Cập nhật lần cuối :
18/03/2026
Kháng sinh   Erythromycin lactobionate  
Dạng tiêm
Tính ổn định của các dung dịch Độ ổn định khi trộn lẫn Những yếu tố ảnh hưởng đến độ ổn định Khả năng tương thích Đường dùng Tài liệu tham khảo Pdf
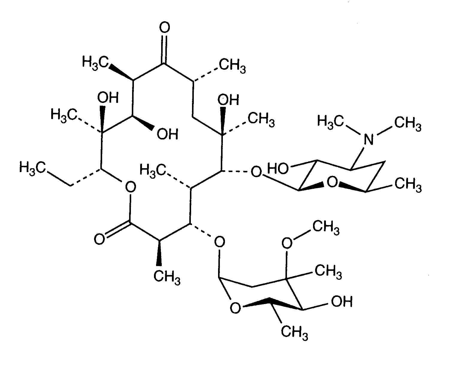
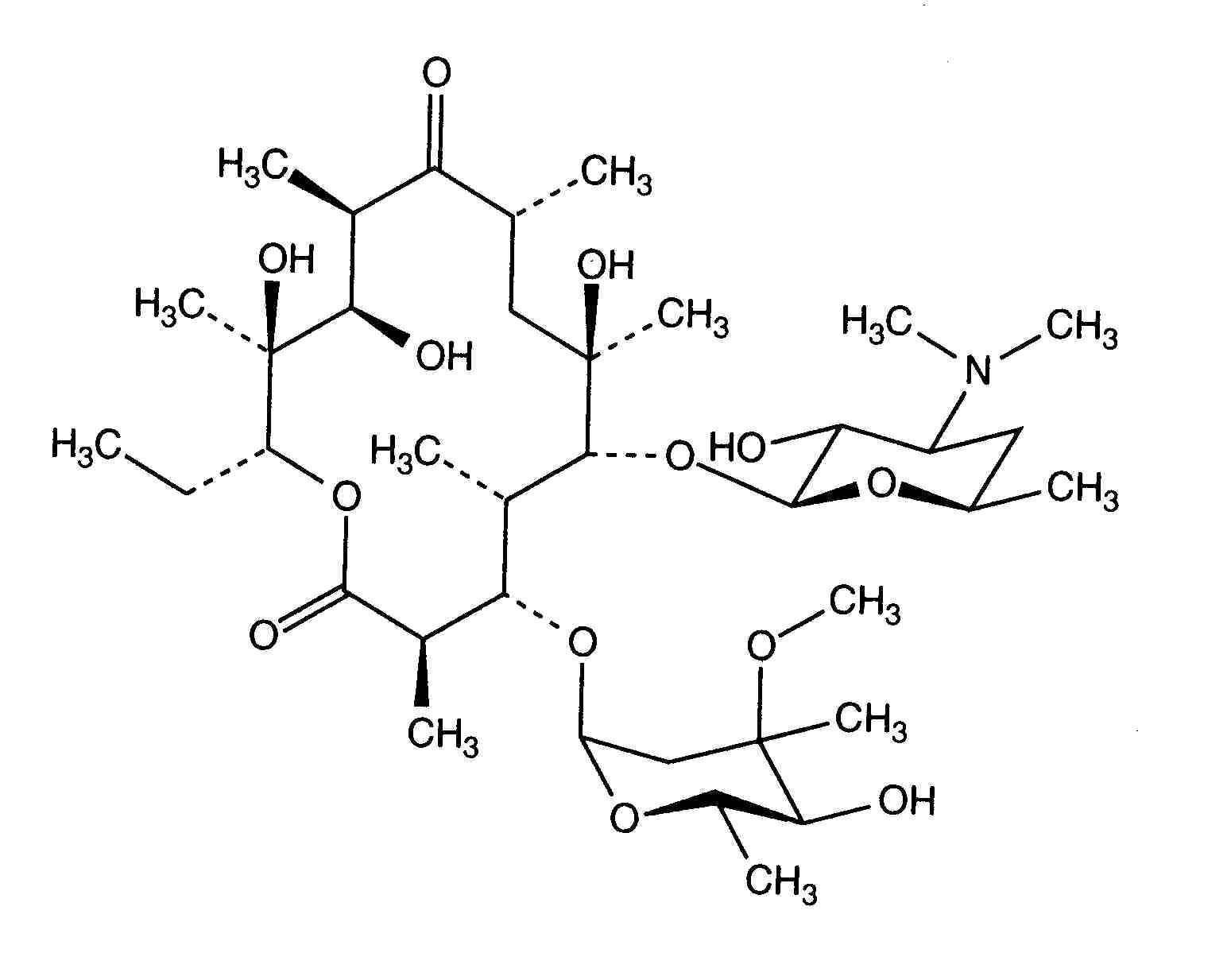
   Cấu trúc hóa học  

Tên thương mại   Tên thương mại     

Các tên thương mại được cung cấp và thành phần tá dược có thể khác nhau giữa các quốc gia và các hãng dược

Abboticin Na Uy, Phần Lan, Thụy Điển, Đan Mạch
Eristin Argentina
Erithromicina Chile
Erycinum Đức
Erythrocin Ả Rập Saudi, Anh, Áo, Canada, Hoa Kỳ, Ireland, new zealand, Úc, Đức
Erythrocin lactobionat ADD Vantage Áo, Úc
Erythrocine Bỉ, Hà Lan, Luxembourg, Pháp, Tunisia
Erythromycin Ả Rập Saudi, Anh, Hoa Kỳ, Hungary, Đức
Erythromycine Luxembourg
Erythromycinum Ba Lan
Pantomicina Chile, Tây Ban Nha
Khả năng tương thích   Dạng tiêm   Khả năng tương thích : Erythromycin lactobionate              
Màn hình này cho biết khả năng tương thích hoặc không tương thích, trong trường hợp này là loại không tương thích (kết tủa, thay đổi màu sắc, sửa đổi nhũ tương, v.v.). Sự tương hợp được chỉ ra ở đây chủ yếu chỉ là vật lý, với độ ổn định hóa học của mỗi phân tử hiếm khi được đánh giá. Việc đánh giá các hỗn hợp này được nghiên cứu để xem xét khả năng sử dụng vị trí Y cho bệnh nhân. Những dữ liệu này không thể được sử dụng để tạo hỗn hợp trước trong túi hoặc ống tiêm. Loại thông tin này có sẵn trong màn hình "Độ ổn định trong hỗn hợp».
Phân tử Dung môi Mục lục
Tương thích
Dạng tiêm Erythromycin lactobionate 4 mg/ml
Dạng tiêm Aciclovir sodium 5 mg/ml
Glucose 5% 336
Không tương thích không xác định Không tương thích
Dạng tiêm Erythromycin lactobionate
Dạng tiêm Amikacin sulfate
3674
Không tương thích không xác định Không tương thích
Dạng tiêm Erythromycin lactobionate
Dạng tiêm Amikacin sulfate
3549
Không tương thích không xác định Không tương thích
Dạng tiêm Erythromycin lactobionate
Dạng tiêm Aminophylline
3674
Tương thích
Dạng tiêm Erythromycin lactobionate 2 mg/ml
Dạng tiêm Amiodarone hydrochloride 4 mg/ml
NaCl 0,9% 385
Tương thích
Dạng tiêm Erythromycin lactobionate 2 mg/ml
Dạng tiêm Amiodarone hydrochloride 4 mg/ml
Glucose 5% 385
Không tương thích không xác định Không tương thích
Dạng tiêm Erythromycin lactobionate
Dạng tiêm Amobarbital sodium
3674
Không tương thích không xác định Không tương thích
Dạng tiêm Erythromycin lactobionate
Dạng tiêm Amoxicillin sodium
3674
Lượng mưa ngay lập tức Không tương thích
