Última actualização :
18/03/2026
Antifúngico   Anidulafungin  
injetável
Estabilidade em soluções simples Estabilidade em misturas Factores que afectam a sua estabilidade Compatibilidade Método de administração Bibliografía pdf
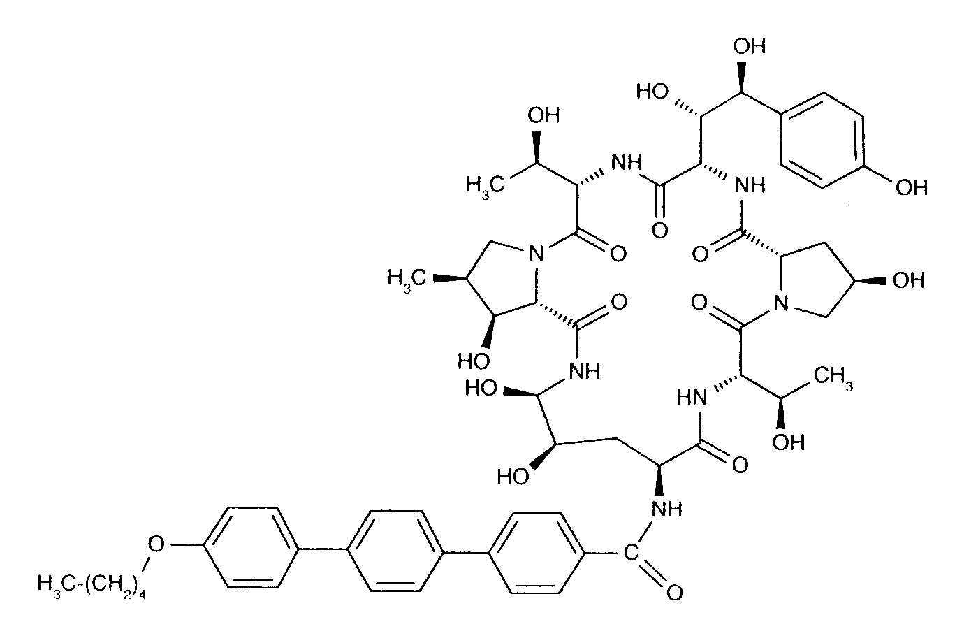
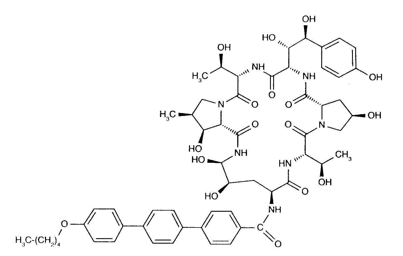
   estrutura química  

Nomes comerciais nos diversos países   Nomes comerciais nos diversos países     

OS NOMES COMERCIAIS SÃO INDICATIVOS E OS EXCIPIENTES DA FORMULAÇÃO PODEM SER DIFERENTES CONFORME O PAÍS E FABRICANTE.

Anidulafungin Alemanha, Bélgica, Gran-bretanha
Anidulafungina Brasil, Espanha
Ecalta Alemanha, Argentina, Bélgica, Brasil, Canadá, Chilli, Colômbia, Dinamarca, Espanha, Estados Unidos de América, Finlandia, França, Gran-bretanha, Grècia, Hungria, Itália, Luxemburgo, Malásia, Noruega, Países Baixos, Peru, Polonia, Romènia, Suècia, Suicia, Turquia, Venezuela
Equalta México
Eraxis Australia, Canadá, Estados Unidos de América
Fuzig México
Compatibilidade   injetável   Compatibilidade : Anidulafungin              
Este ecrã indica as compatibilidades ou incompatibilidades com, neste caso, o tipo de incompatibilidade (precipitação, mudança de cor, modificação de uma emulsão, etc.). As compatibilidades mostradas aqui são principalmente físicas, com a estabilidade química de cada molécula raramente sendo avaliada. A avaliação dessas misturas foi estudada para considerar a possibilidade de administração do local Y ao paciente. Estes dados não podem ser usados para fazer misturas antecipadamente em sacos ou seringas. Este tipo de informação está disponível na tela “Estabilidade na mistura».
