Dernière mise à jour :
18/03/2026
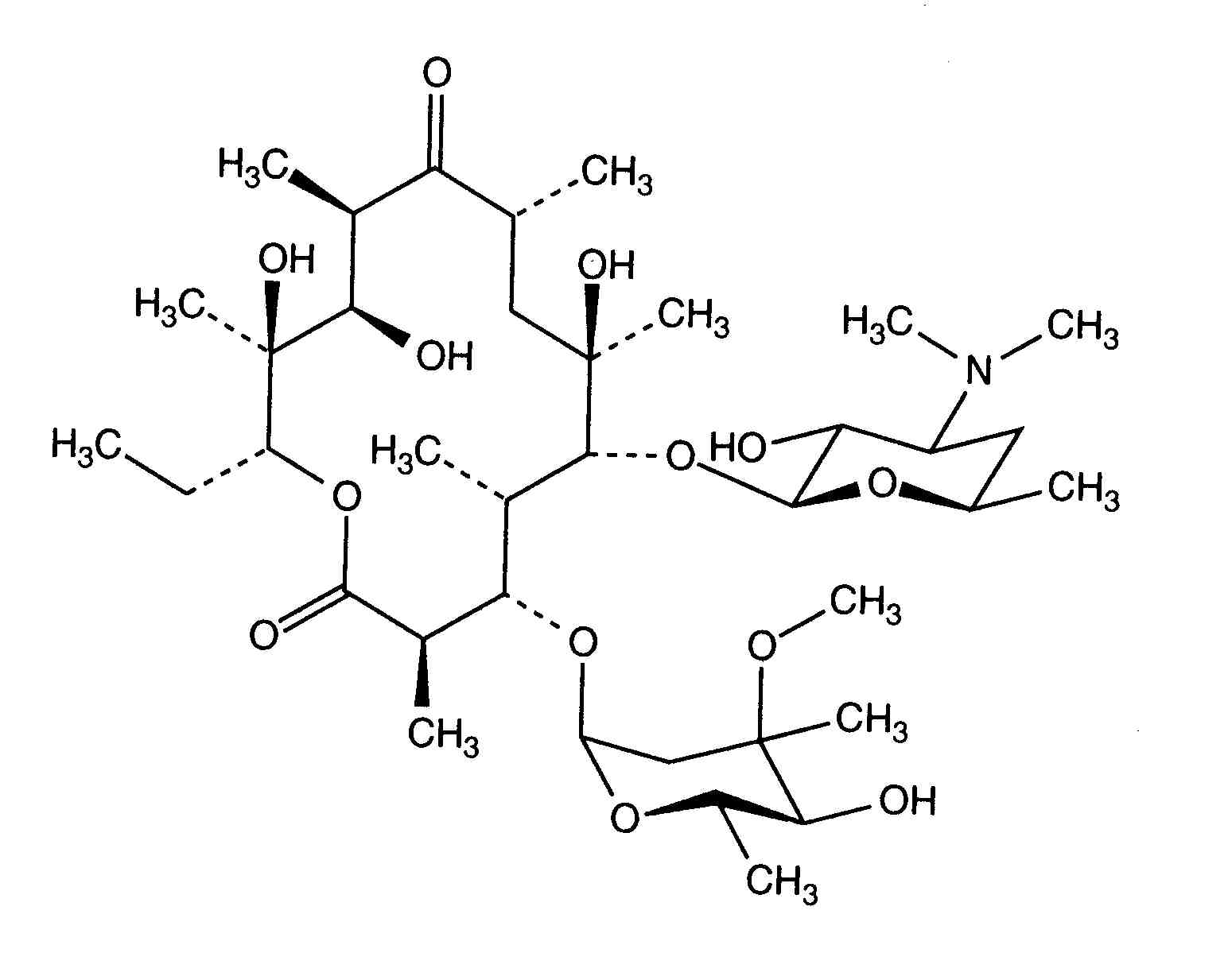
Antibiotique   Erythromycin lactobionate  
injectable
Stabilité des solutions Stabilité en mélange Facteur influençant la stabilité Compatibilités Voie d’administration Bibliographie pdf
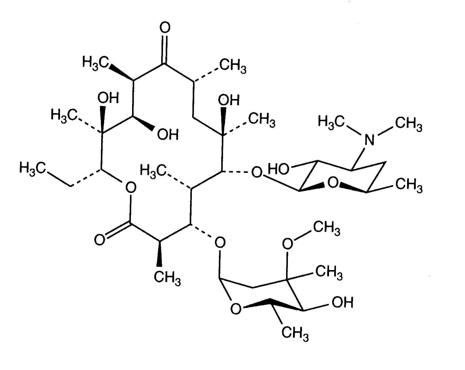
   Structure chimique  

Noms commerciaux   Noms commerciaux     

Les noms commerciaux sont donnés à titre indicatif et la composition en excipients peut être différente selon les pays et selon les laboratoires

Abboticin Danemark, Finlande, Norvège, Suède
Eristin Argentine
Erithromicina Chili
Erycinum Allemagne
Erythrocin Allemagne, Arabie Saoudite, Australie, Autriche, Canada, Etats Unis d’Amérique, Grande Bretagne, Irlande, Nouvelle Zélande
Erythrocin lactobionat ADD Vantage Australie, Autriche
Erythrocine Belgique, France, Luxembourg, Pays bas, Tunisie
Erythromycin Allemagne, Arabie Saoudite, Etats Unis d’Amérique, Grande Bretagne, Hongrie
Erythromycine Luxembourg
Erythromycinum Pologne
Pantomicina Chili, Espagne
Compatibilités   injectable   Compatibilités : Erythromycin lactobionate              
Cet écran indique les compatibilités ou incompatibilités avec, dans ce cas, le type d'incompatibilité (précipitation, changement de couleur, modification d'une émulsion, etc.). Les compatibilités présentées ici sont pour la plupart uniquement physiques, la stabilité chimique de chaque molécule étant rarement évaluée. L'évaluation de ces mélanges a été étudiée pour envisager la possibilité d'une administration en site Y au patient. Ces données ne peuvent pas être utilisées pour préparer des mélanges à l'avance dans des poches de perfusion ou des seringues. Ce type d'informations est disponible dans l'écran « Stabilité en mélange ».
Molécule Solvant Bibliographie
Compatible
injectable Erythromycin lactobionate 4 mg/ml
injectable Aciclovir sodium 5 mg/ml
Glucose 5% 336
Incompatibilité non précisée Incompatible
injectable Erythromycin lactobionate
injectable Amikacin sulfate
3674
Incompatibilité non précisée Incompatible
injectable Erythromycin lactobionate
injectable Amikacin sulfate
3549
Incompatibilité non précisée Incompatible
injectable Erythromycin lactobionate
injectable Aminophylline
3674
Compatible
injectable Erythromycin lactobionate 2 mg/ml
injectable Amiodarone hydrochloride 4 mg/ml
Chlorure de sodium 0,9% 385
Compatible
injectable Erythromycin lactobionate 2 mg/ml
injectable Amiodarone hydrochloride 4 mg/ml
Glucose 5% 385
Incompatibilité non précisée Incompatible
injectable Erythromycin lactobionate
injectable Amobarbital sodium
3674
Incompatibilité non précisée Incompatible
injectable Erythromycin lactobionate
injectable Amoxicillin sodium
3674
Précipitation immédiate Incompatible
injectable Erythromycin lactobionate 50 mg/ml
injectable Amoxicillin sodium / clavulanic acid 100/10 mg/ml
3824
Incompatibilité non précisée Incompatible
injectable Erythromycin lactobionate
injectable Amoxicillin sodium / clavulanic acid
3674
Incompatibilité non précisée Incompatible
injectable Erythromycin lactobionate
injectable Ampicillin sodium
3674
Incompatibilité non précisée Incompatible