Dạng tiêm Erythromycin lactobionate 50 mg/ml
Dạng tiêm Amoxicillin sodium / clavulanic acid 100/10 mg/ml
3824
Không tương thích không xác định Không tương thích
Dạng tiêm Erythromycin lactobionate
Dạng tiêm Amoxicillin sodium / clavulanic acid
3674
Không tương thích không xác định Không tương thích
Dạng tiêm Erythromycin lactobionate
Dạng tiêm Ampicillin sodium
3674
Không tương thích không xác định Không tương thích
Dạng tiêm Erythromycin lactobionate
Dạng tiêm Ampicillin sodium - sulbactam sodium
3674
Tương thích
Dạng tiêm Erythromycin lactobionate 5 mg/ml
Dạng tiêm Anidulafungin 0.5 mg/ml
Glucose 5% 1982
Không tương thích không xác định Không tương thích
Dạng tiêm Erythromycin lactobionate
Dạng tiêm Ascorbic acid
5089
Không tương thích không xác định Không tương thích
Dạng tiêm Erythromycin lactobionate
Dạng tiêm Ascorbic acid
3674
Không tương thích không xác định Không tương thích
Dạng tiêm Erythromycin lactobionate
Dạng tiêm Aztreonam
3674
Tương thích
Dạng tiêm Erythromycin lactobionate 5 mg/ml
Dạng tiêm Bivalirudin 5 mg/ml
Glucose 5% 1713
Tương thích
Dạng tiêm Erythromycin lactobionate
NaCl 0,9% 3674
Lượng mưa ngay lập tức Không tương thích
Dạng tiêm Erythromycin lactobionate 50 mg/ml
Dạng tiêm Caffeine 10 mg/ml
Không 3964
Không tương thích không xác định Không tương thích
Dạng tiêm Erythromycin lactobionate
Dạng tiêm Cefalotin sodium
3674
Không tương thích không xác định Không tương thích
Dạng tiêm Erythromycin lactobionate
Dạng tiêm Cefamandole nafate
3674
Không tương thích không xác định Không tương thích
Dạng tiêm Erythromycin lactobionate
Dạng tiêm Cefazolin sodium
3674
Độ đục trong một giờ Không tương thích
Dạng tiêm Erythromycin lactobionate 20 mg/ml
Dạng tiêm Cefazolin sodium 220 mg/ml
805
Không tương thích không xác định Không tương thích
Dạng tiêm Erythromycin lactobionate
Dạng tiêm Cefepime dihydrochloride
3674
Không ổn định hóa học Không tương thích
Dạng tiêm Erythromycin lactobionate 5 mg/ml
Dạng tiêm Cefepime dihydrochloride 125 mg/ml
Nước cất pha tiêm 2141
Không tương thích không xác định Không tương thích
Dạng tiêm Erythromycin lactobionate
Dạng tiêm Cefmenoxime
3674
Không tương thích không xác định Không tương thích
Dạng tiêm Erythromycin lactobionate
Dạng tiêm Cefmetazole sodium
3674
Lượng mưa ngay lập tức Không tương thích
Dạng tiêm Erythromycin lactobionate 10 & 50 mg/ml
Dạng tiêm Cefmetazole sodium 100 mg/ml
Nước cất pha tiêm 93
Không tương thích không xác định Không tương thích
Dạng tiêm Erythromycin lactobionate
Dạng tiêm Cefonicid sodium
3674
