Viimeisin päivitys :
17/12/2025
Sienilääkkeet   Anidulafungin  
Injektioneste
Stabilius liuoksessa Stabilius seoksissa Tekijät, jotka vaikuttavat stabiliuteen Yhteensopivuus Antotapa Viitteet pdf
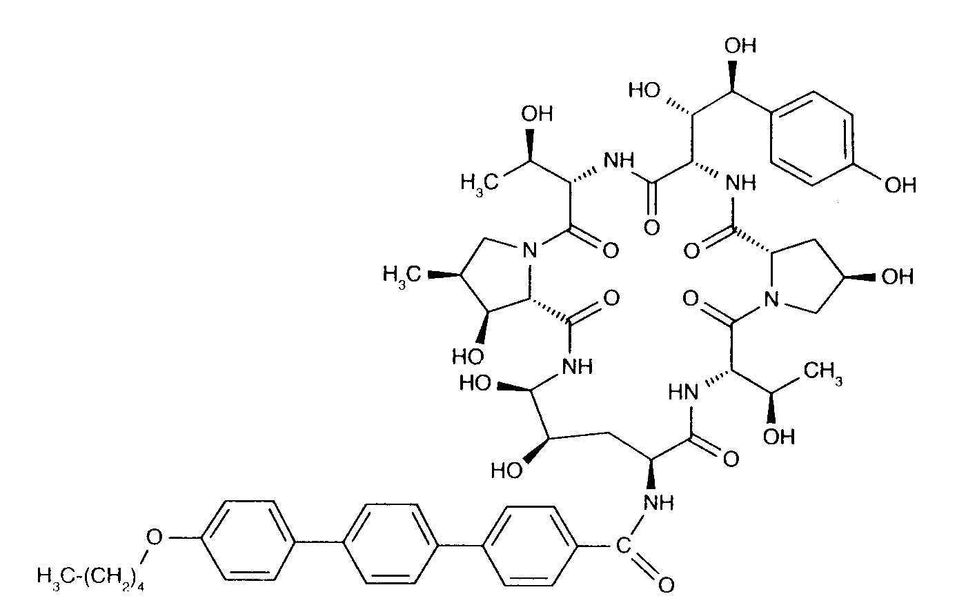
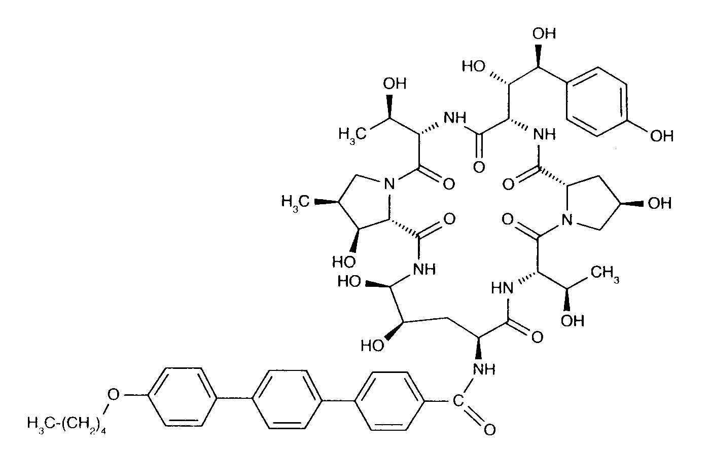
   Kemiallinen rakenne  

Kauppanimi   Kauppanimi     

Trade names are indicative and excipients composition can be different depending on the country and manufacturers

Anidulafungin Belgia, Iso-Britannia, Saksa
Anidulafungina Brasilia, Espanja
Ecalta Argentiina, Belgia, Brasilia, Chile, Espanja, Hollanti, Iso-Britannia, Italia, Kanada, Kolumbia, Kreikka, Luxemburg, Malesia, Marokko, Norja, Puola, Ranska, Romania, Ruotsi, Saksa, Suomi, Sveitsi, Tanska, Turkki, Unkari, Venezuela, Yhdysvallat
Equalta Meksiko
Eraxis Australia, Kanada, Yhdysvallat
Fuzig Meksiko
Yhteensopivuus   Injektioneste   Yhteensopivuus : Anidulafungin              
Tämä näyttö osoittaa yhteensopivuuden tai yhteensopimattomuuden yhteensopimattomuuden tyypin kanssa (saostuminen, värinmuutos, emulsiomuutos jne.). Tässä esitetty yhteensopivuus on useimmissa tapauksissa vain fysikaalinen, ja kunkin molekyylin kemiallista stabiilisuutta arvioidaan harvoin. Näiden seosten arviointia tutkittiin mahdollisuuden antaa Y-kohta potilaalle. Näitä tietoja ei voida käyttää seosten valmistamiseen etukäteen pusseissa tai ruiskuissa. Tämäntyyppiset tiedot ovat saatavilla "Stabiilisuus seoksessa" -näytössä.
