Ostatnia aktualizacja :
12/12/2025
Lek przeciwgrzybiczny   Anidulafungin  
Injekcje
Trwałość roztworów Trwałość w mieszaninie Czynnik wpływający na trwałość Zgodność Sposób podania Bibliografia pdf
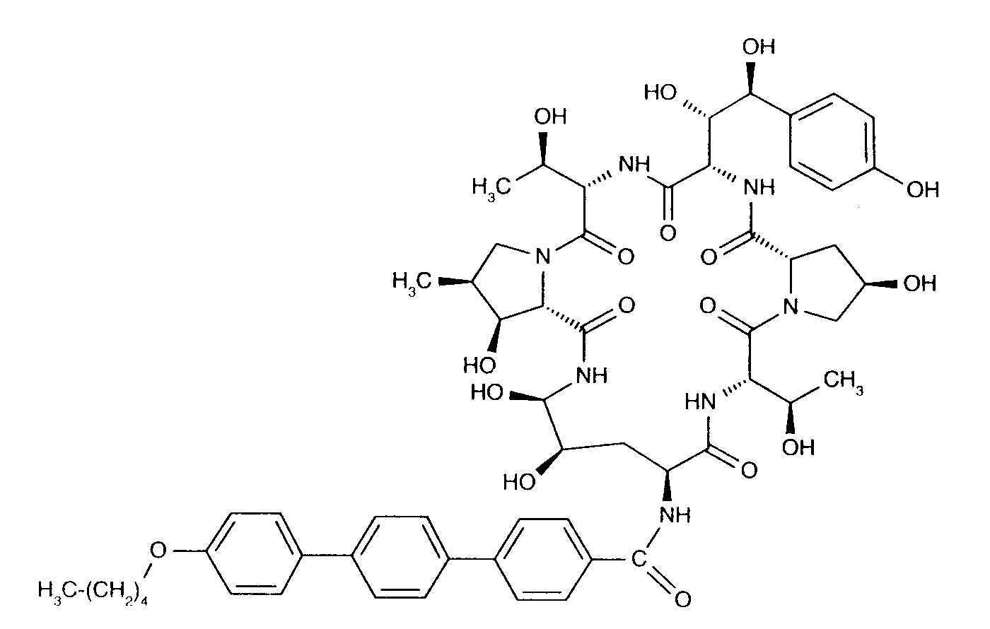
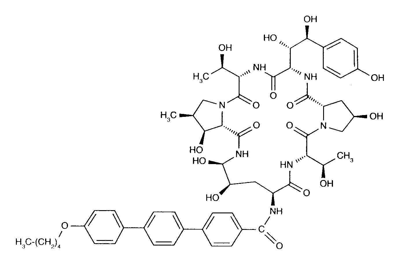
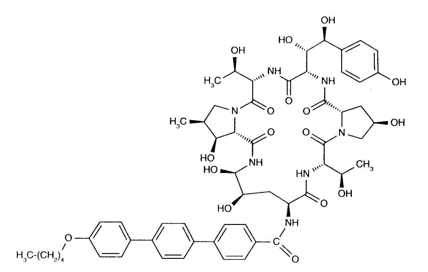
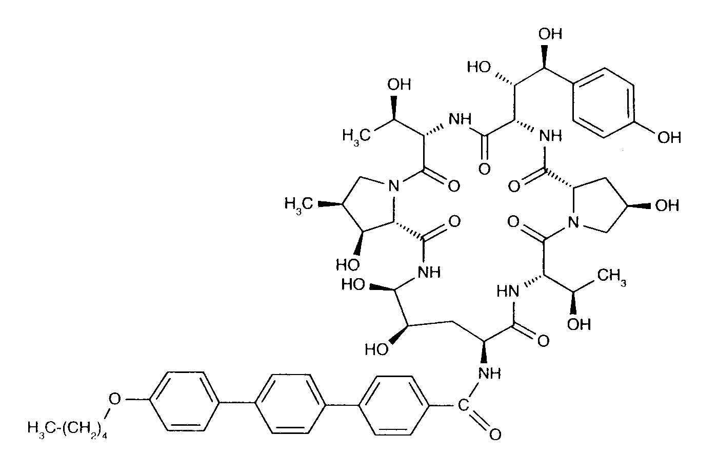
   Struktura chemiczna  

Nazwa handlowa   Nazwa handlowa     

Trade names are indicative and excipients composition can be different depending on the country and manufacturers

Anidulafungin Belgia, Niemcy, Wielka Brytania
Anidulafungina Brazylia, Hiszpania
Ecalta Argentyna, Belgia, Brazylia, Chile, Dania, Finlandia, Francja , Grecja, Hiszpania, Holandia, Kanada, KolumbiaKolumbia, Luksemburg, Malezja, Niemcy, Norwegia, Peru, Polska, Rumunia, Stany Zjednoczone Ameryki, Szwajcaria, Szwecja, Turcja, Węgry, Wenezuela, Wielka Brytania, Włochy
Equalta Meksyk
Eraxis Australia, Kanada, Stany Zjednoczone Ameryki
Fuzig Meksyk
Zgodność   Injekcje   Zgodność : Anidulafungin              
Ekran ten wskazuje na kompatybilności lub niezgodności z, w tym przypadku, rodzajem niezgodności (strącanie, zmiana koloru, modyfikacja emulsji, itp.). Przedstawione tutaj kompatybilności są głównie fizyczne, a stabilność chemiczna każdej cząsteczki jest rzadko oceniana. Ocenę tych mieszanin badano w celu rozważenia możliwości podania pacjentowi w miejscu Y. Dane te nie mogą być wykorzystywane do sporządzania mieszanin z wyprzedzeniem w workach lub strzykawkach. Tego typu informacje są dostępne na ekranie „Stabilność w mieszaninie”.
Związek Rozpuszczalnik Bibliografia
Zgodny
Injekcje Anidulafungin 0.5 mg/ml
Injekcje Aciclovir sodium 7 mg/ml
Glukoza 5% 1982
Zgodny
Injekcje Anidulafungin 0.5 mg/ml
Injekcje Amikacin sulfate 5 mg/ml
Glukoza 5% 1982
Zgodny
Injekcje Anidulafungin 0.5 mg/ml
Injekcje Aminophylline 2.5 mg/ml
Glukoza 5% 1982
Natychmiastowe zmętnienie Niekompatybilny
Injekcje Anidulafungin 0,5 mg/ml
Injekcje Amphotericin B 0,6 mg/ml
Glukoza 5% 1982
Zgodny