Không tương thích không xác định Không tương thích
Dạng tiêm Erythromycin lactobionate
Dạng tiêm Cefoperazone sodium
3674
Không tương thích không xác định Không tương thích
Dạng tiêm Erythromycin lactobionate
Dạng tiêm Ceforanide
3674
Không tương thích không xác định Không tương thích
Dạng tiêm Erythromycin lactobionate
Dạng tiêm Cefotaxime sodium
3674
Không tương thích không xác định Không tương thích
Dạng tiêm Erythromycin lactobionate
Dạng tiêm Cefoxitin sodium
3674
Không tương thích không xác định Không tương thích
Dạng tiêm Erythromycin lactobionate
Dạng tiêm Cefpirome sulfate
3674
Không tương thích không xác định Không tương thích
Dạng tiêm Erythromycin lactobionate
Dạng tiêm Ceftaroline fosamil
3674
Lượng mưa ngay lập tức Không tương thích
Dạng tiêm Erythromycin lactobionate 5 mg/ml
Dạng tiêm Ceftazidime 125 mg/ml
Nước cất pha tiêm 2141
Không tương thích không xác định Không tương thích
Dạng tiêm Erythromycin lactobionate
Dạng tiêm Ceftazidime
3674
Lượng mưa ngay lập tức Không tương thích
Dạng tiêm Erythromycin lactobionate 10 & 50 mg/ml
Dạng tiêm Ceftazidime 83.3 mg/ml
1759
Không tương thích không xác định Không tương thích
Dạng tiêm Erythromycin lactobionate
Dạng tiêm Ceftazidime Avibactam
3674
Không tương thích không xác định Không tương thích
Dạng tiêm Erythromycin lactobionate
Dạng tiêm Ceftizoxime sodium
3674
Không tương thích không xác định Không tương thích
Dạng tiêm Erythromycin lactobionate
Dạng tiêm Ceftobiprole medocaril sodium
3674
Không tương thích không xác định Không tương thích
Dạng tiêm Erythromycin lactobionate
Dạng tiêm Ceftolozane / tazobactam
3674
Không tương thích không xác định Không tương thích
Dạng tiêm Erythromycin lactobionate
Dạng tiêm Ceftriaxone disodium
3674
Không tương thích không xác định Không tương thích
Dạng tiêm Erythromycin lactobionate
Dạng tiêm Cefuroxime sodium
3674
Không tương thích không xác định Không tương thích
Dạng tiêm Erythromycin lactobionate
Dạng tiêm Cefuzonam
3674
Không tương thích không xác định Không tương thích
Dạng tiêm Erythromycin lactobionate
Dạng tiêm Chloramphenicol sodium succinate
3674
Không tương thích không xác định Không tương thích
Dạng tiêm Erythromycin lactobionate
Dạng tiêm Chlorpromazine hydrochloride
3674
Tương thích
Dạng tiêm Erythromycin lactobionate 5 & 50 mg/ml
Dạng tiêm Diltiazem hydrochloride 5 mg/ml
NaCl 0,9% 198
Không tương thích không xác định Không tương thích
Dạng tiêm Erythromycin lactobionate
Dạng tiêm Doripenem
3674
Tương thích
Dạng tiêm Erythromycin lactobionate 10 mg/ml
