Letztes “update” :
18/03/2026
Antifungoid   Anidulafungin  
Injektion
Stabilität der Lösung Gemengestabilität Stabilitätbeeinflussende Faktoren Kompatibilitäten Applikationsart Literaturverzeichnis pdf
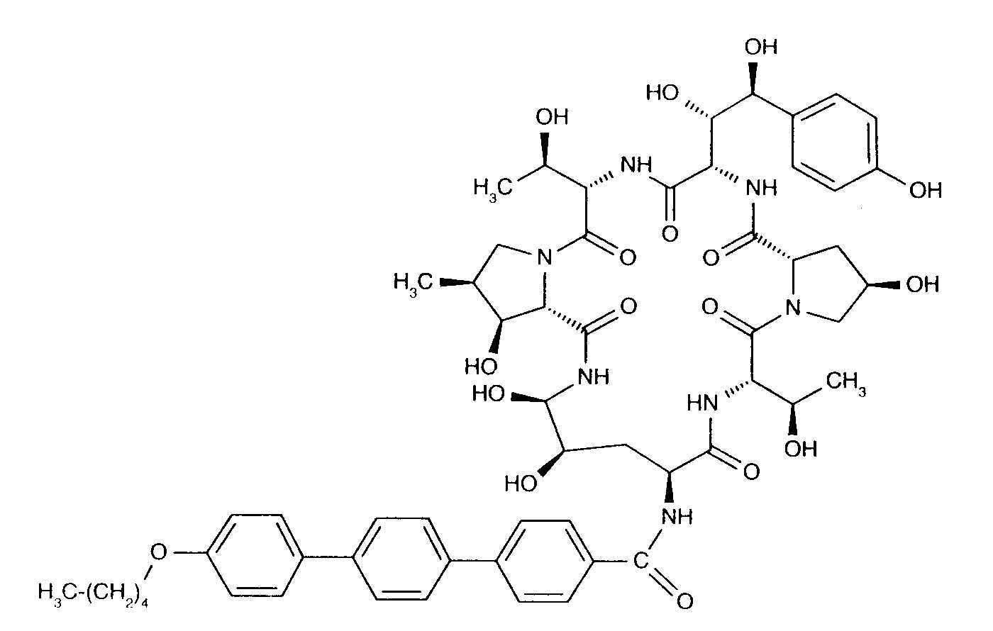
   Chemische Struktur  

Handelsmarke   Handelsmarke     

Handelsnamen sind als beispielhaft anzusehen. Sonstige Bestandteile können je nach Hersteller oder Land verschieden sein

Anidulafungin Belgien, Deutschland, Großbritannien
Anidulafungina Brasilien, Spanien
Ecalta Argentinien, Belgien, Brasilien, Chile, Dänemark, Deutschland, Finnland, Frankreich, Griechenland, Großbritannien, Italien, Kanada, Kolumbien, Luxemburg, Malaysia, Niederlande, Norwegen, Peru, Polen, Rumänien, Schweden, Schweiz, Spanien, Türkei, Ungarn, Venezuela, Vereinigte Staaten von Amerika
Equalta Mexiko
Eraxis Australien, Kanada, Vereinigte Staaten von Amerika
Fuzig Mexiko
Kompatibilitäten   Injektion   Kompatibilitäten : Anidulafungin              
Dieser Bildschirm zeigt die Kompatibilitäten oder Inkompatibilitäten mit der Art der Inkompatibilität (hier: Ausfällung, Farbänderung, Modifikation einer Emulsion usw.) an. Die hier gezeigten Kompatibilitäten sind meist nur physikalisch, wobei die chemische Stabilität jedes Moleküls selten bewertet wird. Die Bewertung dieser Gemische wurde untersucht, um die Möglichkeit einer Verabreichung über eine Y-Verbindung zu berücksichtigen. Diese Daten können daher nicht zur Herstellung von Mischungen im Voraus in Beuteln oder Spritzen verwendet werden. Sie finden diese Informationen auf dem Bildschirm "Stabilität in Mischung».
