Laatste update :
18/03/2026
Antimycoticum   Anidulafungin  
injecteerbaar geneesmiddel
Stabiliteit in oplossing Stabiliteit in mengsels Factoren die de stabiliteit beïnvloeden Verenigbaarheden Toedieningswijze Literatuur pdf
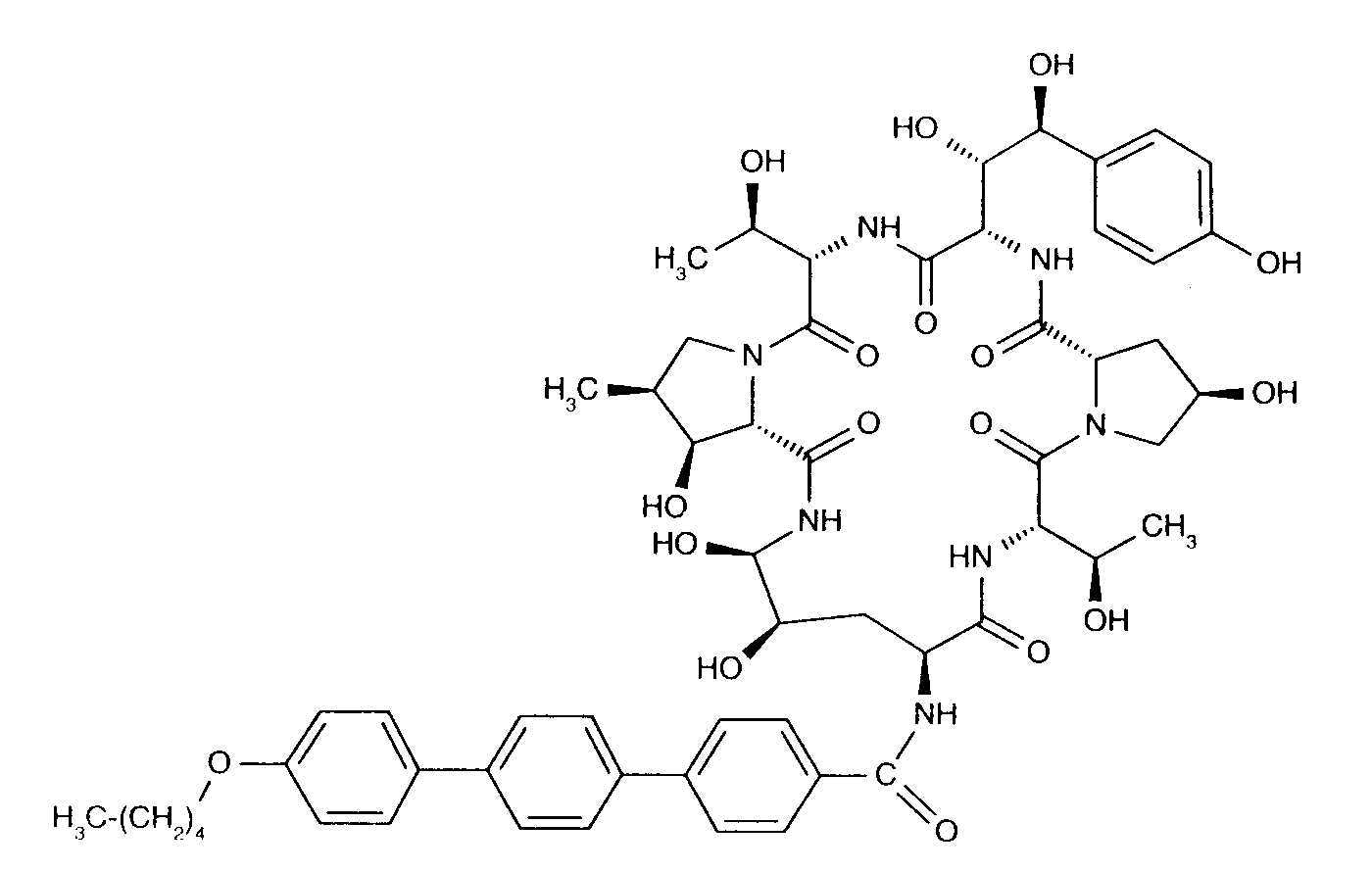
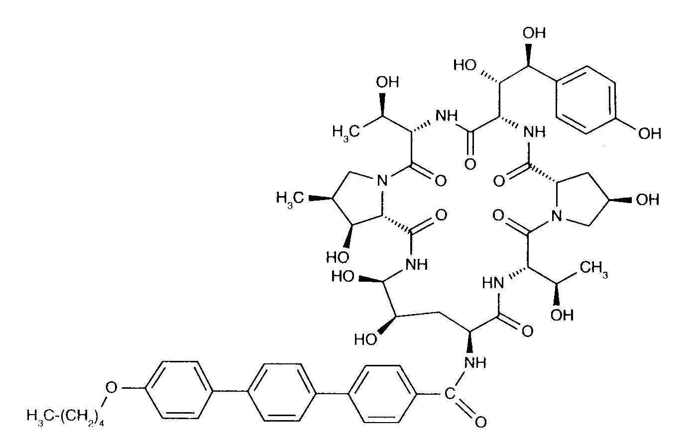
   Molecuulstructuur  

Merknamen in verschillende landen   Merknamen in verschillende landen     

Handelsnamen zijn slechts een indicatie; de samenstelling van hulpstoffen kan per land variëren afhankelijk van de fabrikant

Anidulafungin België, Duitsland, Groot Britannië
Anidulafungina Brazilië, Spanje
Ecalta Argentinië, België, Brazilië, Canada, Chili, Colombia, Denemarken, Duitsland, Finland, Frankrijk, Griekenland, Groot Britannië, Hongarije, Italië, Luxemburg, Maleisië, Nederland, Noorwegen, Peru, Polen, Roemenië, Spanje, Turkije, USA, Venezuela, Zweden, Zwitserland
Equalta Mexico
Eraxis Australië, Canada, USA
Fuzig Mexico
Verenigbaarheden   injecteerbaar geneesmiddel   Verenigbaarheden : Anidulafungin              
In dit scherm worden de verenigbaarheden en onverenigbaarheden weergegeven. In het geval van een onverenigbaarheid wordt ook het type (neerslag, kleurverandering, modificatie van een emulsie, etc) weergegeven. De weergegeven verenigbaarheden zijn meestal alleen op uiterlijk beoordeeld, er heeft zelden een chemische beoordeling van iedere component plaatsgevonden. De verenigbaarheden betreffen gelijktijdige toediening aan de patient middels de Y-site. De data kan niet gebruikt worden in de beoordeling van verenigbaarheden van componenten in infuuszakken of spuiten. Die informatie is te vinden onder ‘stabiliteit in mengsels’.
Stof Oplosmiddel Literatuur
Verenigbaar
injecteerbaar geneesmiddel Anidulafungin 0.5 mg/ml
injecteerbaar geneesmiddel Aciclovir sodium 7 mg/ml
Glucose 5% 1982
Verenigbaar
injecteerbaar geneesmiddel Anidulafungin 0.5 mg/ml
injecteerbaar geneesmiddel Amikacin sulfate 5 mg/ml
Glucose 5% 1982
Verenigbaar
injecteerbaar geneesmiddel Anidulafungin 0.5 mg/ml
injecteerbaar geneesmiddel Aminophylline 2.5 mg/ml
Glucose 5% 1982
Onmiddellijke troebelheid Onverenigbaar
injecteerbaar geneesmiddel Anidulafungin 0,5 mg/ml
injecteerbaar geneesmiddel Amphotericin B 0,6 mg/ml
Glucose 5% 1982
Verenigbaar
injecteerbaar geneesmiddel Anidulafungin 0.5 mg/ml
