Poslední aktualizace :
18/03/2026
Protiplísňový přípravek   Anidulafungin  
injekce
Stabilita roztoků Stabilita směsí Faktory ovlivňující stabilitu Kompatibilita Způsoby aplikace Odkazy pdf
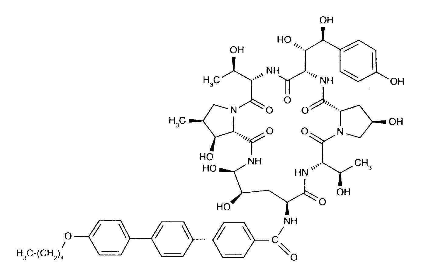
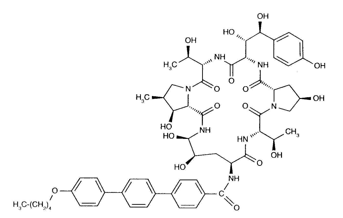
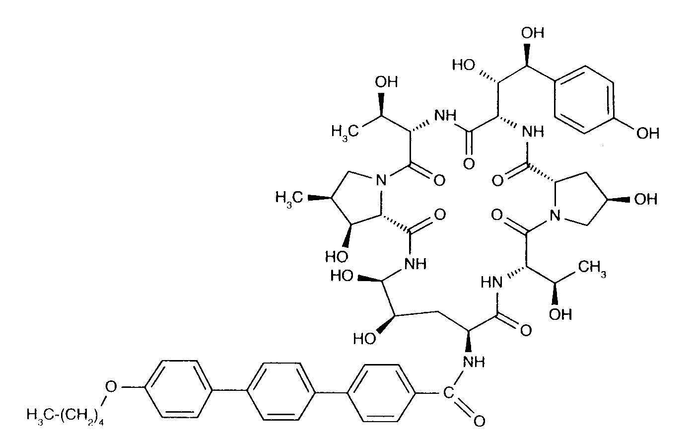
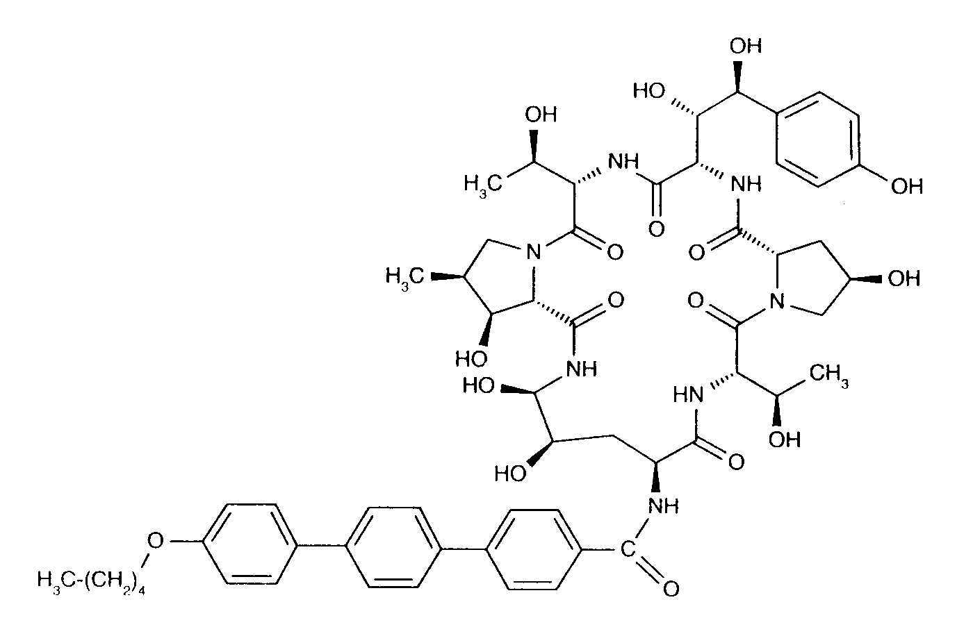
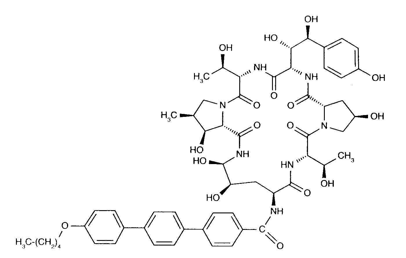
   Chemický vzorec  

Obchodní název   Obchodní název     

Trade names are indicative and excipients composition can be different depending on the country and manufacturers

Anidulafungin Belgie, NÏmecko, Velká Británie
Anidulafungina äpanÏlsko, BrazÌlie
Ecalta äpanÏlsko, Argentina, Belgie, BrazÌlie, Chile, Dánsko, Finsko, Francie, Itálie, Kanada, Kolumbie, Lucembursko, Malajsie, MaÔarsko, NÏmecko, Nizozemsko, Norsko, Peru, Polsko, Rumunsko, Švédsko, Švýcarsko, Turecko, USA, Velká Británie, Venezuela, ÿecko
Equalta Mexiko
Eraxis Austrálie, Kanada, USA
Fuzig Mexiko
Kompatibilita   injekce   Kompatibilita : Anidulafungin              
Tato obrazovka ukazuje kompatibilitu nebo nekompatibilitu s, v tomto případě, typem nekompatibility (srážení, změna barvy, modifikace emulze atd.). Zde uvedené kompatibility jsou většinou pouze fyzikální, přičemž chemická stabilita každé molekuly je zřídka hodnocena. Hodnocení těchto směsí bylo studováno, aby se zvážila možnost podání Y-místa pacientovi. Tyto údaje nelze použít k přípravě směsí předem v pytlích nebo stříkačkách. Tento typ informací je k dispozici na obrazovce „Stabilita ve směsi“.
SlouËenina RozpouötÏdlo Odkazy
Kompatibilní
injekce Anidulafungin 0.5 mg/ml
injekce Aciclovir sodium 7 mg/ml
GlukÛza 5% 1982
Kompatibilní
injekce Anidulafungin 0.5 mg/ml
injekce Amikacin sulfate 5 mg/ml
GlukÛza 5% 1982
Kompatibilní
injekce Anidulafungin 0.5 mg/ml
injekce Aminophylline 2.5 mg/ml
GlukÛza 5% 1982
Okamžitá zákal Nekompatibilní
injekce Anidulafungin 0,5 mg/ml
injekce Amphotericin B 0,6 mg/ml
GlukÛza 5% 1982
Kompatibilní
injekce Anidulafungin 0.5 mg/ml
injekce Amphotericin B cholesteryl sulfate complex 1 mg/ml