Molekül Lösungsmittel Literaturverzeichnis
kompatibel
Injektion Anidulafungin 0.5 mg/ml
Injektion Aciclovir sodium 7 mg/ml
5% Glucose 1982
kompatibel
Injektion Anidulafungin 0.5 mg/ml
Injektion Amikacin sulfate 5 mg/ml
5% Glucose 1982
kompatibel
Injektion Anidulafungin 0.5 mg/ml
Injektion Aminophylline 2.5 mg/ml
5% Glucose 1982
Sofortige Trübung nicht kompatibel
Injektion Anidulafungin 0,5 mg/ml
Injektion Amphotericin B 0,6 mg/ml
5% Glucose 1982
kompatibel
Injektion Anidulafungin 0.5 mg/ml
Injektion Amphotericin B cholesteryl sulfate complex 1 mg/ml
5% Glucose 1982
kompatibel
Injektion Anidulafungin 0.5 mg/ml
Injektion Amphotericin B liposomale 1 mg/ml
5% Glucose 1982
kompatibel
Injektion Anidulafungin 0.5 mg/ml
Injektion Ampicillin sodium 20 mg/ml
5% Glucose 1982
kompatibel
Injektion Anidulafungin 0.5 mg/ml
Injektion Ampicillin sodium - sulbactam sodium 20/10 mg/ml
5% Glucose 1982
kompatibel
Injektion Anidulafungin 0.5 mg/ml
Injektion Carboplatin 5 mg/ml
5% Glucose 1982
kompatibel
Injektion Anidulafungin 0.5 mg/ml
Injektion Cefazolin sodium 20 mg/ml
5% Glucose 1982
kompatibel
Injektion Anidulafungin 0.5 mg/ml
Injektion Cefepime dihydrochloride 20 mg/ml
5% Glucose 1982
kompatibel
Injektion Anidulafungin 0.77 mg/ml
Injektion Cefiderocol sulfate tosylate 20 mg/mL
0,9% Natriumchlorid 4528
kompatibel
Injektion Anidulafungin 0.77 mg/ml
Injektion Cefiderocol sulfate tosylate 20 mg/mL
5% Glucose 4528
kompatibel
Injektion Anidulafungin 0.5 mg/ml
Injektion Cefoxitin sodium 20 mg/ml
5% Glucose 1982
kompatibel
Injektion Anidulafungin 0.5 mg/ml
Injektion Ceftazidime 40 mg/ml
5% Glucose 1982
kompatibel
Injektion Anidulafungin 0.5 mg/ml
Injektion Ceftizoxime sodium 20 mg/ml
5% Glucose 1982
kompatibel
Injektion Anidulafungin 0.77 mg/ml
Injektion Ceftolozane / tazobactam 10/5 mg/ml
0,9% Natriumchlorid 3828
kompatibel
Injektion Anidulafungin 0.77 mg/ml
Injektion Ceftolozane / tazobactam 10/5 mg/ml
5% Glucose 3828
kompatibel
Injektion Anidulafungin 0.5 mg/ml
Injektion Ceftriaxone disodium 20 mg/ml
5% Glucose 1982
kompatibel
Injektion Anidulafungin 0.5 mg/ml
Injektion Cefuroxime sodium 30 mg/ml
5% Glucose 1982
kompatibel
Injektion Anidulafungin 0.5 mg/ml
Injektion Ciclosporin 5 mg/ml
5% Glucose 1982
kompatibel
Injektion Anidulafungin 0.5 mg/ml
Injektion Cimetidine hydrochloride 12 mg/ml
5% Glucose 1982
kompatibel
Injektion Anidulafungin 0.5 mg/ml
Injektion Ciprofloxacin lactate 2 mg/ml
5% Glucose 1982
kompatibel
Injektion Anidulafungin 0.5 mg/ml
Injektion Cisplatin 1 mg/ml
5% Glucose 1982
kompatibel
Injektion Anidulafungin 0.5 mg/ml
Injektion Clindamycin phosphate 10 mg/ml
5% Glucose 1982
kompatibel
Injektion Anidulafungin 0.5 mg/ml
Injektion Co-trimoxazole 4/0.8 mg/ml
5% Glucose 1982
kompatibel
Injektion Anidulafungin 0.5 mg/ml
Injektion Cyclophosphamide 10 mg/ml
5% Glucose 1982
kompatibel
Injektion Anidulafungin 0.5 mg/ml
Injektion Cytarabine 50 mg/ml
5% Glucose 1982
kompatibel
Injektion Anidulafungin 0.5 mg/ml
Injektion Daunorubicin hydrochloride 1 mg/ml
5% Glucose 1982
kompatibel
