viimane versioon :
18/03/2026
Seenevastane ravim   Anidulafungin  
Süsteravim
Stabiilsus lahustes Stabiilsust mõjutavad tegurid stabiilsust mõjutavad faktorid Sobimatus Manustamis viis Viited pdf
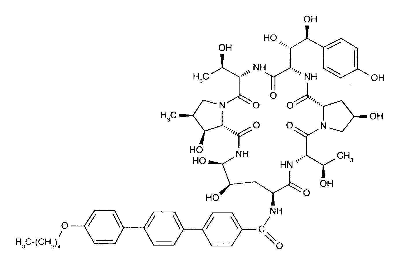
   keemiline struktuur  

Kaubanduslikud nimed erinevates maades   Kaubanduslikud nimed erinevates maades     

Preparaatide nimed on näitlikud ja abianete sisaldus võib erineda sõltuvalt riigist ja laborist

Anidulafungin Belgia, Saksamaa, Suurbritannia
Anidulafungina Brasiilia, Hispaania
Ecalta Ameerika ühendriigid, Argentiina, Belgia, Brasiilia, Hispaania, Holland, Itaalia, Kanada, Kolumbia, Kreeka, Luksemburg, Malaisia, Maroko, Norra, Poola, Prantsusmaa, Rootsi, Rumeenia, Saksamaa, Soome, Suurbritannia, Sveits, Taani, Tšiili, Türgi, Ungari, Venetsueela
Equalta Mehhiko
Eraxis Ameerika ühendriigid, Austraalia, Kanada
Fuzig Mehhiko
Sobimatus   Süsteravim   Sobimatus : Anidulafungin              
Sellel lehel kuvatakse sobimatusi ja sobimatuse tüüpi (sadenemine, värvuse muutus, emulsiooni modifitseerumine jne). Enamasti on siin lehel kuvatud füüsikalised sobimatused, kuna molekulide keemilist stabiilsust hinnatakse harva. Hinnatud on segude sobivust Y-liinis. Antud infot ei saa kasutada ravimite sobivuse hindamiseks juhul, kui ravimid on segatud süstaldes või infusioonikottides. See info on lehel « stabiilsus segudes ».
ingredient lahusti Viited
Ühilduv
Süsteravim Anidulafungin 0.5 mg/ml
Süsteravim Aciclovir sodium 7 mg/ml
glükoos 5% 1982
Ühilduv
Süsteravim Anidulafungin 0.5 mg/ml
Süsteravim Amikacin sulfate 5 mg/ml
glükoos 5% 1982
Ühilduv
Süsteravim Anidulafungin 0.5 mg/ml
Süsteravim Aminophylline 2.5 mg/ml
glükoos 5% 1982
Kohene hägusus Sobimatu
Süsteravim Anidulafungin 0,5 mg/ml
Süsteravim Amphotericin B 0,6 mg/ml
glükoos 5% 1982
Ühilduv
Süsteravim Anidulafungin 0.5 mg/ml
Süsteravim Amphotericin B cholesteryl sulfate complex 1 mg/ml
glükoos 5% 1982
Ühilduv
Süsteravim Anidulafungin 0.5 mg/ml
Süsteravim Amphotericin B liposomale 1 mg/ml
glükoos 5% 1982
Ühilduv
Süsteravim Anidulafungin 0.5 mg/ml
Süsteravim Ampicillin sodium 20 mg/ml
glükoos 5% 1982
Ühilduv
Süsteravim Anidulafungin 0.5 mg/ml
Süsteravim Ampicillin sodium - sulbactam sodium 20/10 mg/ml
glükoos 5% 1982
Ühilduv
Süsteravim Anidulafungin 0.5 mg/ml
Süsteravim Carboplatin 5 mg/ml
glükoos 5% 1982
Ühilduv
Süsteravim Anidulafungin 0.5 mg/ml
Süsteravim Cefazolin sodium 20 mg/ml
glükoos 5% 1982
Ühilduv
Süsteravim Anidulafungin 0.5 mg/ml
Süsteravim Cefepime dihydrochloride 20 mg/ml
glükoos 5% 1982
Ühilduv
Süsteravim Anidulafungin 0.77 mg/ml