Dinh dưỡng đường tĩnh mạch (hỗn hợp 2 thành phần) 939
Tương thích
Dạng tiêm Erythromycin lactobionate 5 mg/ml
Dạng tiêm Cimetidine hydrochloride 3 mg/ml
NaCl 0,9% 1201
Lượng mưa ngay lập tức Không tương thích
Dạng tiêm Erythromycin lactobionate 50 mg/ml
Dạng tiêm Cloxacillin sodium 100 mg/ml
Nước cất pha tiêm 3012
Không tương thích không xác định Không tương thích
Dạng tiêm Erythromycin lactobionate
Dạng tiêm Cloxacillin sodium
3674
Không tương thích không xác định Không tương thích
Dạng tiêm Erythromycin lactobionate
Dạng tiêm Colistin mesilate sodium
3674
Tương thích
Dạng tiêm Erythromycin lactobionate 5 mg/ml
Dạng tiêm Dexmedetomidine 4 µg/ml
NaCl 0,9% 1712
Tương thích
Dạng tiêm Erythromycin lactobionate 5 mg/ml
Dạng tiêm Doxapram hydrochloride 2 mg/ml
Glucose 5% 1802
Không tương thích không xác định Không tương thích
Dạng tiêm Erythromycin lactobionate
Dạng tiêm Doxycycline hyclate
3674
Tương thích
Dạng tiêm Erythromycin lactobionate 5 mg/ml
Dạng tiêm Enalaprilate 0.05 mg/ml
NaCl 0,9% 1315
Không tương thích không xác định Không tương thích
Dạng tiêm Erythromycin lactobionate
Dạng tiêm Ertapenem
3674
Tương thích
Dạng tiêm Erythromycin lactobionate 5 mg/ml
Dạng tiêm Esmolol hydrochloride 10 mg/ml
Glucose 5% 384
Tương thích
Dạng tiêm Erythromycin lactobionate 2 mg/ml
Dạng tiêm Famotidine
Glucose 5% 397
Tương thích
Dạng tiêm Erythromycin lactobionate
Glucose 5% 3674
Tương thích
Dạng tiêm Erythromycin lactobionate 5 mg/ml
Dạng tiêm Fenoldopam mesylate 80 µg/ml
NaCl 0,9% 1803
Không tương thích không xác định Không tương thích
Dạng tiêm Erythromycin lactobionate
Dạng tiêm Flucloxacillin sodium
3674
Lượng mưa ngay lập tức Không tương thích
Dạng tiêm Erythromycin lactobionate 5 mg/ml
Dạng tiêm Flucloxacillin sodium 20 mg/ml
NaCl 0,9% 1232
Lượng mưa ngay lập tức Không tương thích
Dạng tiêm Erythromycin lactobionate 20 mg/ml
Dạng tiêm Fluconazole 2 mg/ml
NaCl 0,9% 496
Tương thích
Dạng tiêm Erythromycin lactobionate 20 mg/ml
Dạng tiêm Foscarnet sodium 24 mg/ml
NaCl 0,9% 1135
Tương thích
Dạng tiêm Erythromycin lactobionate 20 mg/ml
Dạng tiêm Foscarnet sodium 24 mg/ml
Không 73
Lượng mưa ngay lập tức Không tương thích
Dạng tiêm Erythromycin lactobionate 5 mg/ml
Dạng tiêm Furosemide 1 mg/ml
NaCl 0,9% 1232
Không tương thích không xác định Không tương thích
Dạng tiêm Erythromycin lactobionate
Dạng tiêm Gentamicin sulfate
3643
Không tương thích không xác định Không tương thích
Dạng tiêm Erythromycin lactobionate
Dạng tiêm Gentamicin sulfate
3520
Không tương thích không xác định Không tương thích
