Utolsó frissítés :
17/12/2025
Gombaellenes szer   Anidulafungin  
Injekció
Az oldatok stabilitása A keverékek stabilitása Stabilitást befolyásoló tényezők Kompatibilitás Az alkalmazás módja Irodalom pdf
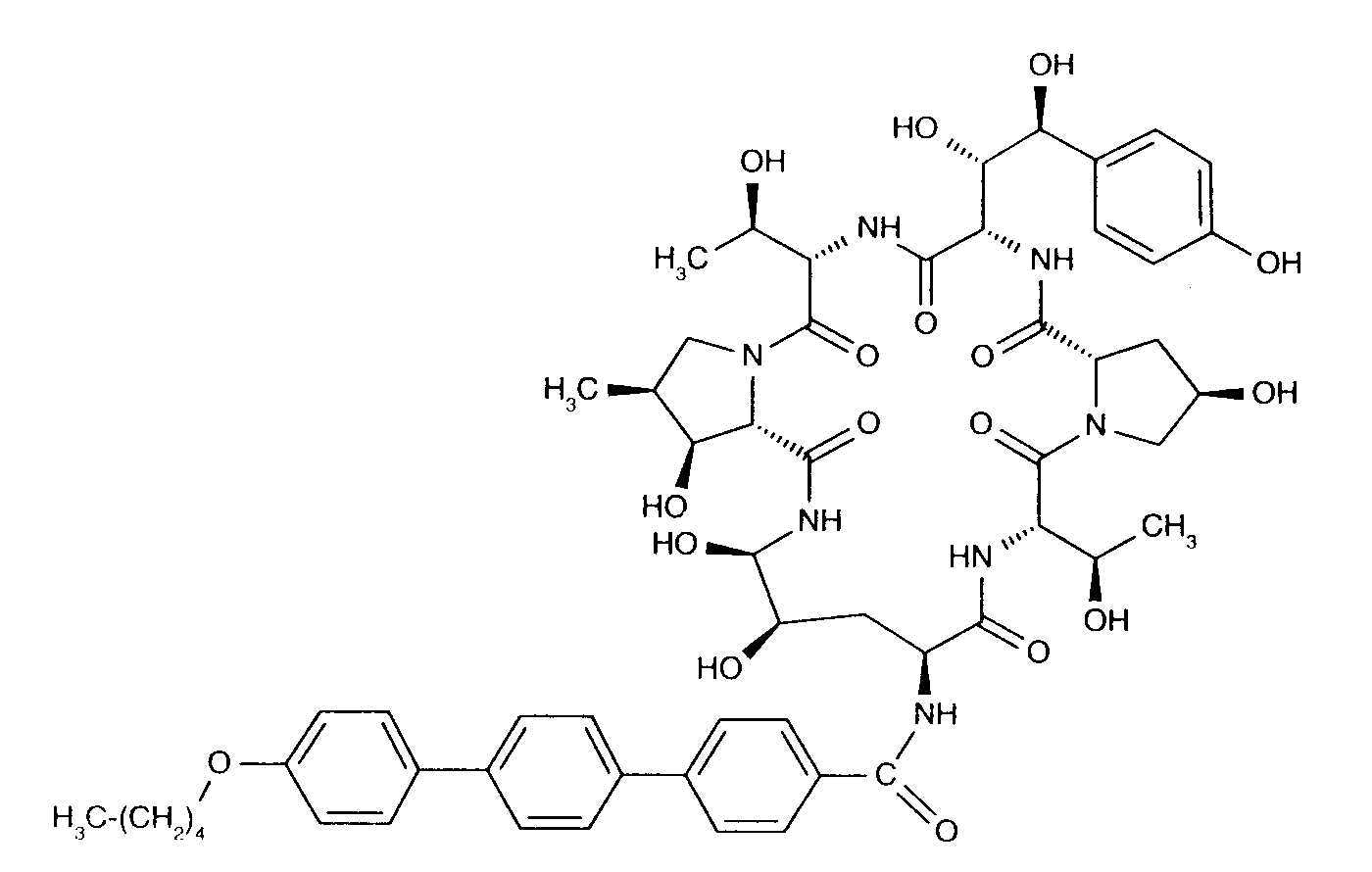
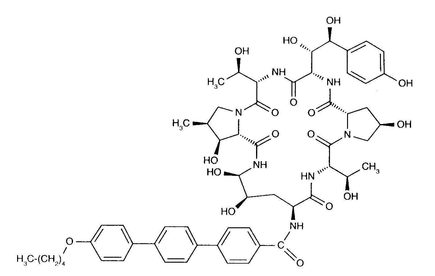
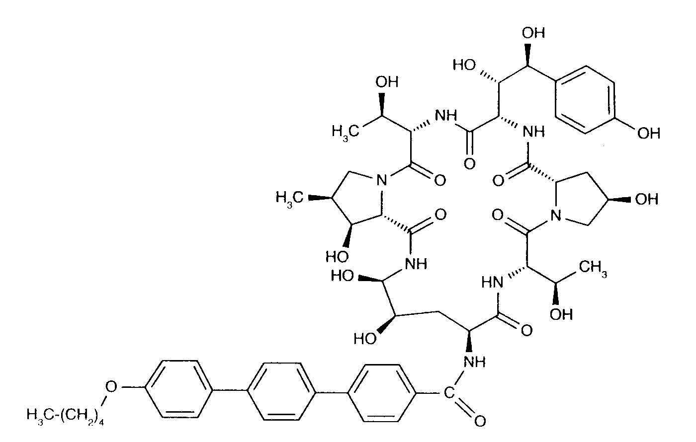
   Kémiai szerkezet   

Kereskedelmi név   Kereskedelmi név     

A kereskedelmi név meghatározó jelentőségű: a készítmények összetétele országonként, előállítóként eltérő lehet

Anidulafungin Belgium, Nagy-Britannia, Németország
Anidulafungina Brazília, Spanyolország
Ecalta Amerikai Egyesült Államok, Argentína, Belgium, Brazília, Chile, Colombia, Dánia, Finnország, Franciaország, Görögország, Hollandia, Kanada, Lengyelország, Luxemburg, Magyarország, Malaysia, Nagy-Britannia, Németország, Norvégia, Olaszország, Peru, Románia, Spanyolország, Svájc, Svédország, Törökország, Venezuela
Equalta Mexikó
Eraxis Amerikai Egyesült Államok, Ausztrália, Kanada
Fuzig Mexikó
Kompatibilitás   Injekció   Kompatibilitás : Anidulafungin              
Ovdje su prikazane kompatibilnosti ili nekompatibilnosti s tipom nekompatibilnosti (taloženje, promjena boje, modifikacija emulzije itd.) u ovom slučaju. Kompatibilnosti prikazane ovdje najčešće su fizikalne dok se kemijska stabilnost molekule rijetko procjenjuje. Procjena ovih mikstura je proučavana kako bi se razmotrila mogućnost primjene lijeka putem Y-mjesta. Ovi se podaci ne smiju koristiti za pripremu mikstura unaprijed u vrećicama ili štrcaljkama. Ova vrsta informacije se može pronaći u odjeljku « stabilnost u miksturama ».
Vegyület Oldószer Irodalom
Összeegyeztethető
Injekció Anidulafungin 0.5 mg/ml
Injekció Aciclovir sodium 7 mg/ml
5% glükóz 1982
Összeegyeztethető
Injekció Anidulafungin 0.5 mg/ml
Injekció Amikacin sulfate 5 mg/ml
5% glükóz 1982
Összeegyeztethető
Injekció Anidulafungin 0.5 mg/ml
Injekció Aminophylline 2.5 mg/ml
5% glükóz 1982
Azonnali zavarosság Összeegyeztethetetlen
Injekció Anidulafungin 0,5 mg/ml
Injekció Amphotericin B 0,6 mg/ml
5% glükóz 1982
Összeegyeztethető
Injekció Anidulafungin 0.5 mg/ml
Injekció Amphotericin B cholesteryl sulfate complex 1 mg/ml
5% glükóz 1982
Összeegyeztethető