Injekcje Anidulafungin 0.5 mg/ml
Injekcje Amphotericin B cholesteryl sulfate complex 1 mg/ml
Glukoza 5% 1982
Zgodny
Injekcje Anidulafungin 0.5 mg/ml
Injekcje Amphotericin B liposomale 1 mg/ml
Glukoza 5% 1982
Zgodny
Injekcje Anidulafungin 0.5 mg/ml
Injekcje Ampicillin sodium 20 mg/ml
Glukoza 5% 1982
Zgodny
Injekcje Anidulafungin 0.5 mg/ml
Injekcje Ampicillin sodium - sulbactam sodium 20/10 mg/ml
Glukoza 5% 1982
Zgodny
Injekcje Anidulafungin 0.5 mg/ml
Injekcje Carboplatin 5 mg/ml
Glukoza 5% 1982
Zgodny
Injekcje Anidulafungin 0.5 mg/ml
Injekcje Cefazolin sodium 20 mg/ml
Glukoza 5% 1982
Zgodny
Injekcje Anidulafungin 0.5 mg/ml
Injekcje Cefepime dihydrochloride 20 mg/ml
Glukoza 5% 1982
Zgodny
Injekcje Anidulafungin 0.77 mg/ml
Injekcje Cefiderocol sulfate tosylate 20 mg/mL
Chlorek sodu 0,9% 4528
Zgodny
Injekcje Anidulafungin 0.77 mg/ml
Injekcje Cefiderocol sulfate tosylate 20 mg/mL
Glukoza 5% 4528
Zgodny
Injekcje Anidulafungin 0.5 mg/ml
Injekcje Cefoxitin sodium 20 mg/ml
Glukoza 5% 1982
Zgodny
Injekcje Anidulafungin 0.5 mg/ml
Injekcje Ceftazidime 40 mg/ml
Glukoza 5% 1982
Zgodny
Injekcje Anidulafungin 0.5 mg/ml
Injekcje Ceftizoxime sodium 20 mg/ml
Glukoza 5% 1982
Zgodny
Injekcje Anidulafungin 0.77 mg/ml
Injekcje Ceftolozane / tazobactam 10/5 mg/ml
Chlorek sodu 0,9% 3828
Zgodny
Injekcje Anidulafungin 0.77 mg/ml
Injekcje Ceftolozane / tazobactam 10/5 mg/ml
Glukoza 5% 3828
Zgodny
Injekcje Anidulafungin 0.5 mg/ml
Injekcje Ceftriaxone disodium 20 mg/ml
Glukoza 5% 1982
Zgodny
Injekcje Anidulafungin 0.5 mg/ml
Injekcje Cefuroxime sodium 30 mg/ml
Glukoza 5% 1982
Zgodny
Injekcje Anidulafungin 0.5 mg/ml
Injekcje Ciclosporin 5 mg/ml
Glukoza 5% 1982
Zgodny
Injekcje Anidulafungin 0.5 mg/ml
Injekcje Cimetidine hydrochloride 12 mg/ml
Glukoza 5% 1982
Zgodny
Injekcje Anidulafungin 0.5 mg/ml
Injekcje Ciprofloxacin lactate 2 mg/ml
Glukoza 5% 1982
Zgodny
Injekcje Anidulafungin 0.5 mg/ml
Injekcje Cisplatin 1 mg/ml
Glukoza 5% 1982
Zgodny
Injekcje Anidulafungin 0.5 mg/ml
Injekcje Clindamycin phosphate 10 mg/ml
Glukoza 5% 1982
