Ultimele actualizari :
18/03/2026
Antifungic   Anidulafungin  
Injectabil
Stabilitatea in solutie Stabilitatea in amestec Factorii care influenteaza stabilitatea Compatibilitate Microunde Bibliografie pdf
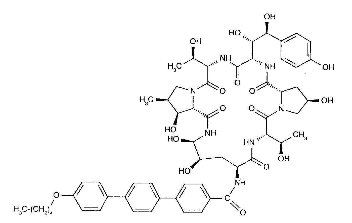
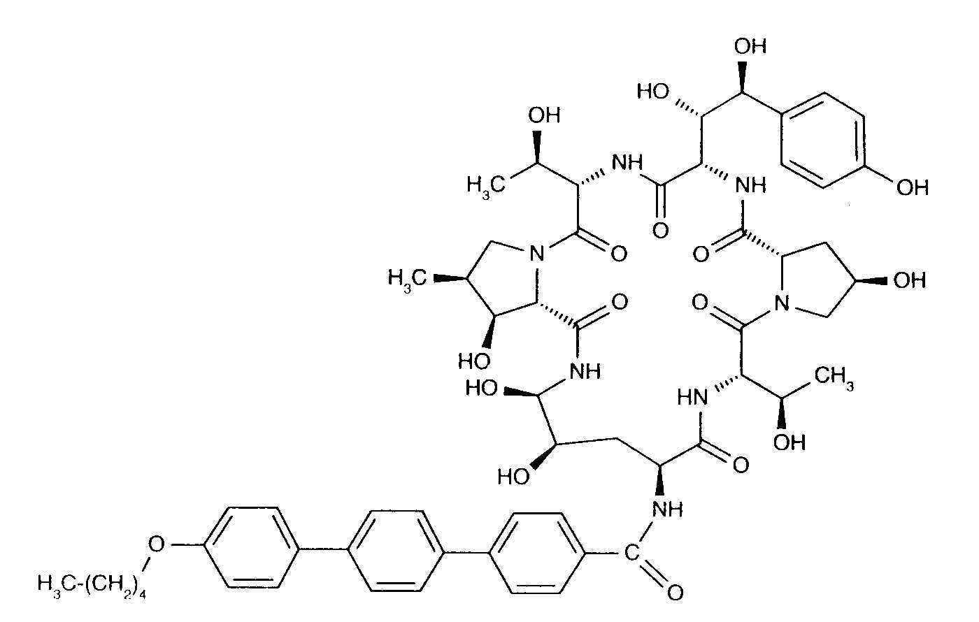
   Formula chimica  

Denumirea comerciala   Denumirea comerciala     

Trade names are indicative and excipients composition can be different depending on the country and manufacturers

Anidulafungin Belgia, Germania, Marea Britanie
Anidulafungina Brazilia, Spania
Ecalta Argentina, Belgia, Brazilia, Canada, Chilli, Columbia, Danemarca, Elvetia, Finlanda, Franta, Germania, Grecia, Italia, Luxemburg, Malaezia, Marea Britanie, Norvegia, Olanda, Peru, Polonia, Romania, Spania, SUA, Suedia, Turcia, Ungaria, Venezuela
Equalta Mexic
Eraxis Australia, Canada, SUA
Fuzig Mexic
Compatibilitate   Injectabil   Compatibilitate : Anidulafungin              
Acest ecran indică compatibilitățile sau incompatibilitățile cu, în acest caz, tipul de incompatibilitate (precipitații, schimbarea culorii, modificarea unei emulsii etc.). Compatibilitățile prezentate aici sunt în mare parte numai fizice, stabilitatea chimică a fiecărei molecule fiind rareori evaluată. Evaluarea acestor amestecuri a fost studiată pentru a lua în considerare posibilitatea administrării site-ului Y la pacient. Aceste date nu pot fi utilizate pentru prepararea în prealabil a amestecurilor în pungi sau seringi. Acest tip de informații este disponibil în ecranul „Stabilitate în amestec».