Injekció Anidulafungin 0.5 mg/ml
Injekció Amphotericin B liposomale 1 mg/ml
5% glükóz 1982
Összeegyeztethető
Injekció Anidulafungin 0.5 mg/ml
Injekció Ampicillin sodium 20 mg/ml
5% glükóz 1982
Összeegyeztethető
Injekció Anidulafungin 0.5 mg/ml
Injekció Ampicillin sodium - sulbactam sodium 20/10 mg/ml
5% glükóz 1982
Összeegyeztethető
Injekció Anidulafungin 0.5 mg/ml
Injekció Carboplatin 5 mg/ml
5% glükóz 1982
Összeegyeztethető
Injekció Anidulafungin 0.5 mg/ml
Injekció Cefazolin sodium 20 mg/ml
5% glükóz 1982
Összeegyeztethető
Injekció Anidulafungin 0.5 mg/ml
Injekció Cefepime dihydrochloride 20 mg/ml
5% glükóz 1982
Összeegyeztethető
Injekció Anidulafungin 0.77 mg/ml
Injekció Cefiderocol sulfate tosylate 20 mg/mL
0,9% nátrium-klorid 4528
Összeegyeztethető
Injekció Anidulafungin 0.77 mg/ml
Injekció Cefiderocol sulfate tosylate 20 mg/mL
5% glükóz 4528
Összeegyeztethető
Injekció Anidulafungin 0.5 mg/ml
Injekció Cefoxitin sodium 20 mg/ml
5% glükóz 1982
Összeegyeztethető
Injekció Anidulafungin 0.5 mg/ml
Injekció Ceftazidime 40 mg/ml
5% glükóz 1982
Összeegyeztethető
Injekció Anidulafungin 0.5 mg/ml
Injekció Ceftizoxime sodium 20 mg/ml
5% glükóz 1982
Összeegyeztethető
Injekció Anidulafungin 0.77 mg/ml
Injekció Ceftolozane / tazobactam 10/5 mg/ml
0,9% nátrium-klorid 3828
Összeegyeztethető
Injekció Anidulafungin 0.77 mg/ml
Injekció Ceftolozane / tazobactam 10/5 mg/ml
5% glükóz 3828
Összeegyeztethető
Injekció Anidulafungin 0.5 mg/ml
Injekció Ceftriaxone disodium 20 mg/ml
5% glükóz 1982
Összeegyeztethető
Injekció Anidulafungin 0.5 mg/ml
Injekció Cefuroxime sodium 30 mg/ml
5% glükóz 1982
Összeegyeztethető
Injekció Anidulafungin 0.5 mg/ml
Injekció Ciclosporin 5 mg/ml
5% glükóz 1982
Összeegyeztethető
Injekció Anidulafungin 0.5 mg/ml
Injekció Cimetidine hydrochloride 12 mg/ml
5% glükóz 1982
Összeegyeztethető
Injekció Anidulafungin 0.5 mg/ml
Injekció Ciprofloxacin lactate 2 mg/ml
5% glükóz 1982
Összeegyeztethető
Injekció Anidulafungin 0.5 mg/ml
Injekció Cisplatin 1 mg/ml
5% glükóz 1982
Összeegyeztethető
Injekció Anidulafungin 0.5 mg/ml
Injekció Clindamycin phosphate 10 mg/ml
5% glükóz 1982
Összeegyeztethető
Injekció Anidulafungin 0.5 mg/ml
Injekció Co-trimoxazole 4/0.8 mg/ml
5% glükóz 1982