GlukÛza 5% 1982
Kompatibilní
injekce Anidulafungin 0.5 mg/ml
injekce Amphotericin B liposomale 1 mg/ml
GlukÛza 5% 1982
Kompatibilní
injekce Anidulafungin 0.5 mg/ml
injekce Ampicillin sodium 20 mg/ml
GlukÛza 5% 1982
Kompatibilní
injekce Anidulafungin 0.5 mg/ml
injekce Ampicillin sodium - sulbactam sodium 20/10 mg/ml
GlukÛza 5% 1982
Kompatibilní
injekce Anidulafungin 0.5 mg/ml
injekce Carboplatin 5 mg/ml
GlukÛza 5% 1982
Kompatibilní
injekce Anidulafungin 0.5 mg/ml
injekce Cefazolin sodium 20 mg/ml
GlukÛza 5% 1982
Kompatibilní
injekce Anidulafungin 0.5 mg/ml
injekce Cefepime dihydrochloride 20 mg/ml
GlukÛza 5% 1982
Kompatibilní
injekce Anidulafungin 0.77 mg/ml
injekce Cefiderocol sulfate tosylate 20 mg/mL
Chlorid sodný 0,9% 4528
Kompatibilní
injekce Anidulafungin 0.77 mg/ml
injekce Cefiderocol sulfate tosylate 20 mg/mL
GlukÛza 5% 4528
Kompatibilní
injekce Anidulafungin 0.5 mg/ml
injekce Cefoxitin sodium 20 mg/ml
GlukÛza 5% 1982
Kompatibilní
injekce Anidulafungin 0.5 mg/ml
injekce Ceftazidime 40 mg/ml
GlukÛza 5% 1982
Kompatibilní
injekce Anidulafungin 0.5 mg/ml
injekce Ceftizoxime sodium 20 mg/ml
GlukÛza 5% 1982
Kompatibilní
injekce Anidulafungin 0.77 mg/ml
injekce Ceftolozane / tazobactam 10/5 mg/ml
Chlorid sodný 0,9% 3828
Kompatibilní
injekce Anidulafungin 0.77 mg/ml
injekce Ceftolozane / tazobactam 10/5 mg/ml
GlukÛza 5% 3828
Kompatibilní
injekce Anidulafungin 0.5 mg/ml
injekce Ceftriaxone disodium 20 mg/ml
GlukÛza 5% 1982
Kompatibilní
injekce Anidulafungin 0.5 mg/ml
injekce Cefuroxime sodium 30 mg/ml
GlukÛza 5% 1982
Kompatibilní
injekce Anidulafungin 0.5 mg/ml
injekce Ciclosporin 5 mg/ml
GlukÛza 5% 1982
Kompatibilní
injekce Anidulafungin 0.5 mg/ml
injekce Cimetidine hydrochloride 12 mg/ml
GlukÛza 5% 1982
Kompatibilní
injekce Anidulafungin 0.5 mg/ml
injekce Ciprofloxacin lactate 2 mg/ml
GlukÛza 5% 1982
Kompatibilní
injekce Anidulafungin 0.5 mg/ml
injekce Cisplatin 1 mg/ml
GlukÛza 5% 1982
Kompatibilní
injekce Anidulafungin 0.5 mg/ml
injekce Clindamycin phosphate 10 mg/ml
GlukÛza 5% 1982
Kompatibilní
injekce Anidulafungin 0.5 mg/ml