Süsteravim Cefiderocol sulfate tosylate 20 mg/mL
naatriumkloriid 0.9% 4528
Ühilduv
Süsteravim Anidulafungin 0.77 mg/ml
Süsteravim Cefiderocol sulfate tosylate 20 mg/mL
glükoos 5% 4528
Ühilduv
Süsteravim Anidulafungin 0.5 mg/ml
Süsteravim Cefoxitin sodium 20 mg/ml
glükoos 5% 1982
Ühilduv
Süsteravim Anidulafungin 0.5 mg/ml
Süsteravim Ceftazidime 40 mg/ml
glükoos 5% 1982
Ühilduv
Süsteravim Anidulafungin 0.5 mg/ml
Süsteravim Ceftizoxime sodium 20 mg/ml
glükoos 5% 1982
Ühilduv
Süsteravim Anidulafungin 0.77 mg/ml
Süsteravim Ceftolozane / tazobactam 10/5 mg/ml
naatriumkloriid 0.9% 3828
Ühilduv
Süsteravim Anidulafungin 0.77 mg/ml
Süsteravim Ceftolozane / tazobactam 10/5 mg/ml
glükoos 5% 3828
Ühilduv
Süsteravim Anidulafungin 0.5 mg/ml
Süsteravim Ceftriaxone disodium 20 mg/ml
glükoos 5% 1982
Ühilduv
Süsteravim Anidulafungin 0.5 mg/ml
Süsteravim Cefuroxime sodium 30 mg/ml
glükoos 5% 1982
Ühilduv
Süsteravim Anidulafungin 0.5 mg/ml
Süsteravim Ciclosporin 5 mg/ml
glükoos 5% 1982
Ühilduv
Süsteravim Anidulafungin 0.5 mg/ml
Süsteravim Cimetidine hydrochloride 12 mg/ml
glükoos 5% 1982
Ühilduv
Süsteravim Anidulafungin 0.5 mg/ml
Süsteravim Ciprofloxacin lactate 2 mg/ml
glükoos 5% 1982
Ühilduv
Süsteravim Anidulafungin 0.5 mg/ml
Süsteravim Cisplatin 1 mg/ml
glükoos 5% 1982
Ühilduv
Süsteravim Anidulafungin 0.5 mg/ml
Süsteravim Clindamycin phosphate 10 mg/ml
glükoos 5% 1982
Ühilduv
Süsteravim Anidulafungin 0.5 mg/ml
Süsteravim Co-trimoxazole 4/0.8 mg/ml
glükoos 5% 1982
Ühilduv
Süsteravim Anidulafungin 0.5 mg/ml
Süsteravim Cyclophosphamide 10 mg/ml
glükoos 5% 1982
Ühilduv
Süsteravim Anidulafungin 0.5 mg/ml
Süsteravim Cytarabine 50 mg/ml
glükoos 5% 1982
Ühilduv
Süsteravim Anidulafungin 0.5 mg/ml
Süsteravim Daunorubicin hydrochloride 1 mg/ml
glükoos 5% 1982
Ühilduv
Süsteravim Anidulafungin 0.5 mg/ml
Süsteravim Dexamethasone sodium phosphate 1 mg/ml
glükoos 5% 1982
Ühilduv
Süsteravim Anidulafungin 0.5 mg/ml
Süsteravim Digoxin 250 µg/ml
glükoos 5% 1982
Ühilduv
Süsteravim Anidulafungin 0.5 mg/ml
Süsteravim Dobutamine hydrochloride 4 mg/ml
glükoos 5% 1982
Ühilduv
Süsteravim Anidulafungin 0.5 mg/ml
Süsteravim Docetaxel 2 mg/ml
glükoos 5% 1982
Ühilduv
Süsteravim Anidulafungin 0.5 mg/ml
Süsteravim Dopamine hydrochloride 3.2 mg/ml
glükoos 5% 1982
Ühilduv
Süsteravim Anidulafungin 0,5 mg/ml
Süsteravim Doripenem 5 mg/ml
naatriumkloriid 0.9% 2262
Ühilduv
Süsteravim Anidulafungin 0,5 mg/ml
Süsteravim Doripenem 5 mg/ml
glükoos 5% 2262
Ühilduv
Süsteravim Anidulafungin 0.5 mg/ml
Süsteravim Doxorubicin hydrochloride 2 mg/ml
glükoos 5% 1982
Ühilduv
Süsteravim Anidulafungin 0.5 mg/ml