Yhdiste Liuotin Viitteet
Yhteensopiva
Injektioneste Anidulafungin 0.5 mg/ml
Injektioneste Aciclovir sodium 7 mg/ml
Glukoosi 5% 1982
Yhteensopiva
Injektioneste Anidulafungin 0.5 mg/ml
Injektioneste Amikacin sulfate 5 mg/ml
Glukoosi 5% 1982
Yhteensopiva
Injektioneste Anidulafungin 0.5 mg/ml
Injektioneste Aminophylline 2.5 mg/ml
Glukoosi 5% 1982
Välitön sameus yhteensopimaton
Injektioneste Anidulafungin 0,5 mg/ml
Injektioneste Amphotericin B 0,6 mg/ml
Glukoosi 5% 1982
Yhteensopiva
Injektioneste Anidulafungin 0.5 mg/ml
Injektioneste Amphotericin B cholesteryl sulfate complex 1 mg/ml
Glukoosi 5% 1982
Yhteensopiva
Injektioneste Anidulafungin 0.5 mg/ml
Injektioneste Amphotericin B liposomale 1 mg/ml
Glukoosi 5% 1982
Yhteensopiva
Injektioneste Anidulafungin 0.5 mg/ml
Injektioneste Ampicillin sodium 20 mg/ml
Glukoosi 5% 1982
Yhteensopiva
Injektioneste Anidulafungin 0.5 mg/ml
Injektioneste Ampicillin sodium - sulbactam sodium 20/10 mg/ml
Glukoosi 5% 1982
Yhteensopiva
Injektioneste Anidulafungin 0.5 mg/ml
Injektioneste Carboplatin 5 mg/ml
Glukoosi 5% 1982
Yhteensopiva
Injektioneste Anidulafungin 0.5 mg/ml
Injektioneste Cefazolin sodium 20 mg/ml
Glukoosi 5% 1982
Yhteensopiva
Injektioneste Anidulafungin 0.5 mg/ml
Injektioneste Cefepime dihydrochloride 20 mg/ml
Glukoosi 5% 1982
Yhteensopiva
Injektioneste Anidulafungin 0.77 mg/ml
Injektioneste Cefiderocol sulfate tosylate 20 mg/mL
Natriumkloridi 0,9% 4528
Yhteensopiva
Injektioneste Anidulafungin 0.77 mg/ml
Injektioneste Cefiderocol sulfate tosylate 20 mg/mL
Glukoosi 5% 4528
Yhteensopiva
Injektioneste Anidulafungin 0.5 mg/ml
Injektioneste Cefoxitin sodium 20 mg/ml
Glukoosi 5% 1982
Yhteensopiva
Injektioneste Anidulafungin 0.5 mg/ml
Injektioneste Ceftazidime 40 mg/ml
Glukoosi 5% 1982
Yhteensopiva
Injektioneste Anidulafungin 0.5 mg/ml
Injektioneste Ceftizoxime sodium 20 mg/ml
Glukoosi 5% 1982
Yhteensopiva
Injektioneste Anidulafungin 0.77 mg/ml
Injektioneste Ceftolozane / tazobactam 10/5 mg/ml
Natriumkloridi 0,9% 3828
Yhteensopiva
Injektioneste Anidulafungin 0.77 mg/ml
Injektioneste Ceftolozane / tazobactam 10/5 mg/ml
Glukoosi 5% 3828
Yhteensopiva
Injektioneste Anidulafungin 0.5 mg/ml
Injektioneste Ceftriaxone disodium 20 mg/ml
Glukoosi 5% 1982
Yhteensopiva
Injektioneste Anidulafungin 0.5 mg/ml
Injektioneste Cefuroxime sodium 30 mg/ml
Glukoosi 5% 1982
Yhteensopiva
Injektioneste Anidulafungin 0.5 mg/ml
Injektioneste Ciclosporin 5 mg/ml
Glukoosi 5% 1982
Yhteensopiva
Injektioneste Anidulafungin 0.5 mg/ml