Összeegyeztethető
Injekció Anidulafungin 0.5 mg/ml
Injekció Cyclophosphamide 10 mg/ml
5% glükóz 1982
Összeegyeztethető
Injekció Anidulafungin 0.5 mg/ml
Injekció Cytarabine 50 mg/ml
5% glükóz 1982
Összeegyeztethető
Injekció Anidulafungin 0.5 mg/ml
Injekció Daunorubicin hydrochloride 1 mg/ml
5% glükóz 1982
Összeegyeztethető
Injekció Anidulafungin 0.5 mg/ml
Injekció Dexamethasone sodium phosphate 1 mg/ml
5% glükóz 1982
Összeegyeztethető
Injekció Anidulafungin 0.5 mg/ml
Injekció Digoxin 250 µg/ml
5% glükóz 1982
Összeegyeztethető
Injekció Anidulafungin 0.5 mg/ml
Injekció Dobutamine hydrochloride 4 mg/ml
5% glükóz 1982
Összeegyeztethető
Injekció Anidulafungin 0.5 mg/ml
Injekció Docetaxel 2 mg/ml
5% glükóz 1982
Összeegyeztethető
Injekció Anidulafungin 0.5 mg/ml
Injekció Dopamine hydrochloride 3.2 mg/ml
5% glükóz 1982
Összeegyeztethető
Injekció Anidulafungin 0,5 mg/ml
Injekció Doripenem 5 mg/ml
0,9% nátrium-klorid 2262
Összeegyeztethető
Injekció Anidulafungin 0,5 mg/ml
Injekció Doripenem 5 mg/ml
5% glükóz 2262
Összeegyeztethető
Injekció Anidulafungin 0.5 mg/ml
Injekció Doxorubicin hydrochloride 2 mg/ml
5% glükóz 1982
Összeegyeztethető
Injekció Anidulafungin 0.5 mg/ml
Injekció Epinephrine hydrochloride 50 µg/ml
5% glükóz 1982
Azonnali csapadék Összeegyeztethetetlen
Injekció Anidulafungin 0.5 mg/ml
Injekció Ertapenem 20 mg/ml
5% glükóz 1982
Összeegyeztethető
Injekció Anidulafungin 0.5 mg/ml
Injekció Erythromycin lactobionate 5 mg/ml
5% glükóz 1982
Összeegyeztethető
Injekció Anidulafungin 0.5 mg/ml
Injekció Etoposide phosphate 5 mg/ml
5% glükóz 1982
Összeegyeztethető
Injekció Anidulafungin 0.5 mg/ml
Injekció Famotidine 2 mg/ml
5% glükóz 1982
Összeegyeztethető
Injekció Anidulafungin 0.5 mg/ml
Injekció Fentanyl citrate 50 µg/ml
5% glükóz 1982
Összeegyeztethető
Injekció Anidulafungin 0.5 mg/ml
Injekció Fluconazole 2 mg/ml
5% glükóz 1982
Összeegyeztethető
Injekció Anidulafungin 0.5 mg/ml
Injekció Fluorouracil 16 mg/ml
5% glükóz 1982
Összeegyeztethető
Injekció Anidulafungin 0.5 mg/ml
Injekció Folinate calcium 2 mg/ml
5% glükóz 1982
Csapadék 1 óra után Összeegyeztethetetlen
Injekció Anidulafungin 0,77 mg/ml
Injekció Fosfomycin 30 mg/ml
0,9% nátrium-klorid 4055
