Dernière mise à jour :
17/12/2025
Antifongique   Anidulafungin  
injectable
Stabilité des solutions Stabilité en mélange Facteur influençant la stabilité Compatibilités Voie d’administration Bibliographie pdf
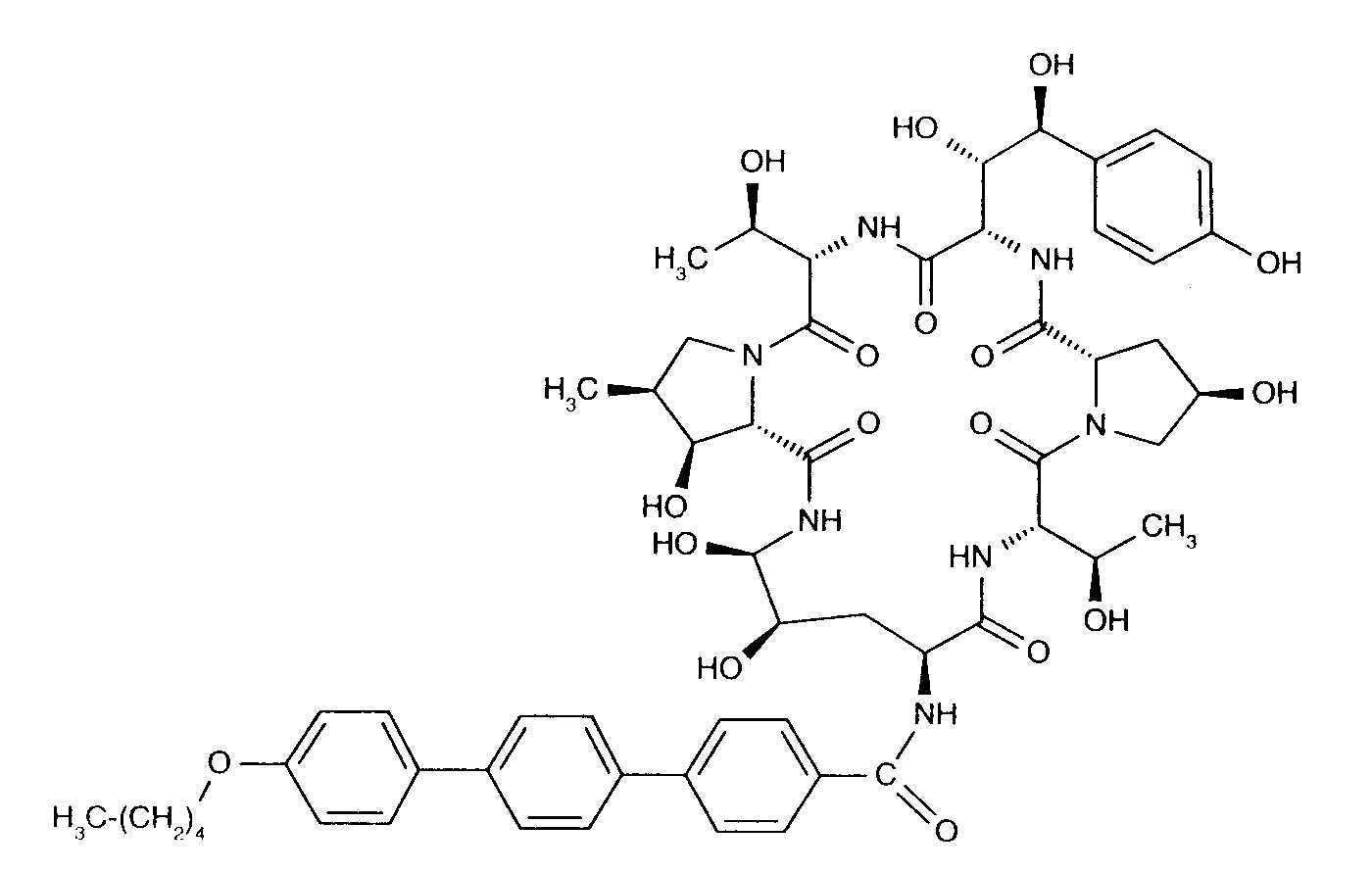
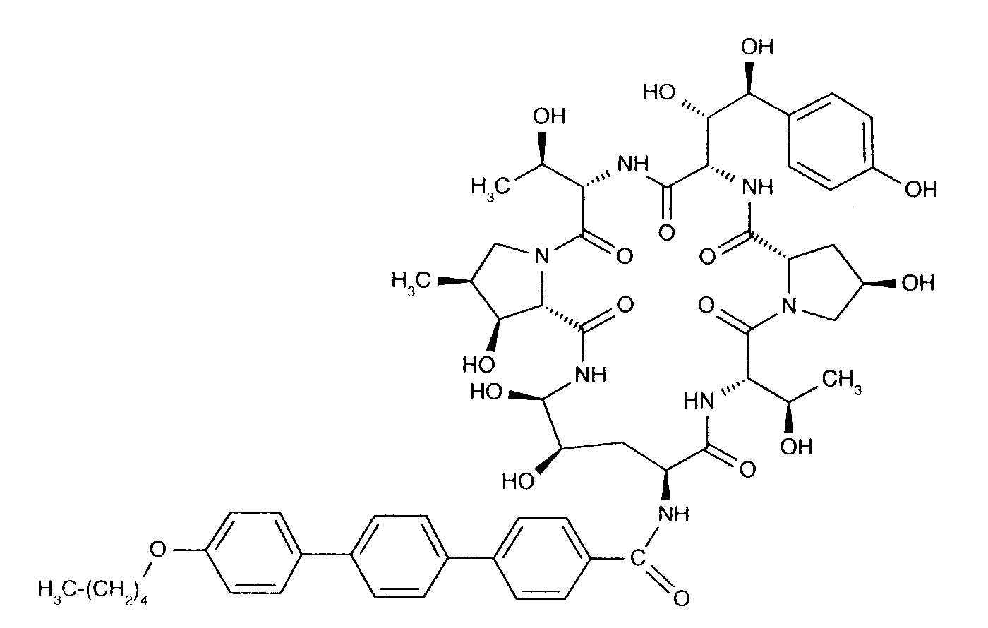
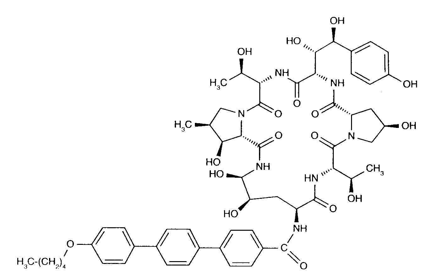
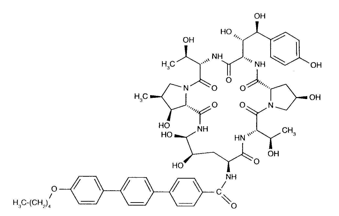
   Structure chimique  