molécula Solvente Bibliografia
Compatível
injetável Anidulafungin 0.5 mg/ml
injetável Aciclovir sodium 7 mg/ml
Glucose 5% 1982
Compatível
injetável Anidulafungin 0.5 mg/ml
injetável Amikacin sulfate 5 mg/ml
Glucose 5% 1982
Compatível
injetável Anidulafungin 0.5 mg/ml
injetável Aminophylline 2.5 mg/ml
Glucose 5% 1982
Turvação imediata Incompatível
injetável Anidulafungin 0,5 mg/ml
injetável Amphotericin B 0,6 mg/ml
Glucose 5% 1982
Compatível
injetável Anidulafungin 0.5 mg/ml
injetável Amphotericin B cholesteryl sulfate complex 1 mg/ml
Glucose 5% 1982
Compatível
injetável Anidulafungin 0.5 mg/ml
injetável Amphotericin B liposomale 1 mg/ml
Glucose 5% 1982
Compatível
injetável Anidulafungin 0.5 mg/ml
injetável Ampicillin sodium 20 mg/ml
Glucose 5% 1982
Compatível
injetável Anidulafungin 0.5 mg/ml
injetável Ampicillin sodium - sulbactam sodium 20/10 mg/ml
Glucose 5% 1982
Compatível
injetável Anidulafungin 0.5 mg/ml
injetável Carboplatin 5 mg/ml
Glucose 5% 1982
Compatível
injetável Anidulafungin 0.5 mg/ml
injetável Cefazolin sodium 20 mg/ml
Glucose 5% 1982
Compatível
injetável Anidulafungin 0.5 mg/ml
injetável Cefepime dihydrochloride 20 mg/ml
Glucose 5% 1982
Compatível
injetável Anidulafungin 0.77 mg/ml
injetável Cefiderocol sulfate tosylate 20 mg/mL
cloreto de sódio 0,9% 4528
Compatível
injetável Anidulafungin 0.77 mg/ml
injetável Cefiderocol sulfate tosylate 20 mg/mL
Glucose 5% 4528
Compatível
injetável Anidulafungin 0.5 mg/ml
injetável Cefoxitin sodium 20 mg/ml
Glucose 5% 1982
Compatível
injetável Anidulafungin 0.5 mg/ml
injetável Ceftazidime 40 mg/ml
Glucose 5% 1982
Compatível
injetável Anidulafungin 0.5 mg/ml
injetável Ceftizoxime sodium 20 mg/ml
Glucose 5% 1982
Compatível
injetável Anidulafungin 0.77 mg/ml
injetável Ceftolozane / tazobactam 10/5 mg/ml
cloreto de sódio 0,9% 3828
Compatível
injetável Anidulafungin 0.77 mg/ml
injetável Ceftolozane / tazobactam 10/5 mg/ml
Glucose 5% 3828
Compatível
injetável Anidulafungin 0.5 mg/ml
injetável Ceftriaxone disodium 20 mg/ml
Glucose 5% 1982
Compatível
injetável Anidulafungin 0.5 mg/ml
injetável Cefuroxime sodium 30 mg/ml
Glucose 5% 1982
Compatível
injetável Anidulafungin 0.5 mg/ml
injetável Ciclosporin 5 mg/ml
Glucose 5% 1982
Compatível
injetável Anidulafungin 0.5 mg/ml
injetável Cimetidine hydrochloride 12 mg/ml
Glucose 5% 1982
Compatível
injetável Anidulafungin 0.5 mg/ml
injetável Ciprofloxacin lactate 2 mg/ml
Glucose 5% 1982
Compatível
injetável Anidulafungin 0.5 mg/ml
injetável Cisplatin 1 mg/ml
Glucose 5% 1982
Compatível
injetável Anidulafungin 0.5 mg/ml
injetável Clindamycin phosphate 10 mg/ml
Glucose 5% 1982
Compatível
injetável Anidulafungin 0.5 mg/ml
injetável Co-trimoxazole 4/0.8 mg/ml
Glucose 5% 1982
Compatível
injetável Anidulafungin 0.5 mg/ml
injetável Cyclophosphamide 10 mg/ml
Glucose 5% 1982
Compatível
injetável Anidulafungin 0.5 mg/ml
injetável Cytarabine 50 mg/ml
Glucose 5% 1982
Compatível
injetável Anidulafungin 0.5 mg/ml
injetável Daunorubicin hydrochloride 1 mg/ml
Glucose 5% 1982
Compatível