Molecula (substanta activa) Solvent Bibiografie
Compatibil
Injectabil Anidulafungin 0.5 mg/ml
Injectabil Aciclovir sodium 7 mg/ml
Glucoza 5% 1982
Compatibil
Injectabil Anidulafungin 0.5 mg/ml
Injectabil Amikacin sulfate 5 mg/ml
Glucoza 5% 1982
Compatibil
Injectabil Anidulafungin 0.5 mg/ml
Injectabil Aminophylline 2.5 mg/ml
Glucoza 5% 1982
Turbiditate imediată Incompatibil
Injectabil Anidulafungin 0,5 mg/ml
Injectabil Amphotericin B 0,6 mg/ml
Glucoza 5% 1982
Compatibil
Injectabil Anidulafungin 0.5 mg/ml
Injectabil Amphotericin B cholesteryl sulfate complex 1 mg/ml
Glucoza 5% 1982
Compatibil
Injectabil Anidulafungin 0.5 mg/ml
Injectabil Amphotericin B liposomale 1 mg/ml
Glucoza 5% 1982
Compatibil
Injectabil Anidulafungin 0.5 mg/ml
Injectabil Ampicillin sodium 20 mg/ml
Glucoza 5% 1982
Compatibil
Injectabil Anidulafungin 0.5 mg/ml
Injectabil Ampicillin sodium - sulbactam sodium 20/10 mg/ml
Glucoza 5% 1982
Compatibil
Injectabil Anidulafungin 0.5 mg/ml
Injectabil Carboplatin 5 mg/ml
Glucoza 5% 1982
Compatibil
Injectabil Anidulafungin 0.5 mg/ml
Injectabil Cefazolin sodium 20 mg/ml
Glucoza 5% 1982
Compatibil
Injectabil Anidulafungin 0.5 mg/ml
Injectabil Cefepime dihydrochloride 20 mg/ml
Glucoza 5% 1982
Compatibil
Injectabil Anidulafungin 0.77 mg/ml
Injectabil Cefiderocol sulfate tosylate 20 mg/mL
clorura de sodiu 0,9% 4528
Compatibil
Injectabil Anidulafungin 0.77 mg/ml
Injectabil Cefiderocol sulfate tosylate 20 mg/mL
Glucoza 5% 4528
Compatibil
Injectabil Anidulafungin 0.5 mg/ml
Injectabil Cefoxitin sodium 20 mg/ml
Glucoza 5% 1982
Compatibil
Injectabil Anidulafungin 0.5 mg/ml
Injectabil Ceftazidime 40 mg/ml
Glucoza 5% 1982
Compatibil
Injectabil Anidulafungin 0.5 mg/ml
Injectabil Ceftizoxime sodium 20 mg/ml
Glucoza 5% 1982
Compatibil
Injectabil Anidulafungin 0.77 mg/ml
Injectabil Ceftolozane / tazobactam 10/5 mg/ml
clorura de sodiu 0,9% 3828
Compatibil
Injectabil Anidulafungin 0.77 mg/ml
Injectabil Ceftolozane / tazobactam 10/5 mg/ml
Glucoza 5% 3828
Compatibil
Injectabil Anidulafungin 0.5 mg/ml
Injectabil Ceftriaxone disodium 20 mg/ml
Glucoza 5% 1982
Compatibil
Injectabil Anidulafungin 0.5 mg/ml
Injectabil Cefuroxime sodium 30 mg/ml
Glucoza 5% 1982
Compatibil
Injectabil Anidulafungin 0.5 mg/ml
Injectabil Ciclosporin 5 mg/ml
Glucoza 5% 1982
Compatibil
Injectabil Anidulafungin 0.5 mg/ml
Injectabil Cimetidine hydrochloride 12 mg/ml
Glucoza 5% 1982
Compatibil
Injectabil Anidulafungin 0.5 mg/ml
Injectabil Ciprofloxacin lactate 2 mg/ml
Glucoza 5% 1982
Compatibil
Injectabil Anidulafungin 0.5 mg/ml
Injectabil Cisplatin 1 mg/ml
Glucoza 5% 1982
Compatibil
Injectabil Anidulafungin 0.5 mg/ml
Injectabil Clindamycin phosphate 10 mg/ml
Glucoza 5% 1982
Compatibil
Injectabil Anidulafungin 0.5 mg/ml
Injectabil Co-trimoxazole 4/0.8 mg/ml
Glucoza 5% 1982
Compatibil
Injectabil Anidulafungin 0.5 mg/ml
Injectabil Cyclophosphamide 10 mg/ml
Glucoza 5% 1982
Compatibil
Injectabil Anidulafungin 0.5 mg/ml
Injectabil Cytarabine 50 mg/ml
Glucoza 5% 1982
Compatibil
Injectabil Anidulafungin 0.5 mg/ml
Injectabil Daunorubicin hydrochloride 1 mg/ml
Glucoza 5% 1982
Compatibil