Zgodny
Injekcje Anidulafungin 0.5 mg/ml
Injekcje Co-trimoxazole 4/0.8 mg/ml
Glukoza 5% 1982
Zgodny
Injekcje Anidulafungin 0.5 mg/ml
Injekcje Cyclophosphamide 10 mg/ml
Glukoza 5% 1982
Zgodny
Injekcje Anidulafungin 0.5 mg/ml
Injekcje Cytarabine 50 mg/ml
Glukoza 5% 1982
Zgodny
Injekcje Anidulafungin 0.5 mg/ml
Injekcje Daunorubicin hydrochloride 1 mg/ml
Glukoza 5% 1982
Zgodny
Injekcje Anidulafungin 0.5 mg/ml
Injekcje Dexamethasone sodium phosphate 1 mg/ml
Glukoza 5% 1982
Zgodny
Injekcje Anidulafungin 0.5 mg/ml
Injekcje Digoxin 250 µg/ml
Glukoza 5% 1982
Zgodny
Injekcje Anidulafungin 0.5 mg/ml
Injekcje Dobutamine hydrochloride 4 mg/ml
Glukoza 5% 1982
Zgodny
Injekcje Anidulafungin 0.5 mg/ml
Injekcje Docetaxel 2 mg/ml
Glukoza 5% 1982
Zgodny
Injekcje Anidulafungin 0.5 mg/ml
Injekcje Dopamine hydrochloride 3.2 mg/ml
Glukoza 5% 1982
Zgodny
Injekcje Anidulafungin 0,5 mg/ml
Injekcje Doripenem 5 mg/ml
Chlorek sodu 0,9% 2262
Zgodny
Injekcje Anidulafungin 0,5 mg/ml
Injekcje Doripenem 5 mg/ml
Glukoza 5% 2262
Zgodny
Injekcje Anidulafungin 0.5 mg/ml
Injekcje Doxorubicin hydrochloride 2 mg/ml
Glukoza 5% 1982
Zgodny
Injekcje Anidulafungin 0.5 mg/ml
Injekcje Epinephrine hydrochloride 50 µg/ml
Glukoza 5% 1982
Natychmiastowe opady Niekompatybilny
Injekcje Anidulafungin 0.5 mg/ml
Injekcje Ertapenem 20 mg/ml
Glukoza 5% 1982
Zgodny
Injekcje Anidulafungin 0.5 mg/ml
Injekcje Erythromycin lactobionate 5 mg/ml
Glukoza 5% 1982
Zgodny
Injekcje Anidulafungin 0.5 mg/ml
Injekcje Etoposide phosphate 5 mg/ml
Glukoza 5% 1982
Zgodny
Injekcje Anidulafungin 0.5 mg/ml
Injekcje Famotidine 2 mg/ml
Glukoza 5% 1982
Zgodny
Injekcje Anidulafungin 0.5 mg/ml
Injekcje Fentanyl citrate 50 µg/ml
Glukoza 5% 1982
Zgodny
Injekcje Anidulafungin 0.5 mg/ml
Injekcje Fluconazole 2 mg/ml
Glukoza 5% 1982
Zgodny
Injekcje Anidulafungin 0.5 mg/ml
Injekcje Fluorouracil 16 mg/ml
Glukoza 5% 1982
Zgodny
Injekcje Anidulafungin 0.5 mg/ml
Injekcje Folinate calcium 2 mg/ml
Glukoza 5% 1982
Opady po 1 godzinie Niekompatybilny
Injekcje Anidulafungin 0,77 mg/ml