Injektioneste Cimetidine hydrochloride 12 mg/ml
Glukoosi 5% 1982
Yhteensopiva
Injektioneste Anidulafungin 0.5 mg/ml
Injektioneste Ciprofloxacin lactate 2 mg/ml
Glukoosi 5% 1982
Yhteensopiva
Injektioneste Anidulafungin 0.5 mg/ml
Injektioneste Cisplatin 1 mg/ml
Glukoosi 5% 1982
Yhteensopiva
Injektioneste Anidulafungin 0.5 mg/ml
Injektioneste Clindamycin phosphate 10 mg/ml
Glukoosi 5% 1982
Yhteensopiva
Injektioneste Anidulafungin 0.5 mg/ml
Injektioneste Co-trimoxazole 4/0.8 mg/ml
Glukoosi 5% 1982
Yhteensopiva
Injektioneste Anidulafungin 0.5 mg/ml
Injektioneste Cyclophosphamide 10 mg/ml
Glukoosi 5% 1982
Yhteensopiva
Injektioneste Anidulafungin 0.5 mg/ml
Injektioneste Cytarabine 50 mg/ml
Glukoosi 5% 1982
Yhteensopiva
Injektioneste Anidulafungin 0.5 mg/ml
Injektioneste Daunorubicin hydrochloride 1 mg/ml
Glukoosi 5% 1982
Yhteensopiva
Injektioneste Anidulafungin 0.5 mg/ml
Injektioneste Dexamethasone sodium phosphate 1 mg/ml
Glukoosi 5% 1982
Yhteensopiva
Injektioneste Anidulafungin 0.5 mg/ml
Injektioneste Digoxin 250 µg/ml
Glukoosi 5% 1982
Yhteensopiva
Injektioneste Anidulafungin 0.5 mg/ml
Injektioneste Dobutamine hydrochloride 4 mg/ml
Glukoosi 5% 1982
Yhteensopiva
Injektioneste Anidulafungin 0.5 mg/ml
Injektioneste Docetaxel 2 mg/ml
Glukoosi 5% 1982
Yhteensopiva
Injektioneste Anidulafungin 0.5 mg/ml
Injektioneste Dopamine hydrochloride 3.2 mg/ml
Glukoosi 5% 1982
Yhteensopiva
Injektioneste Anidulafungin 0,5 mg/ml
Injektioneste Doripenem 5 mg/ml
Natriumkloridi 0,9% 2262
Yhteensopiva
Injektioneste Anidulafungin 0,5 mg/ml
Injektioneste Doripenem 5 mg/ml
Glukoosi 5% 2262
Yhteensopiva
Injektioneste Anidulafungin 0.5 mg/ml
Injektioneste Doxorubicin hydrochloride 2 mg/ml
Glukoosi 5% 1982
Yhteensopiva
Injektioneste Anidulafungin 0.5 mg/ml
Injektioneste Epinephrine hydrochloride 50 µg/ml
Glukoosi 5% 1982
Välittömät sateet yhteensopimaton
Injektioneste Anidulafungin 0.5 mg/ml
Injektioneste Ertapenem 20 mg/ml
Glukoosi 5% 1982
Yhteensopiva
Injektioneste Anidulafungin 0.5 mg/ml
Injektioneste Erythromycin lactobionate 5 mg/ml
Glukoosi 5% 1982
Yhteensopiva
Injektioneste Anidulafungin 0.5 mg/ml
Injektioneste Etoposide phosphate 5 mg/ml
Glukoosi 5% 1982
Yhteensopiva
Injektioneste Anidulafungin 0.5 mg/ml
Injektioneste Famotidine 2 mg/ml
Glukoosi 5% 1982
Yhteensopiva
Injektioneste Anidulafungin 0.5 mg/ml
Injektioneste Fentanyl citrate 50 µg/ml
Glukoosi 5% 1982
Yhteensopiva
Injektioneste Anidulafungin 0.5 mg/ml
Injektioneste Fluconazole 2 mg/ml
Glukoosi 5% 1982
Yhteensopiva
Injektioneste Anidulafungin 0.5 mg/ml