injetável Anidulafungin 0.5 mg/ml
injetável Dexamethasone sodium phosphate 1 mg/ml
Glucose 5% 1982
Compatível
injetável Anidulafungin 0.5 mg/ml
injetável Digoxin 250 µg/ml
Glucose 5% 1982
Compatível
injetável Anidulafungin 0.5 mg/ml
injetável Dobutamine hydrochloride 4 mg/ml
Glucose 5% 1982
Compatível
injetável Anidulafungin 0.5 mg/ml
injetável Docetaxel 2 mg/ml
Glucose 5% 1982
Compatível
injetável Anidulafungin 0.5 mg/ml
injetável Dopamine hydrochloride 3.2 mg/ml
Glucose 5% 1982
Compatível
injetável Anidulafungin 0,5 mg/ml
injetável Doripenem 5 mg/ml
cloreto de sódio 0,9% 2262
Compatível
injetável Anidulafungin 0,5 mg/ml
injetável Doripenem 5 mg/ml
Glucose 5% 2262
Compatível
injetável Anidulafungin 0.5 mg/ml
injetável Doxorubicin hydrochloride 2 mg/ml
Glucose 5% 1982
Compatível
injetável Anidulafungin 0.5 mg/ml
injetável Epinephrine hydrochloride 50 µg/ml
Glucose 5% 1982
Precipitação imediata Incompatível
injetável Anidulafungin 0.5 mg/ml
injetável Ertapenem 20 mg/ml
Glucose 5% 1982
Compatível
injetável Anidulafungin 0.5 mg/ml
injetável Erythromycin lactobionate 5 mg/ml
Glucose 5% 1982
Compatível
injetável Anidulafungin 0.5 mg/ml
injetável Etoposide phosphate 5 mg/ml
Glucose 5% 1982
Compatível
injetável Anidulafungin 0.5 mg/ml
injetável Famotidine 2 mg/ml
Glucose 5% 1982
Compatível
injetável Anidulafungin 0.5 mg/ml
injetável Fentanyl citrate 50 µg/ml
Glucose 5% 1982
Compatível
injetável Anidulafungin 0.5 mg/ml
injetável Fluconazole 2 mg/ml
Glucose 5% 1982
Compatível
injetável Anidulafungin 0.5 mg/ml
injetável Fluorouracil 16 mg/ml
Glucose 5% 1982
Compatível
injetável Anidulafungin 0.5 mg/ml
injetável Folinate calcium 2 mg/ml
Glucose 5% 1982
Precipitação após 1 hora Incompatível
injetável Anidulafungin 0,77 mg/ml
injetável Fosfomycin 30 mg/ml
cloreto de sódio 0,9% 4055
Precipitação após 15 minutos Incompatível
injetável Anidulafungin 0,77 mg/ml
injetável Fosfomycin 30 mg/ml
Glucose 5% 4055
Compatível
injetável Anidulafungin 0.5 mg/ml
injetável Furosemide 3 mg/ml
Glucose 5% 1982
Compatível
injetável Anidulafungin 0.5 mg/ml
injetável Ganciclovir sodium 20 mg/ml
Glucose 5% 1982
Compatível
injetável Anidulafungin 0.5 mg/ml
injetável Gemcitabine hydrochloride 10 mg/ml
Glucose 5% 1982
Compatível
injetável Anidulafungin 0.5 mg/ml
injetável Gentamicin sulfate 5 mg/ml
Glucose 5% 1982
Compatível
injetável Anidulafungin 0.5 mg/ml
injetável Heparin sodium 100 UI/ml
Glucose 5% 1982
Compatível
injetável Anidulafungin 0.5 mg/ml
injetável Hydrocortisone sodium succinate 1 mg/ml
Glucose 5% 1982
Compatível
injetável Anidulafungin 0.5 mg/ml
injetável Ifosfamide 25 mg/ml
Glucose 5% 1982
Compatível
injetável Anidulafungin
Glucose 5% 3567
Compatível
injetável Anidulafungin 0.5 mg/ml
injetável Hydromorphone hydrochloride 0.5 mg/ml
Glucose 5% 1982
Compatível
injetável Anidulafungin 0.5 mg/ml
injetável Imipenem - cilastatin sodium 5 mg/ml
Glucose 5% 1982
Compatível
injetável Anidulafungin 0.77 mg/ml
injetável Isavuconazonium sulfate 1.5 mg/ml
cloreto de sódio 0,9% 3829
Compatível
injetável Anidulafungin 0.77 mg/ml