injectable Erythromycin lactobionate
injectable Ampicillin sodium - sulbactam sodium
3674
Compatible
injectable Erythromycin lactobionate 5 mg/ml
injectable Anidulafungin 0.5 mg/ml
Glucose 5% 1982
Incompatibilité non précisée Incompatible
injectable Erythromycin lactobionate
injectable Ascorbic acid
5089
Incompatibilité non précisée Incompatible
injectable Erythromycin lactobionate
injectable Ascorbic acid
3674
Incompatibilité non précisée Incompatible
injectable Erythromycin lactobionate
injectable Aztreonam
3674
Compatible
injectable Erythromycin lactobionate 5 mg/ml
injectable Bivalirudin 5 mg/ml
Glucose 5% 1713
Compatible
injectable Erythromycin lactobionate
Chlorure de sodium 0,9% 3674
Précipitation immédiate Incompatible
injectable Erythromycin lactobionate 50 mg/ml
injectable Caffeine 10 mg/ml
Aucun 3964
Incompatibilité non précisée Incompatible
injectable Erythromycin lactobionate
injectable Cefalotin sodium
3674
Incompatibilité non précisée Incompatible
injectable Erythromycin lactobionate
injectable Cefamandole nafate
3674
Incompatibilité non précisée Incompatible
injectable Erythromycin lactobionate
injectable Cefazolin sodium
3674
Turbidité en 1 heure Incompatible
injectable Erythromycin lactobionate 20 mg/ml
injectable Cefazolin sodium 220 mg/ml
805
Incompatibilité non précisée Incompatible
injectable Erythromycin lactobionate
injectable Cefepime dihydrochloride
3674
Instabilité chimique Incompatible
injectable Erythromycin lactobionate 5 mg/ml
injectable Cefepime dihydrochloride 125 mg/ml
Eau pour préparation injectable 2141
Incompatibilité non précisée Incompatible
injectable Erythromycin lactobionate
injectable Cefmenoxime
3674
Incompatibilité non précisée Incompatible
injectable Erythromycin lactobionate
injectable Cefmetazole sodium
3674
Précipitation immédiate Incompatible
injectable Erythromycin lactobionate 10 & 50 mg/ml
injectable Cefmetazole sodium 100 mg/ml
Eau pour préparation injectable 93
Incompatibilité non précisée Incompatible
injectable Erythromycin lactobionate
injectable Cefonicid sodium
3674
Incompatibilité non précisée Incompatible
injectable Erythromycin lactobionate
injectable Cefoperazone sodium
3674
Incompatibilité non précisée Incompatible
injectable Erythromycin lactobionate
injectable Ceforanide
3674
Incompatibilité non précisée Incompatible
injectable Erythromycin lactobionate
injectable Cefotaxime sodium
3674
Incompatibilité non précisée Incompatible
injectable Erythromycin lactobionate
injectable Cefoxitin sodium
3674
Incompatibilité non précisée Incompatible
injectable Erythromycin lactobionate
injectable Cefpirome sulfate
3674
Incompatibilité non précisée Incompatible
injectable Erythromycin lactobionate
injectable Ceftaroline fosamil
3674
Précipitation immédiate Incompatible
injectable Erythromycin lactobionate 5 mg/ml
injectable Ceftazidime 125 mg/ml
Eau pour préparation injectable 2141
Incompatibilité non précisée Incompatible
injectable Erythromycin lactobionate
injectable Ceftazidime
3674
Précipitation immédiate Incompatible
injectable Erythromycin lactobionate 10 & 50 mg/ml
injectable Ceftazidime 83.3 mg/ml
1759