injekce Co-trimoxazole 4/0.8 mg/ml
GlukÛza 5% 1982
Kompatibilní
injekce Anidulafungin 0.5 mg/ml
injekce Cyclophosphamide 10 mg/ml
GlukÛza 5% 1982
Kompatibilní
injekce Anidulafungin 0.5 mg/ml
injekce Cytarabine 50 mg/ml
GlukÛza 5% 1982
Kompatibilní
injekce Anidulafungin 0.5 mg/ml
injekce Daunorubicin hydrochloride 1 mg/ml
GlukÛza 5% 1982
Kompatibilní
injekce Anidulafungin 0.5 mg/ml
injekce Dexamethasone sodium phosphate 1 mg/ml
GlukÛza 5% 1982
Kompatibilní
injekce Anidulafungin 0.5 mg/ml
injekce Digoxin 250 µg/ml
GlukÛza 5% 1982
Kompatibilní
injekce Anidulafungin 0.5 mg/ml
injekce Dobutamine hydrochloride 4 mg/ml
GlukÛza 5% 1982
Kompatibilní
injekce Anidulafungin 0.5 mg/ml
injekce Docetaxel 2 mg/ml
GlukÛza 5% 1982
Kompatibilní
injekce Anidulafungin 0.5 mg/ml
injekce Dopamine hydrochloride 3.2 mg/ml
GlukÛza 5% 1982
Kompatibilní
injekce Anidulafungin 0,5 mg/ml
injekce Doripenem 5 mg/ml
Chlorid sodný 0,9% 2262
Kompatibilní
injekce Anidulafungin 0,5 mg/ml
injekce Doripenem 5 mg/ml
GlukÛza 5% 2262
Kompatibilní
injekce Anidulafungin 0.5 mg/ml
injekce Doxorubicin hydrochloride 2 mg/ml
GlukÛza 5% 1982
Kompatibilní
injekce Anidulafungin 0.5 mg/ml
injekce Epinephrine hydrochloride 50 µg/ml
GlukÛza 5% 1982
Okamžité srážení Nekompatibilní
injekce Anidulafungin 0.5 mg/ml
injekce Ertapenem 20 mg/ml
GlukÛza 5% 1982
Kompatibilní
injekce Anidulafungin 0.5 mg/ml
injekce Erythromycin lactobionate 5 mg/ml
GlukÛza 5% 1982
Kompatibilní
injekce Anidulafungin 0.5 mg/ml
injekce Etoposide phosphate 5 mg/ml
GlukÛza 5% 1982
Kompatibilní
injekce Anidulafungin 0.5 mg/ml
injekce Famotidine 2 mg/ml
GlukÛza 5% 1982
Kompatibilní
injekce Anidulafungin 0.5 mg/ml
injekce Fentanyl citrate 50 µg/ml
GlukÛza 5% 1982
Kompatibilní
injekce Anidulafungin 0.5 mg/ml
injekce Fluconazole 2 mg/ml
GlukÛza 5% 1982
Kompatibilní
injekce Anidulafungin 0.5 mg/ml
injekce Fluorouracil 16 mg/ml
GlukÛza 5% 1982
Kompatibilní
injekce Anidulafungin 0.5 mg/ml
injekce Folinate calcium 2 mg/ml
GlukÛza 5% 1982
Srážky po 1 hodině Nekompatibilní
injekce Anidulafungin 0,77 mg/ml
injekce Fosfomycin 30 mg/ml
Chlorid sodný 0,9% 4055