Noms commerciaux   Noms commerciaux     

Les noms commerciaux sont donnés à titre indicatif et la composition en excipients peut être différente selon les pays et selon les laboratoires

Anidulafungin Allemagne, Belgique, Grande Bretagne
Anidulafungina Brésil, Espagne
Ecalta Allemagne, Argentine, Belgique, Brésil, Canada, Chili, Colombie, Danemark, Espagne, Etats Unis d’Amérique, Finlande, France, Grande Bretagne, Grèce, Hongrie, Italie, Luxembourg, Malaisie, Norvège, Pays bas, Pérou, Pologne, Roumanie, Suède, Suisse, Turquie, Vénézuela
Equalta Mexique
Eraxis Australie, Canada, Etats Unis d’Amérique
Fuzig Mexique
Stabilité des solutions   injectable   Stabilité des solutions : Anidulafungin     
Contenant Solvant Concentration Température Conservation Durée de stabilité Bibliographie
Verre Eau pour préparation injectable 3.33 mg/ml 25°C Non précisée
24 Heure
3567
Données de stabilité du fabricant

Non précisé Chlorure de sodium 0,9% 0.77 mg/ml 25°C Non précisée
48 Heure
3567
Données de stabilité du fabricant

Non précisé Glucose 5% 0.77 mg/ml 25°C Non précisée
48 Heure
3567
Données de stabilité du fabricant


  Mentions Légales