Injektioneste Fluorouracil 16 mg/ml
Glukoosi 5% 1982
Yhteensopiva
Injektioneste Anidulafungin 0.5 mg/ml
Injektioneste Folinate calcium 2 mg/ml
Glukoosi 5% 1982
Sade 1 tunnin kuluttua yhteensopimaton
Injektioneste Anidulafungin 0,77 mg/ml
Injektioneste Fosfomycin 30 mg/ml
Natriumkloridi 0,9% 4055
Sademäärä 15 minuutin kuluttua yhteensopimaton
Injektioneste Anidulafungin 0,77 mg/ml
Injektioneste Fosfomycin 30 mg/ml
Glukoosi 5% 4055
Yhteensopiva
Injektioneste Anidulafungin 0.5 mg/ml
Injektioneste Furosemide 3 mg/ml
Glukoosi 5% 1982
Yhteensopiva
Injektioneste Anidulafungin 0.5 mg/ml
Injektioneste Ganciclovir sodium 20 mg/ml
Glukoosi 5% 1982
Yhteensopiva
Injektioneste Anidulafungin 0.5 mg/ml
Injektioneste Gemcitabine hydrochloride 10 mg/ml
Glukoosi 5% 1982
Yhteensopiva
Injektioneste Anidulafungin 0.5 mg/ml
Injektioneste Gentamicin sulfate 5 mg/ml
Glukoosi 5% 1982
Yhteensopiva
Injektioneste Anidulafungin 0.5 mg/ml
Injektioneste Heparin sodium 100 UI/ml
Glukoosi 5% 1982
Yhteensopiva
Injektioneste Anidulafungin 0.5 mg/ml
Injektioneste Hydrocortisone sodium succinate 1 mg/ml
Glukoosi 5% 1982
Yhteensopiva
Injektioneste Anidulafungin 0.5 mg/ml
Injektioneste Ifosfamide 25 mg/ml
Glukoosi 5% 1982
Yhteensopiva
Injektioneste Anidulafungin
Glukoosi 5% 3567
Yhteensopiva
Injektioneste Anidulafungin 0.5 mg/ml
Injektioneste Hydromorphone hydrochloride 0.5 mg/ml
Glukoosi 5% 1982
Yhteensopiva
Injektioneste Anidulafungin 0.5 mg/ml
Injektioneste Imipenem - cilastatin sodium 5 mg/ml
Glukoosi 5% 1982
Yhteensopiva
Injektioneste Anidulafungin 0.77 mg/ml
Injektioneste Isavuconazonium sulfate 1.5 mg/ml
Natriumkloridi 0,9% 3829
Yhteensopiva
Injektioneste Anidulafungin 0.77 mg/ml
Injektioneste Isavuconazonium sulfate 1.5 mg/ml
Glukoosi 5% 3829
Yhteensopiva
Injektioneste Anidulafungin 0.5 mg/ml
Injektioneste Levofloxacine 5 mg/ml
Glukoosi 5% 1982
Yhteensopiva
Injektioneste Anidulafungin 0.5 mg/ml
Injektioneste Linezolid 2 mg/ml
Glukoosi 5% 1982
Yhteensopiva
Injektioneste Anidulafungin 0.5 mg/ml
Injektioneste Meropenem 2.5 mg/ml
Glukoosi 5% 1982
Yhteensopiva
Injektioneste Anidulafungin 0.5 mg/ml
Injektioneste Methylprednisolone sodium succinate 5 mg/ml
Glukoosi 5% 1982
Yhteensopiva
Injektioneste Anidulafungin 0.5 mg/ml
Injektioneste Metronidazole 5 mg/ml
Glukoosi 5% 1982
Yhteensopiva
Injektioneste Anidulafungin 0.5 mg/ml
Injektioneste Midazolam hydrochloride 1 mg/ml
Glukoosi 5% 1982
Yhteensopiva
Injektioneste Anidulafungin 0.5 mg/ml
Injektioneste Morphine sulfate 15 mg/ml