injecteerbaar geneesmiddel Amphotericin B cholesteryl sulfate complex 1 mg/ml
Glucose 5% 1982
Verenigbaar
injecteerbaar geneesmiddel Anidulafungin 0.5 mg/ml
injecteerbaar geneesmiddel Amphotericin B liposomale 1 mg/ml
Glucose 5% 1982
Verenigbaar
injecteerbaar geneesmiddel Anidulafungin 0.5 mg/ml
injecteerbaar geneesmiddel Ampicillin sodium 20 mg/ml
Glucose 5% 1982
Verenigbaar
injecteerbaar geneesmiddel Anidulafungin 0.5 mg/ml
injecteerbaar geneesmiddel Ampicillin sodium - sulbactam sodium 20/10 mg/ml
Glucose 5% 1982
Verenigbaar
injecteerbaar geneesmiddel Anidulafungin 0.5 mg/ml
injecteerbaar geneesmiddel Carboplatin 5 mg/ml
Glucose 5% 1982
Verenigbaar
injecteerbaar geneesmiddel Anidulafungin 0.5 mg/ml
injecteerbaar geneesmiddel Cefazolin sodium 20 mg/ml
Glucose 5% 1982
Verenigbaar
injecteerbaar geneesmiddel Anidulafungin 0.5 mg/ml
injecteerbaar geneesmiddel Cefepime dihydrochloride 20 mg/ml
Glucose 5% 1982
Verenigbaar
injecteerbaar geneesmiddel Anidulafungin 0.77 mg/ml
injecteerbaar geneesmiddel Cefiderocol sulfate tosylate 20 mg/mL
Natriumchloride 0,9% 4528
Verenigbaar
injecteerbaar geneesmiddel Anidulafungin 0.77 mg/ml
injecteerbaar geneesmiddel Cefiderocol sulfate tosylate 20 mg/mL
Glucose 5% 4528
Verenigbaar
injecteerbaar geneesmiddel Anidulafungin 0.5 mg/ml
injecteerbaar geneesmiddel Cefoxitin sodium 20 mg/ml
Glucose 5% 1982
Verenigbaar
injecteerbaar geneesmiddel Anidulafungin 0.5 mg/ml
injecteerbaar geneesmiddel Ceftazidime 40 mg/ml
Glucose 5% 1982
Verenigbaar
injecteerbaar geneesmiddel Anidulafungin 0.5 mg/ml
injecteerbaar geneesmiddel Ceftizoxime sodium 20 mg/ml
Glucose 5% 1982
Verenigbaar
injecteerbaar geneesmiddel Anidulafungin 0.77 mg/ml
injecteerbaar geneesmiddel Ceftolozane / tazobactam 10/5 mg/ml
Natriumchloride 0,9% 3828
Verenigbaar
injecteerbaar geneesmiddel Anidulafungin 0.77 mg/ml
injecteerbaar geneesmiddel Ceftolozane / tazobactam 10/5 mg/ml
Glucose 5% 3828
Verenigbaar
injecteerbaar geneesmiddel Anidulafungin 0.5 mg/ml
injecteerbaar geneesmiddel Ceftriaxone disodium 20 mg/ml
Glucose 5% 1982
Verenigbaar
injecteerbaar geneesmiddel Anidulafungin 0.5 mg/ml
injecteerbaar geneesmiddel Cefuroxime sodium 30 mg/ml
Glucose 5% 1982
Verenigbaar
injecteerbaar geneesmiddel Anidulafungin 0.5 mg/ml
injecteerbaar geneesmiddel Ciclosporin 5 mg/ml