injetável Isavuconazonium sulfate 1.5 mg/ml
Glucose 5% 3829
Compatível
injetável Anidulafungin 0.5 mg/ml
injetável Levofloxacine 5 mg/ml
Glucose 5% 1982
Compatível
injetável Anidulafungin 0.5 mg/ml
injetável Linezolid 2 mg/ml
Glucose 5% 1982
Compatível
injetável Anidulafungin 0.5 mg/ml
injetável Meropenem 2.5 mg/ml
Glucose 5% 1982
Compatível
injetável Anidulafungin 0.5 mg/ml
injetável Methylprednisolone sodium succinate 5 mg/ml
Glucose 5% 1982
Compatível
injetável Anidulafungin 0.5 mg/ml
injetável Metronidazole 5 mg/ml
Glucose 5% 1982
Compatível
injetável Anidulafungin 0.5 mg/ml
injetável Midazolam hydrochloride 1 mg/ml
Glucose 5% 1982
Compatível
injetável Anidulafungin 0.5 mg/ml
injetável Morphine sulfate 15 mg/ml
Glucose 5% 1982
Compatível
injetável Anidulafungin 0.5 mg/ml
injetável Mycophenolate mofetil 6 mg/ml
Glucose 5% 1982
Compatível
injetável Anidulafungin 0.5 mg/ml
injetável Paclitaxel 0.6 mg/ml
Glucose 5% 1982
Compatível
injetável Anidulafungin 0.5 mg/ml
injetável Pantoprazole sodium 0.4 mg/ml
Glucose 5% 1982
Compatível
injetável Anidulafungin 0.5 mg/ml
injetável Pethidine hydrochloride 10 mg/ml
Glucose 5% 1982
Compatível
injetável Anidulafungin 0.5 mg/ml
injetável Phenylephrine hydrochloride 1 mg/ml
Glucose 5% 1982
Compatível
injetável Anidulafungin 0.5 mg/ml
injetável Piperacillin sodium / tazobactam 40/5 mg/ml
Glucose 5% 1982
Turbidez em 15 minutos Incompatível
injetável Anidulafungin 0,77 mg/ml
injetável Plazomicin sulfate 24 mg/ml
cloreto de sódio 0,9% 4145
Compatível
injetável Anidulafungin 0.5 mg/ml
injetável Potassium chloride 0.1 mEq/l
Glucose 5% 1982
Compatível
injetável Anidulafungin 0.5 mg/ml
injetável Quinupristine/dalfopristine 5 mg/ml
Glucose 5% 1982
Compatível
injetável Anidulafungin 0.5 mg/ml
injetável Ranitidine hydrochloride 2 mg/ml
Glucose 5% 1982
Turvação imediata Incompatível
injetável Anidulafungin 0.5 mg/ml
injetável Sodium bicarbonate 84 mg/ml
Glucose 5% 1982
Compatível
injetável Anidulafungin 0,77 mg/ml
injetável Sulbactam/durlobactam 15/15 mg/ml
cloreto de sódio 0,9% 4801
Compatível
injetável Anidulafungin 0.5 mg/ml
injetável Tacrolimus 20 µg/ml
Glucose 5% 1982
Compatível
injetável Anidulafungin 0.77 mg/ml
injetável Tedizolid phosphate 0.8 mg/ml
cloreto de sódio 0,9% 3827
Compatível
injetável Anidulafungin 0.5 mg/ml
injetável Ticarcillin / clavulanic acid 31 mg/ml
Glucose 5% 1982
Compatível
injetável Anidulafungin 0.5 mg/ml
injetável Tobramycin sulfate 5 mg/ml
Glucose 5% 1982
Compatível
injetável Anidulafungin 0.5 mg/ml
injetável Vancomycin hydrochloride 10 mg/ml
Glucose 5% 1982
Compatível
injetável Anidulafungin 0.5 mg/ml
injetável Vincristine sulfate 0.05 mg/ml
Glucose 5% 1982
Compatível
injetável Anidulafungin 0.5 mg/ml
injetável Voriconazole 4 mg/ml
Glucose 5% 1982
Compatível
injetável Anidulafungin
cloreto de sódio 0,9% 3567
Compatível
injetável Anidulafungin 0.5 mg/ml
injetável Zidovudine 4 mg/ml
Glucose 5% 1982
Turvação imediata Incompatível
injetável Anidulafungin 0.5 mg/ml
NaHCO3 1982

  Mentions Légales