Injectabil Anidulafungin 0.5 mg/ml
Injectabil Dexamethasone sodium phosphate 1 mg/ml
Glucoza 5% 1982
Compatibil
Injectabil Anidulafungin 0.5 mg/ml
Injectabil Digoxin 250 µg/ml
Glucoza 5% 1982
Compatibil
Injectabil Anidulafungin 0.5 mg/ml
Injectabil Dobutamine hydrochloride 4 mg/ml
Glucoza 5% 1982
Compatibil
Injectabil Anidulafungin 0.5 mg/ml
Injectabil Docetaxel 2 mg/ml
Glucoza 5% 1982
Compatibil
Injectabil Anidulafungin 0.5 mg/ml
Injectabil Dopamine hydrochloride 3.2 mg/ml
Glucoza 5% 1982
Compatibil
Injectabil Anidulafungin 0,5 mg/ml
Injectabil Doripenem 5 mg/ml
clorura de sodiu 0,9% 2262
Compatibil
Injectabil Anidulafungin 0,5 mg/ml
Injectabil Doripenem 5 mg/ml
Glucoza 5% 2262
Compatibil
Injectabil Anidulafungin 0.5 mg/ml
Injectabil Doxorubicin hydrochloride 2 mg/ml
Glucoza 5% 1982
Compatibil
Injectabil Anidulafungin 0.5 mg/ml
Injectabil Epinephrine hydrochloride 50 µg/ml
Glucoza 5% 1982
Precipitații imediate Incompatibil
Injectabil Anidulafungin 0.5 mg/ml
Injectabil Ertapenem 20 mg/ml
Glucoza 5% 1982
Compatibil
Injectabil Anidulafungin 0.5 mg/ml
Injectabil Erythromycin lactobionate 5 mg/ml
Glucoza 5% 1982
Compatibil
Injectabil Anidulafungin 0.5 mg/ml
Injectabil Etoposide phosphate 5 mg/ml
Glucoza 5% 1982
Compatibil
Injectabil Anidulafungin 0.5 mg/ml
Injectabil Famotidine 2 mg/ml
Glucoza 5% 1982
Compatibil
Injectabil Anidulafungin 0.5 mg/ml
Injectabil Fentanyl citrate 50 µg/ml
Glucoza 5% 1982
Compatibil
Injectabil Anidulafungin 0.5 mg/ml
Injectabil Fluconazole 2 mg/ml
Glucoza 5% 1982
Compatibil
Injectabil Anidulafungin 0.5 mg/ml
Injectabil Fluorouracil 16 mg/ml
Glucoza 5% 1982
Compatibil
Injectabil Anidulafungin 0.5 mg/ml
Injectabil Folinate calcium 2 mg/ml
Glucoza 5% 1982
Precipitații după 1 oră Incompatibil
Injectabil Anidulafungin 0,77 mg/ml
Injectabil Fosfomycin 30 mg/ml
clorura de sodiu 0,9% 4055
Precipitații după 15 minute Incompatibil
Injectabil Anidulafungin 0,77 mg/ml
Injectabil Fosfomycin 30 mg/ml
Glucoza 5% 4055
Compatibil
Injectabil Anidulafungin 0.5 mg/ml
Injectabil Furosemide 3 mg/ml
Glucoza 5% 1982
Compatibil
Injectabil Anidulafungin 0.5 mg/ml
Injectabil Ganciclovir sodium 20 mg/ml
Glucoza 5% 1982
Compatibil
Injectabil Anidulafungin 0.5 mg/ml
Injectabil Gemcitabine hydrochloride 10 mg/ml
Glucoza 5% 1982
Compatibil
Injectabil Anidulafungin 0.5 mg/ml
Injectabil Gentamicin sulfate 5 mg/ml
Glucoza 5% 1982
Compatibil
Injectabil Anidulafungin 0.5 mg/ml
Injectabil Heparin sodium 100 UI/ml
Glucoza 5% 1982
Compatibil
Injectabil Anidulafungin 0.5 mg/ml
Injectabil Hydrocortisone sodium succinate 1 mg/ml
Glucoza 5% 1982
Compatibil
Injectabil Anidulafungin 0.5 mg/ml
Injectabil Ifosfamide 25 mg/ml
Glucoza 5% 1982
Compatibil
Injectabil Anidulafungin
Glucoza 5% 3567
Compatibil
Injectabil Anidulafungin 0.5 mg/ml
Injectabil Hydromorphone hydrochloride 0.5 mg/ml
Glucoza 5% 1982
Compatibil
Injectabil Anidulafungin 0.5 mg/ml
Injectabil Imipenem - cilastatin sodium 5 mg/ml
Glucoza 5% 1982
Compatibil
Injectabil Anidulafungin 0.77 mg/ml
Injectabil Isavuconazonium sulfate 1.5 mg/ml
clorura de sodiu 0,9% 3829
Compatibil
Injectabil Anidulafungin 0.77 mg/ml