Dạng tiêm Erythromycin lactobionate
Dạng tiêm Gentamicin sulfate
3674
Không tương thích không xác định Không tương thích
Dạng tiêm Erythromycin lactobionate
Dạng tiêm Heparin sodium
3674
Tương thích
Dạng tiêm Erythromycin lactobionate 50 mg/ml
Dung dịch Ringer’s lactate 4603
Tương thích
Dạng tiêm Erythromycin lactobionate 3.3 mg/ml
Dạng tiêm Heparin sodium 50 UI/ml
Không 317
Tương thích
Dạng tiêm Erythromycin lactobionate 50 mg/ml
Dinh dưỡng đường tĩnh mạch (hỗn hợp 2 thành phần) 999
Không tương thích không xác định Không tương thích
Dạng tiêm Erythromycin lactobionate
Dạng tiêm Heparin sodium
3540
Tương thích
Dạng tiêm Erythromycin lactobionate 5 mg/ml
Dạng tiêm Hetastarch 60 mg/ml
dung môi cụ thể 1721
Tương thích
Dạng tiêm Erythromycin lactobionate 5 mg/ml
Dạng tiêm Hydromorphone hydrochloride 0.2 mg/ml
Glucose 5% 405
Tương thích
Dạng tiêm Erythromycin lactobionate 2 mg/ml
Dạng tiêm Idarubicin hydrochloride 1 mg/ml
NaCl 0,9% 491
Không tương thích không xác định Không tương thích
Dạng tiêm Erythromycin lactobionate
Dạng tiêm Imipenem - cilastatin sodium
3674
Không tương thích không xác định Không tương thích
Dạng tiêm Erythromycin lactobionate
Dạng tiêm Kanamycin sulfate
3674
Tương thích
Dạng tiêm Erythromycin lactobionate 5 mg/ml
Dạng tiêm Labetalol hydrochloride 1 mg/ml
Glucose 5% 386
Không tương thích không xác định Không tương thích
Dạng tiêm Erythromycin lactobionate
Dạng tiêm Levomepromazine
3674
Không ổn định hóa học Không tương thích
Dạng tiêm Erythromycin lactobionate 5 mg/ml
Dạng tiêm Linezolid 2 mg/ml
Không 1607
Không tương thích không xác định Không tương thích
Dạng tiêm Erythromycin lactobionate
Dạng tiêm Linezolid
3560
Tương thích
Dạng tiêm Erythromycin lactobionate 5 mg/ml
Dạng tiêm Linezolid 2 mg/ml
Không 1925
Tương thích
Dạng tiêm Erythromycin lactobionate 5 mg/ml
Dạng tiêm Lorazepam 0.33 mg/ml
NaCl 0,9% 186
Tương thích
Dạng tiêm Erythromycin lactobionate 5 mg/ml
Dạng tiêm Magnesium sulfate 16.67 >> 100 mg/ml
Glucose 5% 1047
Tương thích
Dạng tiêm Erythromycin lactobionate 50 mg/ml
Dạng tiêm Meropenem 50 mg/ml
Nước cất pha tiêm 4319
Không tương thích không xác định Không tương thích
Dạng tiêm Erythromycin lactobionate
Dạng tiêm Meropenem
3674
Không tương thích không xác định Không tương thích
Dạng tiêm Erythromycin lactobionate
Dạng tiêm Mesna
3602
Không tương thích không xác định Không tương thích
Dạng tiêm Erythromycin lactobionate
Dạng tiêm Metaraminol
5046
Không tương thích không xác định Không tương thích
Dạng tiêm Erythromycin lactobionate