Incompatibilité non précisée Incompatible
injectable Erythromycin lactobionate
injectable Ceftazidime Avibactam
3674
Incompatibilité non précisée Incompatible
injectable Erythromycin lactobionate
injectable Ceftizoxime sodium
3674
Incompatibilité non précisée Incompatible
injectable Erythromycin lactobionate
injectable Ceftobiprole medocaril sodium
3674
Incompatibilité non précisée Incompatible
injectable Erythromycin lactobionate
injectable Ceftolozane / tazobactam
3674
Incompatibilité non précisée Incompatible
injectable Erythromycin lactobionate
injectable Ceftriaxone disodium
3674
Incompatibilité non précisée Incompatible
injectable Erythromycin lactobionate
injectable Cefuroxime sodium
3674
Incompatibilité non précisée Incompatible
injectable Erythromycin lactobionate
injectable Cefuzonam
3674
Incompatibilité non précisée Incompatible
injectable Erythromycin lactobionate
injectable Chloramphenicol sodium succinate
3674
Incompatibilité non précisée Incompatible
injectable Erythromycin lactobionate
injectable Chlorpromazine hydrochloride
3674
Compatible
injectable Erythromycin lactobionate 5 & 50 mg/ml
injectable Diltiazem hydrochloride 5 mg/ml
Chlorure de sodium 0,9% 198
Incompatibilité non précisée Incompatible
injectable Erythromycin lactobionate
injectable Doripenem
3674
Compatible
injectable Erythromycin lactobionate 10 mg/ml
Nutrition parentérale (mélange binaire) 939
Compatible
injectable Erythromycin lactobionate 5 mg/ml
injectable Cimetidine hydrochloride 3 mg/ml
Chlorure de sodium 0,9% 1201
Précipitation immédiate Incompatible
injectable Erythromycin lactobionate 50 mg/ml
injectable Cloxacillin sodium 100 mg/ml
Eau pour préparation injectable 3012
Incompatibilité non précisée Incompatible
injectable Erythromycin lactobionate
injectable Cloxacillin sodium
3674
Incompatibilité non précisée Incompatible
injectable Erythromycin lactobionate
injectable Colistin mesilate sodium
3674
Compatible
injectable Erythromycin lactobionate 5 mg/ml
injectable Dexmedetomidine 4 µg/ml
Chlorure de sodium 0,9% 1712
Compatible
injectable Erythromycin lactobionate 5 mg/ml
injectable Doxapram hydrochloride 2 mg/ml
Glucose 5% 1802
Incompatibilité non précisée Incompatible
injectable Erythromycin lactobionate
injectable Doxycycline hyclate
3674
Compatible
injectable Erythromycin lactobionate 5 mg/ml
injectable Enalaprilate 0.05 mg/ml
Chlorure de sodium 0,9% 1315
Incompatibilité non précisée Incompatible
injectable Erythromycin lactobionate
injectable Ertapenem
3674
Compatible
injectable Erythromycin lactobionate 5 mg/ml
injectable Esmolol hydrochloride 10 mg/ml
Glucose 5% 384
Compatible
injectable Erythromycin lactobionate 2 mg/ml
injectable Famotidine
Glucose 5% 397
Compatible
injectable Erythromycin lactobionate
Glucose 5% 3674
Compatible
injectable Erythromycin lactobionate 5 mg/ml
injectable Fenoldopam mesylate 80 µg/ml
Chlorure de sodium 0,9% 1803
Incompatibilité non précisée Incompatible
injectable Erythromycin lactobionate
injectable Flucloxacillin sodium
3674
Précipitation immédiate Incompatible
injectable Erythromycin lactobionate 5 mg/ml
injectable Flucloxacillin sodium 20 mg/ml
Chlorure de sodium 0,9% 1232