Injectabil Isavuconazonium sulfate 1.5 mg/ml
Glucoza 5% 3829
Compatibil
Injectabil Anidulafungin 0.5 mg/ml
Injectabil Levofloxacine 5 mg/ml
Glucoza 5% 1982
Compatibil
Injectabil Anidulafungin 0.5 mg/ml
Injectabil Linezolid 2 mg/ml
Glucoza 5% 1982
Compatibil
Injectabil Anidulafungin 0.5 mg/ml
Injectabil Meropenem 2.5 mg/ml
Glucoza 5% 1982
Compatibil
Injectabil Anidulafungin 0.5 mg/ml
Injectabil Methylprednisolone sodium succinate 5 mg/ml
Glucoza 5% 1982
Compatibil
Injectabil Anidulafungin 0.5 mg/ml
Injectabil Metronidazole 5 mg/ml
Glucoza 5% 1982
Compatibil
Injectabil Anidulafungin 0.5 mg/ml
Injectabil Midazolam hydrochloride 1 mg/ml
Glucoza 5% 1982
Compatibil
Injectabil Anidulafungin 0.5 mg/ml
Injectabil Morphine sulfate 15 mg/ml
Glucoza 5% 1982
Compatibil
Injectabil Anidulafungin 0.5 mg/ml
Injectabil Mycophenolate mofetil 6 mg/ml
Glucoza 5% 1982
Compatibil
Injectabil Anidulafungin 0.5 mg/ml
Injectabil Paclitaxel 0.6 mg/ml
Glucoza 5% 1982
Compatibil
Injectabil Anidulafungin 0.5 mg/ml
Injectabil Pantoprazole sodium 0.4 mg/ml
Glucoza 5% 1982
Compatibil
Injectabil Anidulafungin 0.5 mg/ml
Injectabil Pethidine hydrochloride 10 mg/ml
Glucoza 5% 1982
Compatibil
Injectabil Anidulafungin 0.5 mg/ml
Injectabil Phenylephrine hydrochloride 1 mg/ml
Glucoza 5% 1982
Compatibil
Injectabil Anidulafungin 0.5 mg/ml
Injectabil Piperacillin sodium / tazobactam 40/5 mg/ml
Glucoza 5% 1982
Turbiditate în 15 minute Incompatibil
Injectabil Anidulafungin 0,77 mg/ml
Injectabil Plazomicin sulfate 24 mg/ml
clorura de sodiu 0,9% 4145
Compatibil
Injectabil Anidulafungin 0.5 mg/ml
Injectabil Potassium chloride 0.1 mEq/l
Glucoza 5% 1982
Compatibil
Injectabil Anidulafungin 0.5 mg/ml
Injectabil Quinupristine/dalfopristine 5 mg/ml
Glucoza 5% 1982
Compatibil
Injectabil Anidulafungin 0.5 mg/ml
Injectabil Ranitidine hydrochloride 2 mg/ml
Glucoza 5% 1982
Turbiditate imediată Incompatibil
Injectabil Anidulafungin 0.5 mg/ml
Injectabil Sodium bicarbonate 84 mg/ml
Glucoza 5% 1982
Compatibil
Injectabil Anidulafungin 0,77 mg/ml
Injectabil Sulbactam/durlobactam 15/15 mg/ml
clorura de sodiu 0,9% 4801
Compatibil
Injectabil Anidulafungin 0.5 mg/ml
Injectabil Tacrolimus 20 µg/ml
Glucoza 5% 1982
Compatibil
Injectabil Anidulafungin 0.77 mg/ml
Injectabil Tedizolid phosphate 0.8 mg/ml
clorura de sodiu 0,9% 3827
Compatibil
Injectabil Anidulafungin 0.5 mg/ml
Injectabil Ticarcillin / clavulanic acid 31 mg/ml
Glucoza 5% 1982
Compatibil
Injectabil Anidulafungin 0.5 mg/ml
Injectabil Tobramycin sulfate 5 mg/ml
Glucoza 5% 1982
Compatibil
Injectabil Anidulafungin 0.5 mg/ml
Injectabil Vancomycin hydrochloride 10 mg/ml
Glucoza 5% 1982
Compatibil
Injectabil Anidulafungin 0.5 mg/ml
Injectabil Vincristine sulfate 0.05 mg/ml
Glucoza 5% 1982
Compatibil
Injectabil Anidulafungin 0.5 mg/ml
Injectabil Voriconazole 4 mg/ml
Glucoza 5% 1982
Compatibil
Injectabil Anidulafungin
clorura de sodiu 0,9% 3567
Compatibil
Injectabil Anidulafungin 0.5 mg/ml
Injectabil Zidovudine 4 mg/ml
Glucoza 5% 1982
Turbiditate imediată Incompatibil
Injectabil Anidulafungin 0.5 mg/ml
NaHCO3 1982

  Mentions Légales