Süsteravim Epinephrine hydrochloride 50 µg/ml
glükoos 5% 1982
Kohene sade Sobimatu
Süsteravim Anidulafungin 0.5 mg/ml
Süsteravim Ertapenem 20 mg/ml
glükoos 5% 1982
Ühilduv
Süsteravim Anidulafungin 0.5 mg/ml
Süsteravim Erythromycin lactobionate 5 mg/ml
glükoos 5% 1982
Ühilduv
Süsteravim Anidulafungin 0.5 mg/ml
Süsteravim Etoposide phosphate 5 mg/ml
glükoos 5% 1982
Ühilduv
Süsteravim Anidulafungin 0.5 mg/ml
Süsteravim Famotidine 2 mg/ml
glükoos 5% 1982
Ühilduv
Süsteravim Anidulafungin 0.5 mg/ml
Süsteravim Fentanyl citrate 50 µg/ml
glükoos 5% 1982
Ühilduv
Süsteravim Anidulafungin 0.5 mg/ml
Süsteravim Fluconazole 2 mg/ml
glükoos 5% 1982
Ühilduv
Süsteravim Anidulafungin 0.5 mg/ml
Süsteravim Fluorouracil 16 mg/ml
glükoos 5% 1982
Ühilduv
Süsteravim Anidulafungin 0.5 mg/ml
Süsteravim Folinate calcium 2 mg/ml
glükoos 5% 1982
Sade 1 tunni pärast Sobimatu
Süsteravim Anidulafungin 0,77 mg/ml
Süsteravim Fosfomycin 30 mg/ml
naatriumkloriid 0.9% 4055
Sademed 15 minuti pärast Sobimatu
Süsteravim Anidulafungin 0,77 mg/ml
Süsteravim Fosfomycin 30 mg/ml
glükoos 5% 4055
Ühilduv
Süsteravim Anidulafungin 0.5 mg/ml
Süsteravim Furosemide 3 mg/ml
glükoos 5% 1982
Ühilduv
Süsteravim Anidulafungin 0.5 mg/ml
Süsteravim Ganciclovir sodium 20 mg/ml
glükoos 5% 1982
Ühilduv
Süsteravim Anidulafungin 0.5 mg/ml
Süsteravim Gemcitabine hydrochloride 10 mg/ml
glükoos 5% 1982
Ühilduv
Süsteravim Anidulafungin 0.5 mg/ml
Süsteravim Gentamicin sulfate 5 mg/ml
glükoos 5% 1982
Ühilduv
Süsteravim Anidulafungin 0.5 mg/ml
Süsteravim Heparin sodium 100 UI/ml
glükoos 5% 1982
Ühilduv
Süsteravim Anidulafungin 0.5 mg/ml
Süsteravim Hydrocortisone sodium succinate 1 mg/ml
glükoos 5% 1982
Ühilduv
Süsteravim Anidulafungin 0.5 mg/ml
Süsteravim Ifosfamide 25 mg/ml
glükoos 5% 1982
Ühilduv
Süsteravim Anidulafungin
glükoos 5% 3567
Ühilduv
Süsteravim Anidulafungin 0.5 mg/ml
Süsteravim Hydromorphone hydrochloride 0.5 mg/ml
glükoos 5% 1982
Ühilduv
Süsteravim Anidulafungin 0.5 mg/ml
Süsteravim Imipenem - cilastatin sodium 5 mg/ml
glükoos 5% 1982
Ühilduv
Süsteravim Anidulafungin 0.77 mg/ml
Süsteravim Isavuconazonium sulfate 1.5 mg/ml
naatriumkloriid 0.9% 3829
Ühilduv
Süsteravim Anidulafungin 0.77 mg/ml
Süsteravim Isavuconazonium sulfate 1.5 mg/ml
glükoos 5% 3829
Ühilduv
Süsteravim Anidulafungin 0.5 mg/ml
Süsteravim Levofloxacine 5 mg/ml
glükoos 5% 1982
Ühilduv
Süsteravim Anidulafungin 0.5 mg/ml
Süsteravim Linezolid 2 mg/ml
glükoos 5% 1982
Ühilduv
Süsteravim Anidulafungin 0.5 mg/ml
Süsteravim Meropenem 2.5 mg/ml
glükoos 5% 1982
Ühilduv
Süsteravim Anidulafungin 0.5 mg/ml
