 mg/ml
Glukos 5 % 1982
Kompatibel
injektion Anidulafungin 0.77 mg/ml
injektion Isavuconazonium sulfate 1.5 mg/ml
Natriumklorid 0,9 % 3829
Kompatibel
injektion Anidulafungin 0.77 mg/ml
injektion Isavuconazonium sulfate 1.5 mg/ml
Glukos 5 % 3829
Kompatibel
injektion Anidulafungin 0.5 mg/ml
injektion Levofloxacine 5 mg/ml
Glukos 5 % 1982
Kompatibel
injektion Anidulafungin 0.5 mg/ml
injektion Linezolid 2 mg/ml
Glukos 5 % 1982
Kompatibel
injektion Anidulafungin 0.5 mg/ml
injektion Meropenem 2.5 mg/ml
Glukos 5 % 1982
Kompatibel
injektion Anidulafungin 0.5 mg/ml
injektion Methylprednisolone sodium succinate 5 mg/ml
Glukos 5 % 1982
Kompatibel
injektion Anidulafungin 0.5 mg/ml
injektion Metronidazole 5 mg/ml
Glukos 5 % 1982
Kompatibel
injektion Anidulafungin 0.5 mg/ml
injektion Midazolam hydrochloride 1 mg/ml
Glukos 5 % 1982
Kompatibel
injektion Anidulafungin 0.5 mg/ml
injektion Morphine sulfate 15 mg/ml
Glukos 5 % 1982
Kompatibel
injektion Anidulafungin 0.5 mg/ml
injektion Mycophenolate mofetil 6 mg/ml
Glukos 5 % 1982
Kompatibel
injektion Anidulafungin 0.5 mg/ml
injektion Paclitaxel 0.6 mg/ml
Glukos 5 % 1982
Kompatibel
injektion Anidulafungin 0.5 mg/ml
injektion Pantoprazole sodium 0.4 mg/ml
Glukos 5 % 1982
Kompatibel
injektion Anidulafungin 0.5 mg/ml
injektion Pethidine hydrochloride 10 mg/ml
Glukos 5 % 1982
Kompatibel
injektion Anidulafungin 0.5 mg/ml
injektion Phenylephrine hydrochloride 1 mg/ml
Glukos 5 % 1982
Kompatibel
injektion Anidulafungin 0.5 mg/ml
injektion Piperacillin sodium / tazobactam 40/5 mg/ml
Glukos 5 % 1982
Grumlighet på 15 minuter Oförenlig
injektion Anidulafungin 0,77 mg/ml
injektion Plazomicin sulfate 24 mg/ml
Natriumklorid 0,9 % 4145
Kompatibel
injektion Anidulafungin 0.5 mg/ml
injektion Potassium chloride 0.1 mEq/l
Glukos 5 % 1982
Kompatibel
injektion Anidulafungin 0.5 mg/ml
injektion Quinupristine/dalfopristine 5 mg/ml
Glukos 5 % 1982
Kompatibel
injektion Anidulafungin 0.5 mg/ml
injektion Ranitidine hydrochloride 2 mg/ml
Glukos 5 % 1982
Omedelbar grumlighet Oförenlig
injektion Anidulafungin 0.5 mg/ml
injektion Sodium bicarbonate 84 mg/ml
Glukos 5 % 1982
Kompatibel
injektion Anidulafungin 0,77 mg/ml
injektion Sulbactam/durlobactam 15/15 mg/ml
Natriumklorid 0,9 % 4801
Kompatibel
injektion Anidulafungin 0.5 mg/ml
injektion Tacrolimus 20 µg/ml
Glukos 5 % 1982
Kompatibel
injektion Anidulafungin 0.77 mg/ml
injektion Tedizolid phosphate 0.8 mg/ml
Natriumklorid 0,9 % 3827
Kompatibel
injektion Anidulafungin 0.5 mg/ml
injektion Ticarcillin / clavulanic acid 31 mg/ml
Glukos 5 % 1982
Kompatibel
injektion Anidulafungin 0.5 mg/ml
injektion Tobramycin sulfate 5 mg/ml
Glukos 5 % 1982
Kompatibel
injektion Anidulafungin 0.5 mg/ml
injektion Vancomycin hydrochloride 10 mg/ml
Glukos 5 % 1982
Kompatibel
injektion Anidulafungin 0.5 mg/ml
injektion Vincristine sulfate 0.05 mg/ml
Glukos 5 % 1982
Kompatibel
injektion Anidulafungin 0.5 mg/ml
injektion Voriconazole 4 mg/ml
Glukos 5 % 1982
Kompatibel
injektion Anidulafungin
Natriumklorid 0,9 % 3567
Kompatibel
injektion Anidulafungin 0.5 mg/ml
injektion Zidovudine 4 mg/ml
Glukos 5 % 1982
Omedelbar grumlighet Oförenlig
injektion Anidulafungin 0.5 mg/ml
NaHCO3 1982

  Mentions Légales