Injektion Anidulafungin 0.5 mg/ml
Injektion Dexamethasone sodium phosphate 1 mg/ml
5% Glucose 1982
kompatibel
Injektion Anidulafungin 0.5 mg/ml
Injektion Digoxin 250 µg/ml
5% Glucose 1982
kompatibel
Injektion Anidulafungin 0.5 mg/ml
Injektion Dobutamine hydrochloride 4 mg/ml
5% Glucose 1982
kompatibel
Injektion Anidulafungin 0.5 mg/ml
Injektion Docetaxel 2 mg/ml
5% Glucose 1982
kompatibel
Injektion Anidulafungin 0.5 mg/ml
Injektion Dopamine hydrochloride 3.2 mg/ml
5% Glucose 1982
kompatibel
Injektion Anidulafungin 0,5 mg/ml
Injektion Doripenem 5 mg/ml
0,9% Natriumchlorid 2262
kompatibel
Injektion Anidulafungin 0,5 mg/ml
Injektion Doripenem 5 mg/ml
5% Glucose 2262
kompatibel
Injektion Anidulafungin 0.5 mg/ml
Injektion Doxorubicin hydrochloride 2 mg/ml
5% Glucose 1982
kompatibel
Injektion Anidulafungin 0.5 mg/ml
Injektion Epinephrine hydrochloride 50 µg/ml
5% Glucose 1982
Sofortiger Niederschlag nicht kompatibel
Injektion Anidulafungin 0.5 mg/ml
Injektion Ertapenem 20 mg/ml
5% Glucose 1982
kompatibel
Injektion Anidulafungin 0.5 mg/ml
Injektion Erythromycin lactobionate 5 mg/ml
5% Glucose 1982
kompatibel
Injektion Anidulafungin 0.5 mg/ml
Injektion Etoposide phosphate 5 mg/ml
5% Glucose 1982
kompatibel
Injektion Anidulafungin 0.5 mg/ml
Injektion Famotidine 2 mg/ml
5% Glucose 1982
kompatibel
Injektion Anidulafungin 0.5 mg/ml
Injektion Fentanyl citrate 50 µg/ml
5% Glucose 1982
kompatibel
Injektion Anidulafungin 0.5 mg/ml
Injektion Fluconazole 2 mg/ml
5% Glucose 1982
kompatibel
Injektion Anidulafungin 0.5 mg/ml
Injektion Fluorouracil 16 mg/ml
5% Glucose 1982
kompatibel
Injektion Anidulafungin 0.5 mg/ml
Injektion Folinate calcium 2 mg/ml
5% Glucose 1982
Niederschlag nach 1 Stunde nicht kompatibel
Injektion Anidulafungin 0,77 mg/ml
Injektion Fosfomycin 30 mg/ml
0,9% Natriumchlorid 4055
Niederschlag nach 15 Minuten nicht kompatibel
Injektion Anidulafungin 0,77 mg/ml
Injektion Fosfomycin 30 mg/ml
5% Glucose 4055
kompatibel
Injektion Anidulafungin 0.5 mg/ml
Injektion Furosemide 3 mg/ml
5% Glucose 1982
kompatibel
Injektion Anidulafungin 0.5 mg/ml
Injektion Ganciclovir sodium 20 mg/ml
5% Glucose 1982
kompatibel
Injektion Anidulafungin 0.5 mg/ml
Injektion Gemcitabine hydrochloride 10 mg/ml
5% Glucose 1982
kompatibel
Injektion Anidulafungin 0.5 mg/ml
Injektion Gentamicin sulfate 5 mg/ml
5% Glucose 1982
kompatibel
Injektion Anidulafungin 0.5 mg/ml
Injektion Heparin sodium 100 UI/ml
5% Glucose 1982
kompatibel
Injektion Anidulafungin 0.5 mg/ml
Injektion Hydrocortisone sodium succinate 1 mg/ml
5% Glucose 1982
kompatibel
Injektion Anidulafungin 0.5 mg/ml
Injektion Ifosfamide 25 mg/ml
5% Glucose 1982
kompatibel
Injektion Anidulafungin
5% Glucose 3567
kompatibel
Injektion Anidulafungin 0.5 mg/ml
Injektion Hydromorphone hydrochloride 0.5 mg/ml
5% Glucose 1982
kompatibel
Injektion Anidulafungin 0.5 mg/ml
Injektion Imipenem - cilastatin sodium 5 mg/ml
5% Glucose 1982
kompatibel
Injektion Anidulafungin 0.77 mg/ml
Injektion Isavuconazonium sulfate 1.5 mg/ml
0,9% Natriumchlorid 3829
kompatibel