Srážení po 15 minutách Nekompatibilní
injekce Anidulafungin 0,77 mg/ml
injekce Fosfomycin 30 mg/ml
GlukÛza 5% 4055
Kompatibilní
injekce Anidulafungin 0.5 mg/ml
injekce Furosemide 3 mg/ml
GlukÛza 5% 1982
Kompatibilní
injekce Anidulafungin 0.5 mg/ml
injekce Ganciclovir sodium 20 mg/ml
GlukÛza 5% 1982
Kompatibilní
injekce Anidulafungin 0.5 mg/ml
injekce Gemcitabine hydrochloride 10 mg/ml
GlukÛza 5% 1982
Kompatibilní
injekce Anidulafungin 0.5 mg/ml
injekce Gentamicin sulfate 5 mg/ml
GlukÛza 5% 1982
Kompatibilní
injekce Anidulafungin 0.5 mg/ml
injekce Heparin sodium 100 UI/ml
GlukÛza 5% 1982
Kompatibilní
injekce Anidulafungin 0.5 mg/ml
injekce Hydrocortisone sodium succinate 1 mg/ml
GlukÛza 5% 1982
Kompatibilní
injekce Anidulafungin 0.5 mg/ml
injekce Ifosfamide 25 mg/ml
GlukÛza 5% 1982
Kompatibilní
injekce Anidulafungin
GlukÛza 5% 3567
Kompatibilní
injekce Anidulafungin 0.5 mg/ml
injekce Hydromorphone hydrochloride 0.5 mg/ml
GlukÛza 5% 1982
Kompatibilní
injekce Anidulafungin 0.5 mg/ml
injekce Imipenem - cilastatin sodium 5 mg/ml
GlukÛza 5% 1982
Kompatibilní
injekce Anidulafungin 0.77 mg/ml
injekce Isavuconazonium sulfate 1.5 mg/ml
Chlorid sodný 0,9% 3829
Kompatibilní
injekce Anidulafungin 0.77 mg/ml
injekce Isavuconazonium sulfate 1.5 mg/ml
GlukÛza 5% 3829
Kompatibilní
injekce Anidulafungin 0.5 mg/ml
injekce Levofloxacine 5 mg/ml
GlukÛza 5% 1982
Kompatibilní
injekce Anidulafungin 0.5 mg/ml
injekce Linezolid 2 mg/ml
GlukÛza 5% 1982
Kompatibilní
injekce Anidulafungin 0.5 mg/ml
injekce Meropenem 2.5 mg/ml
GlukÛza 5% 1982
Kompatibilní
injekce Anidulafungin 0.5 mg/ml
injekce Methylprednisolone sodium succinate 5 mg/ml
GlukÛza 5% 1982
Kompatibilní
injekce Anidulafungin 0.5 mg/ml
injekce Metronidazole 5 mg/ml
GlukÛza 5% 1982
Kompatibilní
injekce Anidulafungin 0.5 mg/ml
injekce Midazolam hydrochloride 1 mg/ml
GlukÛza 5% 1982
Kompatibilní
injekce Anidulafungin 0.5 mg/ml
injekce Morphine sulfate 15 mg/ml
GlukÛza 5% 1982
Kompatibilní
injekce Anidulafungin 0.5 mg/ml
injekce Mycophenolate mofetil 6 mg/ml
GlukÛza 5% 1982
Kompatibilní