Süsteravim Methylprednisolone sodium succinate 5 mg/ml
glükoos 5% 1982
Ühilduv
Süsteravim Anidulafungin 0.5 mg/ml
Süsteravim Metronidazole 5 mg/ml
glükoos 5% 1982
Ühilduv
Süsteravim Anidulafungin 0.5 mg/ml
Süsteravim Midazolam hydrochloride 1 mg/ml
glükoos 5% 1982
Ühilduv
Süsteravim Anidulafungin 0.5 mg/ml
Süsteravim Morphine sulfate 15 mg/ml
glükoos 5% 1982
Ühilduv
Süsteravim Anidulafungin 0.5 mg/ml
Süsteravim Mycophenolate mofetil 6 mg/ml
glükoos 5% 1982
Ühilduv
Süsteravim Anidulafungin 0.5 mg/ml
Süsteravim Paclitaxel 0.6 mg/ml
glükoos 5% 1982
Ühilduv
Süsteravim Anidulafungin 0.5 mg/ml
Süsteravim Pantoprazole sodium 0.4 mg/ml
glükoos 5% 1982
Ühilduv
Süsteravim Anidulafungin 0.5 mg/ml
Süsteravim Pethidine hydrochloride 10 mg/ml
glükoos 5% 1982
Ühilduv
Süsteravim Anidulafungin 0.5 mg/ml
Süsteravim Phenylephrine hydrochloride 1 mg/ml
glükoos 5% 1982
Ühilduv
Süsteravim Anidulafungin 0.5 mg/ml
Süsteravim Piperacillin sodium / tazobactam 40/5 mg/ml
glükoos 5% 1982
Hägusus 15 minutiga Sobimatu
Süsteravim Anidulafungin 0,77 mg/ml
Süsteravim Plazomicin sulfate 24 mg/ml
naatriumkloriid 0.9% 4145
Ühilduv
Süsteravim Anidulafungin 0.5 mg/ml
Süsteravim Potassium chloride 0.1 mEq/l
glükoos 5% 1982
Ühilduv
Süsteravim Anidulafungin 0.5 mg/ml
Süsteravim Quinupristine/dalfopristine 5 mg/ml
glükoos 5% 1982
Ühilduv
Süsteravim Anidulafungin 0.5 mg/ml
Süsteravim Ranitidine hydrochloride 2 mg/ml
glükoos 5% 1982
Kohene hägusus Sobimatu
Süsteravim Anidulafungin 0.5 mg/ml
Süsteravim Sodium bicarbonate 84 mg/ml
glükoos 5% 1982
Ühilduv
Süsteravim Anidulafungin 0,77 mg/ml
Süsteravim Sulbactam/durlobactam 15/15 mg/ml
naatriumkloriid 0.9% 4801
Ühilduv
Süsteravim Anidulafungin 0.5 mg/ml
Süsteravim Tacrolimus 20 µg/ml
glükoos 5% 1982
Ühilduv
Süsteravim Anidulafungin 0.77 mg/ml
Süsteravim Tedizolid phosphate 0.8 mg/ml
naatriumkloriid 0.9% 3827
Ühilduv
Süsteravim Anidulafungin 0.5 mg/ml
Süsteravim Ticarcillin / clavulanic acid 31 mg/ml
glükoos 5% 1982
Ühilduv
Süsteravim Anidulafungin 0.5 mg/ml
Süsteravim Tobramycin sulfate 5 mg/ml
glükoos 5% 1982
Ühilduv
Süsteravim Anidulafungin 0.5 mg/ml
Süsteravim Vancomycin hydrochloride 10 mg/ml
glükoos 5% 1982
Ühilduv
Süsteravim Anidulafungin 0.5 mg/ml
Süsteravim Vincristine sulfate 0.05 mg/ml
glükoos 5% 1982
Ühilduv
Süsteravim Anidulafungin 0.5 mg/ml
Süsteravim Voriconazole 4 mg/ml
glükoos 5% 1982
Ühilduv
Süsteravim Anidulafungin
naatriumkloriid 0.9% 3567
Ühilduv
Süsteravim Anidulafungin 0.5 mg/ml
Süsteravim Zidovudine 4 mg/ml
glükoos 5% 1982
Kohene hägusus Sobimatu
Süsteravim Anidulafungin 0.5 mg/ml
NaHCO3 1982

  Mentions Légales