Injekcje Fosfomycin 30 mg/ml
Chlorek sodu 0,9% 4055
Opad po 15 minutach Niekompatybilny
Injekcje Anidulafungin 0,77 mg/ml
Injekcje Fosfomycin 30 mg/ml
Glukoza 5% 4055
Zgodny
Injekcje Anidulafungin 0.5 mg/ml
Injekcje Furosemide 3 mg/ml
Glukoza 5% 1982
Zgodny
Injekcje Anidulafungin 0.5 mg/ml
Injekcje Ganciclovir sodium 20 mg/ml
Glukoza 5% 1982
Zgodny
Injekcje Anidulafungin 0.5 mg/ml
Injekcje Gemcitabine hydrochloride 10 mg/ml
Glukoza 5% 1982
Zgodny
Injekcje Anidulafungin 0.5 mg/ml
Injekcje Gentamicin sulfate 5 mg/ml
Glukoza 5% 1982
Zgodny
Injekcje Anidulafungin 0.5 mg/ml
Injekcje Heparin sodium 100 UI/ml
Glukoza 5% 1982
Zgodny
Injekcje Anidulafungin 0.5 mg/ml
Injekcje Hydrocortisone sodium succinate 1 mg/ml
Glukoza 5% 1982
Zgodny
Injekcje Anidulafungin 0.5 mg/ml
Injekcje Ifosfamide 25 mg/ml
Glukoza 5% 1982
Zgodny
Injekcje Anidulafungin
Glukoza 5% 3567
Zgodny
Injekcje Anidulafungin 0.5 mg/ml
Injekcje Hydromorphone hydrochloride 0.5 mg/ml
Glukoza 5% 1982
Zgodny
Injekcje Anidulafungin 0.5 mg/ml
Injekcje Imipenem - cilastatin sodium 5 mg/ml
Glukoza 5% 1982
Zgodny
Injekcje Anidulafungin 0.77 mg/ml
Injekcje Isavuconazonium sulfate 1.5 mg/ml
Chlorek sodu 0,9% 3829
Zgodny
Injekcje Anidulafungin 0.77 mg/ml
Injekcje Isavuconazonium sulfate 1.5 mg/ml
Glukoza 5% 3829
Zgodny
Injekcje Anidulafungin 0.5 mg/ml
Injekcje Levofloxacine 5 mg/ml
Glukoza 5% 1982
Zgodny
Injekcje Anidulafungin 0.5 mg/ml
Injekcje Linezolid 2 mg/ml
Glukoza 5% 1982
Zgodny
Injekcje Anidulafungin 0.5 mg/ml
Injekcje Meropenem 2.5 mg/ml
Glukoza 5% 1982
Zgodny
Injekcje Anidulafungin 0.5 mg/ml
Injekcje Methylprednisolone sodium succinate 5 mg/ml
Glukoza 5% 1982
Zgodny
Injekcje Anidulafungin 0.5 mg/ml
Injekcje Metronidazole 5 mg/ml
Glukoza 5% 1982
Zgodny
Injekcje Anidulafungin 0.5 mg/ml
Injekcje Midazolam hydrochloride 1 mg/ml
Glukoza 5% 1982
Zgodny
Injekcje Anidulafungin 0.5 mg/ml
Injekcje Morphine sulfate 15 mg/ml
Glukoza 5% 1982
Zgodny
Injekcje Anidulafungin 0.5 mg/ml
Injekcje Mycophenolate mofetil 6 mg/ml
Glukoza 5% 1982
Zgodny
Injekcje Anidulafungin 0.5 mg/ml