Dạng tiêm Methohexital sodium
3674
Tương thích
Dạng tiêm Erythromycin lactobionate 5 mg/ml
Dạng tiêm Midazolam hydrochloride 5 mg/ml
Không 186
Không tương thích không xác định Không tương thích
Dạng tiêm Erythromycin lactobionate
Dạng tiêm Minocycline hydrochloride
3674
Tương thích
Dạng tiêm Erythromycin lactobionate 5 mg/ml
Dạng tiêm Morphine sulfate 1 mg/ml
Glucose 5% 405
Không tương thích không xác định Không tương thích
Dạng tiêm Erythromycin lactobionate
Dạng tiêm Moxalactam
3674
Không tương thích không xác định Không tương thích
Dạng tiêm Erythromycin lactobionate
Dạng tiêm N-acetylcysteine 200 mg/ml
Không 3766
Không tương thích không xác định Không tương thích
Dạng tiêm Erythromycin lactobionate
Dạng tiêm Nafcillin sodium
3674
Tương thích
Dạng tiêm Erythromycin lactobionate 50 mg/ml
Dạng tiêm Naloxone hydrochloride 0.4 mg/ml
Không 3408
Không tương thích không xác định Không tương thích
Dạng tiêm Erythromycin lactobionate
Dạng tiêm Netilmicin sulfate
3674
Tương thích
Dạng tiêm Erythromycin lactobionate 5 mg/ml
Dạng tiêm Nicardipine hydrochloride 0.1 mg/ml
NaCl 0,9% 1490
Tương thích
Dạng tiêm Erythromycin lactobionate 5 mg/ml
Dạng tiêm Nicardipine hydrochloride 0.1 mg/ml
Glucose 5% 1490
Không tương thích không xác định Không tương thích
Dạng tiêm Erythromycin lactobionate
Dạng tiêm Oxacillin sodium
3674
Không tương thích không xác định Không tương thích
Dạng tiêm Erythromycin lactobionate
Dạng tiêm Oxytetracycline hydrochloride
3674
Tương thích
Dạng tiêm Erythromycin lactobionate 50 mg/ml
Dạng tiêm Paracetamol 10 mg/ml
4742
Không tương thích không xác định Không tương thích
Dạng tiêm Erythromycin lactobionate
Dạng tiêm Penicillin G potassium
3674
Không tương thích không xác định Không tương thích
Dạng tiêm Erythromycin lactobionate
Dạng tiêm Penicillin G sodium
3674
Không tương thích không xác định Không tương thích
Dạng tiêm Erythromycin lactobionate
Dạng tiêm Pentobarbital sodium
3674
Tương thích
Dạng tiêm Erythromycin lactobionate 5 mg/ml
Dạng tiêm Pethidine hydrochloride 10 mg/ml
Glucose 5% 405
Không tương thích không xác định Không tương thích
Dạng tiêm Erythromycin lactobionate
Dạng tiêm Phenobarbital sodium
3674
Không tương thích không xác định Không tương thích
Dạng tiêm Erythromycin lactobionate
Dạng tiêm Phenytoin sodium
3674
Không tương thích không xác định Không tương thích
Dạng tiêm Erythromycin lactobionate
Dạng tiêm Piperacillin sodium
3674
Không tương thích không xác định Không tương thích
Dạng tiêm Erythromycin lactobionate
Dạng tiêm Piperacillin sodium / tazobactam