injekce Anidulafungin 0.5 mg/ml
injekce Paclitaxel 0.6 mg/ml
GlukÛza 5% 1982
Kompatibilní
injekce Anidulafungin 0.5 mg/ml
injekce Pantoprazole sodium 0.4 mg/ml
GlukÛza 5% 1982
Kompatibilní
injekce Anidulafungin 0.5 mg/ml
injekce Pethidine hydrochloride 10 mg/ml
GlukÛza 5% 1982
Kompatibilní
injekce Anidulafungin 0.5 mg/ml
injekce Phenylephrine hydrochloride 1 mg/ml
GlukÛza 5% 1982
Kompatibilní
injekce Anidulafungin 0.5 mg/ml
injekce Piperacillin sodium / tazobactam 40/5 mg/ml
GlukÛza 5% 1982
Zákal za 15 minut Nekompatibilní
injekce Anidulafungin 0,77 mg/ml
injekce Plazomicin sulfate 24 mg/ml
Chlorid sodný 0,9% 4145
Kompatibilní
injekce Anidulafungin 0.5 mg/ml
injekce Potassium chloride 0.1 mEq/l
GlukÛza 5% 1982
Kompatibilní
injekce Anidulafungin 0.5 mg/ml
injekce Quinupristine/dalfopristine 5 mg/ml
GlukÛza 5% 1982
Kompatibilní
injekce Anidulafungin 0.5 mg/ml
injekce Ranitidine hydrochloride 2 mg/ml
GlukÛza 5% 1982
Okamžitá zákal Nekompatibilní
injekce Anidulafungin 0.5 mg/ml
injekce Sodium bicarbonate 84 mg/ml
GlukÛza 5% 1982
Kompatibilní
injekce Anidulafungin 0,77 mg/ml
injekce Sulbactam/durlobactam 15/15 mg/ml
Chlorid sodný 0,9% 4801
Kompatibilní
injekce Anidulafungin 0.5 mg/ml
injekce Tacrolimus 20 µg/ml
GlukÛza 5% 1982
Kompatibilní
injekce Anidulafungin 0.77 mg/ml
injekce Tedizolid phosphate 0.8 mg/ml
Chlorid sodný 0,9% 3827
Kompatibilní
injekce Anidulafungin 0.5 mg/ml
injekce Ticarcillin / clavulanic acid 31 mg/ml
GlukÛza 5% 1982
Kompatibilní
injekce Anidulafungin 0.5 mg/ml
injekce Tobramycin sulfate 5 mg/ml
GlukÛza 5% 1982
Kompatibilní
injekce Anidulafungin 0.5 mg/ml
injekce Vancomycin hydrochloride 10 mg/ml
GlukÛza 5% 1982
Kompatibilní
injekce Anidulafungin 0.5 mg/ml
injekce Vincristine sulfate 0.05 mg/ml
GlukÛza 5% 1982
Kompatibilní
injekce Anidulafungin 0.5 mg/ml
injekce Voriconazole 4 mg/ml
GlukÛza 5% 1982
Kompatibilní
injekce Anidulafungin
Chlorid sodný 0,9% 3567
Kompatibilní
injekce Anidulafungin 0.5 mg/ml
injekce Zidovudine 4 mg/ml
GlukÛza 5% 1982
Okamžitá zákal Nekompatibilní
injekce Anidulafungin 0.5 mg/ml
NaHCO3 1982

  Mentions Légales