15 perc múlva csapadék Összeegyeztethetetlen
Injekció Anidulafungin 0,77 mg/ml
Injekció Fosfomycin 30 mg/ml
5% glükóz 4055
Összeegyeztethető
Injekció Anidulafungin 0.5 mg/ml
Injekció Furosemide 3 mg/ml
5% glükóz 1982
Összeegyeztethető
Injekció Anidulafungin 0.5 mg/ml
Injekció Ganciclovir sodium 20 mg/ml
5% glükóz 1982
Összeegyeztethető
Injekció Anidulafungin 0.5 mg/ml
Injekció Gemcitabine hydrochloride 10 mg/ml
5% glükóz 1982
Összeegyeztethető
Injekció Anidulafungin 0.5 mg/ml
Injekció Gentamicin sulfate 5 mg/ml
5% glükóz 1982
Összeegyeztethető
Injekció Anidulafungin 0.5 mg/ml
Injekció Heparin sodium 100 UI/ml
5% glükóz 1982
Összeegyeztethető
Injekció Anidulafungin 0.5 mg/ml
Injekció Hydrocortisone sodium succinate 1 mg/ml
5% glükóz 1982
Összeegyeztethető
Injekció Anidulafungin 0.5 mg/ml
Injekció Ifosfamide 25 mg/ml
5% glükóz 1982
Összeegyeztethető
Injekció Anidulafungin
5% glükóz 3567
Összeegyeztethető
Injekció Anidulafungin 0.5 mg/ml
Injekció Hydromorphone hydrochloride 0.5 mg/ml
5% glükóz 1982
Összeegyeztethető
Injekció Anidulafungin 0.5 mg/ml
Injekció Imipenem - cilastatin sodium 5 mg/ml
5% glükóz 1982
Összeegyeztethető
Injekció Anidulafungin 0.77 mg/ml
Injekció Isavuconazonium sulfate 1.5 mg/ml
0,9% nátrium-klorid 3829
Összeegyeztethető
Injekció Anidulafungin 0.77 mg/ml
Injekció Isavuconazonium sulfate 1.5 mg/ml
5% glükóz 3829
Összeegyeztethető
Injekció Anidulafungin 0.5 mg/ml
Injekció Levofloxacine 5 mg/ml
5% glükóz 1982
Összeegyeztethető
Injekció Anidulafungin 0.5 mg/ml
Injekció Linezolid 2 mg/ml
5% glükóz 1982
Összeegyeztethető
Injekció Anidulafungin 0.5 mg/ml
Injekció Meropenem 2.5 mg/ml
5% glükóz 1982
Összeegyeztethető
Injekció Anidulafungin 0.5 mg/ml
Injekció Methylprednisolone sodium succinate 5 mg/ml
5% glükóz 1982
Összeegyeztethető
Injekció Anidulafungin 0.5 mg/ml
Injekció Metronidazole 5 mg/ml
5% glükóz 1982
Összeegyeztethető
Injekció Anidulafungin 0.5 mg/ml
Injekció Midazolam hydrochloride 1 mg/ml
5% glükóz 1982
Összeegyeztethető
Injekció Anidulafungin 0.5 mg/ml
Injekció Morphine sulfate 15 mg/ml
5% glükóz 1982
Összeegyeztethető
Injekció Anidulafungin 0.5 mg/ml
Injekció Mycophenolate mofetil 6 mg/ml
5% glükóz 1982
Összeegyeztethető
Injekció Anidulafungin 0.5 mg/ml