3674
Không tương thích không xác định Không tương thích
Dạng tiêm Erythromycin lactobionate
Dạng tiêm Plazomicin sulfate
3674
Không tương thích không xác định Không tương thích
Dạng tiêm Erythromycin lactobionate
Dạng tiêm Prochlorperazine edysilate
3674
Không tương thích không xác định Không tương thích
Dạng tiêm Erythromycin lactobionate
Dạng tiêm Promethazine hydrochloride
3674
Không tương thích không xác định Không tương thích
Dạng tiêm Erythromycin lactobionate
Dạng tiêm Pyridoxine hydrochloride
3674
Không tương thích không xác định Không tương thích
Dạng tiêm Erythromycin lactobionate
Dạng tiêm Rocuronium bromide
3564
Tương thích
Dạng tiêm Erythromycin lactobionate 50 mg/ml
Dạng tiêm Salbutamol sulfate 1 mg/ml
Không 3216
Không tương thích không xác định Không tương thích
Dạng tiêm Erythromycin lactobionate
Dạng tiêm Streptomycin sulfate
3674
Tương thích
Dạng tiêm Erythromycin lactobionate 20 mg/ml
Dạng tiêm Tacrolimus 1000 µg/ml
NaCl 0,9% 479
Không tương thích không xác định Không tương thích
Dạng tiêm Erythromycin lactobionate
Dạng tiêm Temocilline
3674
Tương thích
Dạng tiêm Erythromycin lactobionate 5 mg/ml
Dạng tiêm Temocilline 83.33 mg/ml
Nước cất pha tiêm 2231
Tương thích
Dạng tiêm Erythromycin lactobionate 3.3 mg/ml
Dạng tiêm Theophylline 4 mg/ml
Không 317
Lượng mưa ngay lập tức Không tương thích
Dạng tiêm Erythromycin lactobionate 50 mg/ml
Dạng tiêm Thiopental sodium 25 mg/ml
NaCl 0,9% 3767
Không tương thích không xác định Không tương thích
Dạng tiêm Erythromycin lactobionate
Dạng tiêm Thiopental sodium
3674
Không tương thích không xác định Không tương thích
Dạng tiêm Erythromycin lactobionate
Dạng tiêm Ticarcillin / clavulanic acid
3674
Không tương thích không xác định Không tương thích
Dạng tiêm Erythromycin lactobionate
Dạng tiêm Tigecycline
3674
Không tương thích không xác định Không tương thích
Dạng tiêm Erythromycin lactobionate
Dạng tiêm Tobramycin sulfate
3674
Không tương thích không xác định Không tương thích
Dạng tiêm Erythromycin lactobionate
Dạng tiêm Triflupromazine hydrochloride
3674
Tương thích
Dạng tiêm Erythromycin lactobionate 5 mg/ml
Dạng tiêm Vancomycin hydrochloride 10 mg/ml
Glucose 5% 3385
Tương thích
Dạng tiêm Erythromycin lactobionate 2 mg/ml
Dạng tiêm Verapamil hydrochloride 0.08 mg/ml
NaCl 0,9% 1057
Tương thích
Dạng tiêm Erythromycin lactobionate 2 mg/ml
Dạng tiêm Verapamil hydrochloride 0.08 mg/ml
Glucose 5% 1057
Tương thích
Dạng tiêm Erythromycin lactobionate 20 mg/ml
Dạng tiêm Zidovudine 4 mg/ml
Glucose 5% 337

  Mentions Légales