Glucose 5% 1982
Verenigbaar
injecteerbaar geneesmiddel Anidulafungin 0.5 mg/ml
injecteerbaar geneesmiddel Cimetidine hydrochloride 12 mg/ml
Glucose 5% 1982
Verenigbaar
injecteerbaar geneesmiddel Anidulafungin 0.5 mg/ml
injecteerbaar geneesmiddel Ciprofloxacin lactate 2 mg/ml
Glucose 5% 1982
Verenigbaar
injecteerbaar geneesmiddel Anidulafungin 0.5 mg/ml
injecteerbaar geneesmiddel Cisplatin 1 mg/ml
Glucose 5% 1982
Verenigbaar
injecteerbaar geneesmiddel Anidulafungin 0.5 mg/ml
injecteerbaar geneesmiddel Clindamycin phosphate 10 mg/ml
Glucose 5% 1982
Verenigbaar
injecteerbaar geneesmiddel Anidulafungin 0.5 mg/ml
injecteerbaar geneesmiddel Co-trimoxazole 4/0.8 mg/ml
Glucose 5% 1982
Verenigbaar
injecteerbaar geneesmiddel Anidulafungin 0.5 mg/ml
injecteerbaar geneesmiddel Cyclophosphamide 10 mg/ml
Glucose 5% 1982
Verenigbaar
injecteerbaar geneesmiddel Anidulafungin 0.5 mg/ml
injecteerbaar geneesmiddel Cytarabine 50 mg/ml
Glucose 5% 1982
Verenigbaar
injecteerbaar geneesmiddel Anidulafungin 0.5 mg/ml
injecteerbaar geneesmiddel Daunorubicin hydrochloride 1 mg/ml
Glucose 5% 1982
Verenigbaar
injecteerbaar geneesmiddel Anidulafungin 0.5 mg/ml
injecteerbaar geneesmiddel Dexamethasone sodium phosphate 1 mg/ml
Glucose 5% 1982
Verenigbaar
injecteerbaar geneesmiddel Anidulafungin 0.5 mg/ml
injecteerbaar geneesmiddel Digoxin 250 µg/ml
Glucose 5% 1982
Verenigbaar
injecteerbaar geneesmiddel Anidulafungin 0.5 mg/ml
injecteerbaar geneesmiddel Dobutamine hydrochloride 4 mg/ml
Glucose 5% 1982
Verenigbaar
injecteerbaar geneesmiddel Anidulafungin 0.5 mg/ml
injecteerbaar geneesmiddel Docetaxel 2 mg/ml
Glucose 5% 1982
Verenigbaar
injecteerbaar geneesmiddel Anidulafungin 0.5 mg/ml
injecteerbaar geneesmiddel Dopamine hydrochloride 3.2 mg/ml
Glucose 5% 1982
Verenigbaar
injecteerbaar geneesmiddel Anidulafungin 0,5 mg/ml
injecteerbaar geneesmiddel Doripenem 5 mg/ml
Natriumchloride 0,9% 2262
Verenigbaar
injecteerbaar geneesmiddel Anidulafungin 0,5 mg/ml
injecteerbaar geneesmiddel Doripenem 5 mg/ml
Glucose 5% 2262
Verenigbaar
injecteerbaar geneesmiddel Anidulafungin 0.5 mg/ml
injecteerbaar geneesmiddel Doxorubicin hydrochloride 2 mg/ml
Glucose 5% 1982
Verenigbaar
injecteerbaar geneesmiddel Anidulafungin 0.5 mg/ml
injecteerbaar geneesmiddel Epinephrine hydrochloride 50 µg/ml
Glucose 5% 1982