Injekcje Paclitaxel 0.6 mg/ml
Glukoza 5% 1982
Zgodny
Injekcje Anidulafungin 0.5 mg/ml
Injekcje Pantoprazole sodium 0.4 mg/ml
Glukoza 5% 1982
Zgodny
Injekcje Anidulafungin 0.5 mg/ml
Injekcje Pethidine hydrochloride 10 mg/ml
Glukoza 5% 1982
Zgodny
Injekcje Anidulafungin 0.5 mg/ml
Injekcje Phenylephrine hydrochloride 1 mg/ml
Glukoza 5% 1982
Zgodny
Injekcje Anidulafungin 0.5 mg/ml
Injekcje Piperacillin sodium / tazobactam 40/5 mg/ml
Glukoza 5% 1982
Zmętnienie w 15 minut Niekompatybilny
Injekcje Anidulafungin 0,77 mg/ml
Injekcje Plazomicin sulfate 24 mg/ml
Chlorek sodu 0,9% 4145
Zgodny
Injekcje Anidulafungin 0.5 mg/ml
Injekcje Potassium chloride 0.1 mEq/l
Glukoza 5% 1982
Zgodny
Injekcje Anidulafungin 0.5 mg/ml
Injekcje Quinupristine/dalfopristine 5 mg/ml
Glukoza 5% 1982
Zgodny
Injekcje Anidulafungin 0.5 mg/ml
Injekcje Ranitidine hydrochloride 2 mg/ml
Glukoza 5% 1982
Natychmiastowe zmętnienie Niekompatybilny
Injekcje Anidulafungin 0.5 mg/ml
Injekcje Sodium bicarbonate 84 mg/ml
Glukoza 5% 1982
Zgodny
Injekcje Anidulafungin 0,77 mg/ml
Injekcje Sulbactam/durlobactam 15/15 mg/ml
Chlorek sodu 0,9% 4801
Zgodny
Injekcje Anidulafungin 0.5 mg/ml
Injekcje Tacrolimus 20 µg/ml
Glukoza 5% 1982
Zgodny
Injekcje Anidulafungin 0.77 mg/ml
Injekcje Tedizolid phosphate 0.8 mg/ml
Chlorek sodu 0,9% 3827
Zgodny
Injekcje Anidulafungin 0.5 mg/ml
Injekcje Ticarcillin / clavulanic acid 31 mg/ml
Glukoza 5% 1982
Zgodny
Injekcje Anidulafungin 0.5 mg/ml
Injekcje Tobramycin sulfate 5 mg/ml
Glukoza 5% 1982
Zgodny
Injekcje Anidulafungin 0.5 mg/ml
Injekcje Vancomycin hydrochloride 10 mg/ml
Glukoza 5% 1982
Zgodny
Injekcje Anidulafungin 0.5 mg/ml
Injekcje Vincristine sulfate 0.05 mg/ml
Glukoza 5% 1982
Zgodny
Injekcje Anidulafungin 0.5 mg/ml
Injekcje Voriconazole 4 mg/ml
Glukoza 5% 1982
Zgodny
Injekcje Anidulafungin
Chlorek sodu 0,9% 3567
Zgodny
Injekcje Anidulafungin 0.5 mg/ml
Injekcje Zidovudine 4 mg/ml
Glukoza 5% 1982
Natychmiastowe zmętnienie Niekompatybilny
Injekcje Anidulafungin 0.5 mg/ml
NaHCO3 1982

  Mentions Légales