Glukoosi 5% 1982
Yhteensopiva
Injektioneste Anidulafungin 0.5 mg/ml
Injektioneste Mycophenolate mofetil 6 mg/ml
Glukoosi 5% 1982
Yhteensopiva
Injektioneste Anidulafungin 0.5 mg/ml
Injektioneste Paclitaxel 0.6 mg/ml
Glukoosi 5% 1982
Yhteensopiva
Injektioneste Anidulafungin 0.5 mg/ml
Injektioneste Pantoprazole sodium 0.4 mg/ml
Glukoosi 5% 1982
Yhteensopiva
Injektioneste Anidulafungin 0.5 mg/ml
Injektioneste Pethidine hydrochloride 10 mg/ml
Glukoosi 5% 1982
Yhteensopiva
Injektioneste Anidulafungin 0.5 mg/ml
Injektioneste Phenylephrine hydrochloride 1 mg/ml
Glukoosi 5% 1982
Yhteensopiva
Injektioneste Anidulafungin 0.5 mg/ml
Injektioneste Piperacillin sodium / tazobactam 40/5 mg/ml
Glukoosi 5% 1982
Sameus 15 minuutissa yhteensopimaton
Injektioneste Anidulafungin 0,77 mg/ml
Injektioneste Plazomicin sulfate 24 mg/ml
Natriumkloridi 0,9% 4145
Yhteensopiva
Injektioneste Anidulafungin 0.5 mg/ml
Injektioneste Potassium chloride 0.1 mEq/l
Glukoosi 5% 1982
Yhteensopiva
Injektioneste Anidulafungin 0.5 mg/ml
Injektioneste Quinupristine/dalfopristine 5 mg/ml
Glukoosi 5% 1982
Yhteensopiva
Injektioneste Anidulafungin 0.5 mg/ml
Injektioneste Ranitidine hydrochloride 2 mg/ml
Glukoosi 5% 1982
Välitön sameus yhteensopimaton
Injektioneste Anidulafungin 0.5 mg/ml
Injektioneste Sodium bicarbonate 84 mg/ml
Glukoosi 5% 1982
Yhteensopiva
Injektioneste Anidulafungin 0,77 mg/ml
Injektioneste Sulbactam/durlobactam 15/15 mg/ml
Natriumkloridi 0,9% 4801
Yhteensopiva
Injektioneste Anidulafungin 0.5 mg/ml
Injektioneste Tacrolimus 20 µg/ml
Glukoosi 5% 1982
Yhteensopiva
Injektioneste Anidulafungin 0.77 mg/ml
Injektioneste Tedizolid phosphate 0.8 mg/ml
Natriumkloridi 0,9% 3827
Yhteensopiva
Injektioneste Anidulafungin 0.5 mg/ml
Injektioneste Ticarcillin / clavulanic acid 31 mg/ml
Glukoosi 5% 1982
Yhteensopiva
Injektioneste Anidulafungin 0.5 mg/ml
Injektioneste Tobramycin sulfate 5 mg/ml
Glukoosi 5% 1982
Yhteensopiva
Injektioneste Anidulafungin 0.5 mg/ml
Injektioneste Vancomycin hydrochloride 10 mg/ml
Glukoosi 5% 1982
Yhteensopiva
Injektioneste Anidulafungin 0.5 mg/ml
Injektioneste Vincristine sulfate 0.05 mg/ml
Glukoosi 5% 1982
Yhteensopiva
Injektioneste Anidulafungin 0.5 mg/ml
Injektioneste Voriconazole 4 mg/ml
Glukoosi 5% 1982
Yhteensopiva
Injektioneste Anidulafungin
Natriumkloridi 0,9% 3567
Yhteensopiva
Injektioneste Anidulafungin 0.5 mg/ml
Injektioneste Zidovudine 4 mg/ml
Glukoosi 5% 1982
Välitön sameus yhteensopimaton
Injektioneste Anidulafungin 0.5 mg/ml
NaHCO3 1982

  Mentions Légales