Onmiddellijke neerslag Onverenigbaar
injecteerbaar geneesmiddel Anidulafungin 0.5 mg/ml
injecteerbaar geneesmiddel Ertapenem 20 mg/ml
Glucose 5% 1982
Verenigbaar
injecteerbaar geneesmiddel Anidulafungin 0.5 mg/ml
injecteerbaar geneesmiddel Erythromycin lactobionate 5 mg/ml
Glucose 5% 1982
Verenigbaar
injecteerbaar geneesmiddel Anidulafungin 0.5 mg/ml
injecteerbaar geneesmiddel Etoposide phosphate 5 mg/ml
Glucose 5% 1982
Verenigbaar
injecteerbaar geneesmiddel Anidulafungin 0.5 mg/ml
injecteerbaar geneesmiddel Famotidine 2 mg/ml
Glucose 5% 1982
Verenigbaar
injecteerbaar geneesmiddel Anidulafungin 0.5 mg/ml
injecteerbaar geneesmiddel Fentanyl citrate 50 µg/ml
Glucose 5% 1982
Verenigbaar
injecteerbaar geneesmiddel Anidulafungin 0.5 mg/ml
injecteerbaar geneesmiddel Fluconazole 2 mg/ml
Glucose 5% 1982
Verenigbaar
injecteerbaar geneesmiddel Anidulafungin 0.5 mg/ml
injecteerbaar geneesmiddel Fluorouracil 16 mg/ml
Glucose 5% 1982
Verenigbaar
injecteerbaar geneesmiddel Anidulafungin 0.5 mg/ml
injecteerbaar geneesmiddel Folinate calcium 2 mg/ml
Glucose 5% 1982
Neerslag na 1 uur Onverenigbaar
injecteerbaar geneesmiddel Anidulafungin 0,77 mg/ml
injecteerbaar geneesmiddel Fosfomycin 30 mg/ml
Natriumchloride 0,9% 4055
Neerslag na 15 minuten Onverenigbaar
injecteerbaar geneesmiddel Anidulafungin 0,77 mg/ml
injecteerbaar geneesmiddel Fosfomycin 30 mg/ml
Glucose 5% 4055
Verenigbaar
injecteerbaar geneesmiddel Anidulafungin 0.5 mg/ml
injecteerbaar geneesmiddel Furosemide 3 mg/ml
Glucose 5% 1982
Verenigbaar
injecteerbaar geneesmiddel Anidulafungin 0.5 mg/ml
injecteerbaar geneesmiddel Ganciclovir sodium 20 mg/ml
Glucose 5% 1982
Verenigbaar
injecteerbaar geneesmiddel Anidulafungin 0.5 mg/ml
injecteerbaar geneesmiddel Gemcitabine hydrochloride 10 mg/ml
Glucose 5% 1982
Verenigbaar
injecteerbaar geneesmiddel Anidulafungin 0.5 mg/ml
injecteerbaar geneesmiddel Gentamicin sulfate 5 mg/ml
Glucose 5% 1982
Verenigbaar
injecteerbaar geneesmiddel Anidulafungin 0.5 mg/ml
injecteerbaar geneesmiddel Heparin sodium 100 UI/ml
Glucose 5% 1982
Verenigbaar
injecteerbaar geneesmiddel Anidulafungin 0.5 mg/ml
injecteerbaar geneesmiddel Hydrocortisone sodium succinate 1 mg/ml
Glucose 5% 1982
Verenigbaar
injecteerbaar geneesmiddel Anidulafungin 0.5 mg/ml
injecteerbaar geneesmiddel Ifosfamide 25 mg/ml