Injekció Paclitaxel 0.6 mg/ml
5% glükóz 1982
Összeegyeztethető
Injekció Anidulafungin 0.5 mg/ml
Injekció Pantoprazole sodium 0.4 mg/ml
5% glükóz 1982
Összeegyeztethető
Injekció Anidulafungin 0.5 mg/ml
Injekció Pethidine hydrochloride 10 mg/ml
5% glükóz 1982
Összeegyeztethető
Injekció Anidulafungin 0.5 mg/ml
Injekció Phenylephrine hydrochloride 1 mg/ml
5% glükóz 1982
Összeegyeztethető
Injekció Anidulafungin 0.5 mg/ml
Injekció Piperacillin sodium / tazobactam 40/5 mg/ml
5% glükóz 1982
Zavarosság 15 perc alatt Összeegyeztethetetlen
Injekció Anidulafungin 0,77 mg/ml
Injekció Plazomicin sulfate 24 mg/ml
0,9% nátrium-klorid 4145
Összeegyeztethető
Injekció Anidulafungin 0.5 mg/ml
Injekció Potassium chloride 0.1 mEq/l
5% glükóz 1982
Összeegyeztethető
Injekció Anidulafungin 0.5 mg/ml
Injekció Quinupristine/dalfopristine 5 mg/ml
5% glükóz 1982
Összeegyeztethető
Injekció Anidulafungin 0.5 mg/ml
Injekció Ranitidine hydrochloride 2 mg/ml
5% glükóz 1982
Azonnali zavarosság Összeegyeztethetetlen
Injekció Anidulafungin 0.5 mg/ml
Injekció Sodium bicarbonate 84 mg/ml
5% glükóz 1982
Összeegyeztethető
Injekció Anidulafungin 0,77 mg/ml
Injekció Sulbactam/durlobactam 15/15 mg/ml
0,9% nátrium-klorid 4801
Összeegyeztethető
Injekció Anidulafungin 0.5 mg/ml
Injekció Tacrolimus 20 µg/ml
5% glükóz 1982
Összeegyeztethető
Injekció Anidulafungin 0.77 mg/ml
Injekció Tedizolid phosphate 0.8 mg/ml
0,9% nátrium-klorid 3827
Összeegyeztethető
Injekció Anidulafungin 0.5 mg/ml
Injekció Ticarcillin / clavulanic acid 31 mg/ml
5% glükóz 1982
Összeegyeztethető
Injekció Anidulafungin 0.5 mg/ml
Injekció Tobramycin sulfate 5 mg/ml
5% glükóz 1982
Összeegyeztethető
Injekció Anidulafungin 0.5 mg/ml
Injekció Vancomycin hydrochloride 10 mg/ml
5% glükóz 1982
Összeegyeztethető
Injekció Anidulafungin 0.5 mg/ml
Injekció Vincristine sulfate 0.05 mg/ml
5% glükóz 1982
Összeegyeztethető
Injekció Anidulafungin 0.5 mg/ml
Injekció Voriconazole 4 mg/ml
5% glükóz 1982
Összeegyeztethető
Injekció Anidulafungin
0,9% nátrium-klorid 3567
Összeegyeztethető
Injekció Anidulafungin 0.5 mg/ml
Injekció Zidovudine 4 mg/ml
5% glükóz 1982
Azonnali zavarosság Összeegyeztethetetlen
Injekció Anidulafungin 0.5 mg/ml
NaHCO3 1982

  Mentions Légales