Injektion Anidulafungin 0.77 mg/ml
Injektion Isavuconazonium sulfate 1.5 mg/ml
5% Glucose 3829
kompatibel
Injektion Anidulafungin 0.5 mg/ml
Injektion Levofloxacine 5 mg/ml
5% Glucose 1982
kompatibel
Injektion Anidulafungin 0.5 mg/ml
Injektion Linezolid 2 mg/ml
5% Glucose 1982
kompatibel
Injektion Anidulafungin 0.5 mg/ml
Injektion Meropenem 2.5 mg/ml
5% Glucose 1982
kompatibel
Injektion Anidulafungin 0.5 mg/ml
Injektion Methylprednisolone sodium succinate 5 mg/ml
5% Glucose 1982
kompatibel
Injektion Anidulafungin 0.5 mg/ml
Injektion Metronidazole 5 mg/ml
5% Glucose 1982
kompatibel
Injektion Anidulafungin 0.5 mg/ml
Injektion Midazolam hydrochloride 1 mg/ml
5% Glucose 1982
kompatibel
Injektion Anidulafungin 0.5 mg/ml
Injektion Morphine sulfate 15 mg/ml
5% Glucose 1982
kompatibel
Injektion Anidulafungin 0.5 mg/ml
Injektion Mycophenolate mofetil 6 mg/ml
5% Glucose 1982
kompatibel
Injektion Anidulafungin 0.5 mg/ml
Injektion Paclitaxel 0.6 mg/ml
5% Glucose 1982
kompatibel
Injektion Anidulafungin 0.5 mg/ml
Injektion Pantoprazole sodium 0.4 mg/ml
5% Glucose 1982
kompatibel
Injektion Anidulafungin 0.5 mg/ml
Injektion Pethidine hydrochloride 10 mg/ml
5% Glucose 1982
kompatibel
Injektion Anidulafungin 0.5 mg/ml
Injektion Phenylephrine hydrochloride 1 mg/ml
5% Glucose 1982
kompatibel
Injektion Anidulafungin 0.5 mg/ml
Injektion Piperacillin sodium / tazobactam 40/5 mg/ml
5% Glucose 1982
Trübung in 15 Minuten nicht kompatibel
Injektion Anidulafungin 0,77 mg/ml
Injektion Plazomicin sulfate 24 mg/ml
0,9% Natriumchlorid 4145
kompatibel
Injektion Anidulafungin 0.5 mg/ml
Injektion Potassium chloride 0.1 mEq/l
5% Glucose 1982
kompatibel
Injektion Anidulafungin 0.5 mg/ml
Injektion Quinupristine/dalfopristine 5 mg/ml
5% Glucose 1982
kompatibel
Injektion Anidulafungin 0.5 mg/ml
Injektion Ranitidine hydrochloride 2 mg/ml
5% Glucose 1982
Sofortige Trübung nicht kompatibel
Injektion Anidulafungin 0.5 mg/ml
Injektion Sodium bicarbonate 84 mg/ml
5% Glucose 1982
kompatibel
Injektion Anidulafungin 0,77 mg/ml
Injektion Sulbactam/durlobactam 15/15 mg/ml
0,9% Natriumchlorid 4801
kompatibel
Injektion Anidulafungin 0.5 mg/ml
Injektion Tacrolimus 20 µg/ml
5% Glucose 1982
kompatibel
Injektion Anidulafungin 0.77 mg/ml
Injektion Tedizolid phosphate 0.8 mg/ml
0,9% Natriumchlorid 3827
kompatibel
Injektion Anidulafungin 0.5 mg/ml
Injektion Ticarcillin / clavulanic acid 31 mg/ml
5% Glucose 1982
kompatibel
Injektion Anidulafungin 0.5 mg/ml
Injektion Tobramycin sulfate 5 mg/ml
5% Glucose 1982
kompatibel
Injektion Anidulafungin 0.5 mg/ml
Injektion Vancomycin hydrochloride 10 mg/ml
5% Glucose 1982
kompatibel
Injektion Anidulafungin 0.5 mg/ml
Injektion Vincristine sulfate 0.05 mg/ml
5% Glucose 1982
kompatibel
Injektion Anidulafungin 0.5 mg/ml
Injektion Voriconazole 4 mg/ml
5% Glucose 1982
kompatibel
Injektion Anidulafungin
0,9% Natriumchlorid 3567
kompatibel
Injektion Anidulafungin 0.5 mg/ml
Injektion Zidovudine 4 mg/ml
5% Glucose 1982
Sofortige Trübung nicht kompatibel
Injektion Anidulafungin 0.5 mg/ml
NaHCO3 1982

  Mentions Légales