Glucose 5% 1982
Verenigbaar
injecteerbaar geneesmiddel Anidulafungin
Glucose 5% 3567
Verenigbaar
injecteerbaar geneesmiddel Anidulafungin 0.5 mg/ml
injecteerbaar geneesmiddel Hydromorphone hydrochloride 0.5 mg/ml
Glucose 5% 1982
Verenigbaar
injecteerbaar geneesmiddel Anidulafungin 0.5 mg/ml
injecteerbaar geneesmiddel Imipenem - cilastatin sodium 5 mg/ml
Glucose 5% 1982
Verenigbaar
injecteerbaar geneesmiddel Anidulafungin 0.77 mg/ml
injecteerbaar geneesmiddel Isavuconazonium sulfate 1.5 mg/ml
Natriumchloride 0,9% 3829
Verenigbaar
injecteerbaar geneesmiddel Anidulafungin 0.77 mg/ml
injecteerbaar geneesmiddel Isavuconazonium sulfate 1.5 mg/ml
Glucose 5% 3829
Verenigbaar
injecteerbaar geneesmiddel Anidulafungin 0.5 mg/ml
injecteerbaar geneesmiddel Levofloxacine 5 mg/ml
Glucose 5% 1982
Verenigbaar
injecteerbaar geneesmiddel Anidulafungin 0.5 mg/ml
injecteerbaar geneesmiddel Linezolid 2 mg/ml
Glucose 5% 1982
Verenigbaar
injecteerbaar geneesmiddel Anidulafungin 0.5 mg/ml
injecteerbaar geneesmiddel Meropenem 2.5 mg/ml
Glucose 5% 1982
Verenigbaar
injecteerbaar geneesmiddel Anidulafungin 0.5 mg/ml
injecteerbaar geneesmiddel Methylprednisolone sodium succinate 5 mg/ml
Glucose 5% 1982
Verenigbaar
injecteerbaar geneesmiddel Anidulafungin 0.5 mg/ml
injecteerbaar geneesmiddel Metronidazole 5 mg/ml
Glucose 5% 1982
Verenigbaar
injecteerbaar geneesmiddel Anidulafungin 0.5 mg/ml
injecteerbaar geneesmiddel Midazolam hydrochloride 1 mg/ml
Glucose 5% 1982
Verenigbaar
injecteerbaar geneesmiddel Anidulafungin 0.5 mg/ml
injecteerbaar geneesmiddel Morphine sulfate 15 mg/ml
Glucose 5% 1982
Verenigbaar
injecteerbaar geneesmiddel Anidulafungin 0.5 mg/ml
injecteerbaar geneesmiddel Mycophenolate mofetil 6 mg/ml
Glucose 5% 1982
Verenigbaar
injecteerbaar geneesmiddel Anidulafungin 0.5 mg/ml
injecteerbaar geneesmiddel Paclitaxel 0.6 mg/ml
Glucose 5% 1982
Verenigbaar
injecteerbaar geneesmiddel Anidulafungin 0.5 mg/ml
injecteerbaar geneesmiddel Pantoprazole sodium 0.4 mg/ml
Glucose 5% 1982
Verenigbaar
injecteerbaar geneesmiddel Anidulafungin 0.5 mg/ml
injecteerbaar geneesmiddel Pethidine hydrochloride 10 mg/ml
Glucose 5% 1982
Verenigbaar
injecteerbaar geneesmiddel Anidulafungin 0.5 mg/ml
injecteerbaar geneesmiddel Phenylephrine hydrochloride 1 mg/ml
Glucose 5% 1982
Verenigbaar
injecteerbaar geneesmiddel Anidulafungin 0.5 mg/ml
injecteerbaar geneesmiddel Piperacillin sodium / tazobactam 40/5 mg/ml
Glucose 5% 1982
Troebelheid in 15 minuten Onverenigbaar
injecteerbaar geneesmiddel Anidulafungin 0,77 mg/ml
injecteerbaar geneesmiddel Plazomicin sulfate 24 mg/ml
Natriumchloride 0,9% 4145
Verenigbaar
injecteerbaar geneesmiddel Anidulafungin 0.5 mg/ml
injecteerbaar geneesmiddel Potassium chloride 0.1 mEq/l
Glucose 5% 1982
Verenigbaar
injecteerbaar geneesmiddel Anidulafungin 0.5 mg/ml
injecteerbaar geneesmiddel Quinupristine/dalfopristine 5 mg/ml
Glucose 5% 1982
Verenigbaar
injecteerbaar geneesmiddel Anidulafungin 0.5 mg/ml
injecteerbaar geneesmiddel Ranitidine hydrochloride 2 mg/ml
Glucose 5% 1982
Onmiddellijke troebelheid Onverenigbaar
injecteerbaar geneesmiddel Anidulafungin 0.5 mg/ml
injecteerbaar geneesmiddel Sodium bicarbonate 84 mg/ml
Glucose 5% 1982
Verenigbaar
injecteerbaar geneesmiddel Anidulafungin 0,77 mg/ml
injecteerbaar geneesmiddel Sulbactam/durlobactam 15/15 mg/ml
Natriumchloride 0,9% 4801
Verenigbaar
injecteerbaar geneesmiddel Anidulafungin 0.5 mg/ml
injecteerbaar geneesmiddel Tacrolimus 20 µg/ml
Glucose 5% 1982
Verenigbaar
injecteerbaar geneesmiddel Anidulafungin 0.77 mg/ml
injecteerbaar geneesmiddel Tedizolid phosphate 0.8 mg/ml
Natriumchloride 0,9% 3827
Verenigbaar
injecteerbaar geneesmiddel Anidulafungin 0.5 mg/ml
injecteerbaar geneesmiddel Ticarcillin / clavulanic acid 31 mg/ml
Glucose 5% 1982
Verenigbaar
injecteerbaar geneesmiddel Anidulafungin 0.5 mg/ml
injecteerbaar geneesmiddel Tobramycin sulfate 5 mg/ml
Glucose 5% 1982
Verenigbaar
injecteerbaar geneesmiddel Anidulafungin 0.5 mg/ml
injecteerbaar geneesmiddel Vancomycin hydrochloride 10 mg/ml
Glucose 5% 1982
Verenigbaar
injecteerbaar geneesmiddel Anidulafungin 0.5 mg/ml
injecteerbaar geneesmiddel Vincristine sulfate 0.05 mg/ml
Glucose 5% 1982
Verenigbaar
injecteerbaar geneesmiddel Anidulafungin 0.5 mg/ml
injecteerbaar geneesmiddel Voriconazole 4 mg/ml
Glucose 5% 1982
Verenigbaar
injecteerbaar geneesmiddel Anidulafungin
Natriumchloride 0,9% 3567
Verenigbaar
injecteerbaar geneesmiddel Anidulafungin 0.5 mg/ml
injecteerbaar geneesmiddel Zidovudine 4 mg/ml
Glucose 5% 1982
Onmiddellijke troebelheid Onverenigbaar
injecteerbaar geneesmiddel Anidulafungin 0.5 mg/ml
NaHCO3 1982

  Mentions Légales