Précipitation immédiate Incompatible
injectable Erythromycin lactobionate 20 mg/ml
injectable Fluconazole 2 mg/ml
Chlorure de sodium 0,9% 496
Compatible
injectable Erythromycin lactobionate 20 mg/ml
injectable Foscarnet sodium 24 mg/ml
Chlorure de sodium 0,9% 1135
Compatible
injectable Erythromycin lactobionate 20 mg/ml
injectable Foscarnet sodium 24 mg/ml
Aucun 73
Précipitation immédiate Incompatible
injectable Erythromycin lactobionate 5 mg/ml
injectable Furosemide 1 mg/ml
Chlorure de sodium 0,9% 1232
Incompatibilité non précisée Incompatible
injectable Erythromycin lactobionate
injectable Gentamicin sulfate
3643
Incompatibilité non précisée Incompatible
injectable Erythromycin lactobionate
injectable Gentamicin sulfate
3520
Incompatibilité non précisée Incompatible
injectable Erythromycin lactobionate
injectable Gentamicin sulfate
3674
Incompatibilité non précisée Incompatible
injectable Erythromycin lactobionate
injectable Heparin sodium
3674
Compatible
injectable Erythromycin lactobionate 50 mg/ml
Ringer lactate 4603
Compatible
injectable Erythromycin lactobionate 3.3 mg/ml
injectable Heparin sodium 50 UI/ml
Aucun 317
Compatible
injectable Erythromycin lactobionate 50 mg/ml
Nutrition parentérale (mélange binaire) 999
Incompatibilité non précisée Incompatible
injectable Erythromycin lactobionate
injectable Heparin sodium
3540
Compatible
injectable Erythromycin lactobionate 5 mg/ml
injectable Hetastarch 60 mg/ml
Solvant spécifique 1721
Compatible
injectable Erythromycin lactobionate 5 mg/ml
injectable Hydromorphone hydrochloride 0.2 mg/ml
Glucose 5% 405
Compatible
injectable Erythromycin lactobionate 2 mg/ml
injectable Idarubicin hydrochloride 1 mg/ml
Chlorure de sodium 0,9% 491
Incompatibilité non précisée Incompatible
injectable Erythromycin lactobionate
injectable Imipenem - cilastatin sodium
3674
Incompatibilité non précisée Incompatible
injectable Erythromycin lactobionate
injectable Kanamycin sulfate
3674
Compatible
injectable Erythromycin lactobionate 5 mg/ml
injectable Labetalol hydrochloride 1 mg/ml
Glucose 5% 386
Incompatibilité non précisée Incompatible
injectable Erythromycin lactobionate
injectable Levomepromazine
3674
Instabilité chimique Incompatible
injectable Erythromycin lactobionate 5 mg/ml
injectable Linezolid 2 mg/ml
Aucun 1607
Incompatibilité non précisée Incompatible
injectable Erythromycin lactobionate
injectable Linezolid
3560
Compatible
injectable Erythromycin lactobionate 5 mg/ml
injectable Linezolid 2 mg/ml
Aucun 1925
Compatible
injectable Erythromycin lactobionate 5 mg/ml
injectable Lorazepam 0.33 mg/ml
Chlorure de sodium 0,9% 186
Compatible
injectable Erythromycin lactobionate 5 mg/ml
injectable Magnesium sulfate 16.67 >> 100 mg/ml
Glucose 5% 1047
Compatible
injectable Erythromycin lactobionate 50 mg/ml
injectable Meropenem 50 mg/ml
Eau pour préparation injectable 4319
Incompatibilité non précisée Incompatible
injectable Erythromycin lactobionate
injectable Meropenem
3674
Incompatibilité non précisée Incompatible
injectable Erythromycin lactobionate
injectable Mesna
3602
Incompatibilité non précisée Incompatible
injectable Erythromycin lactobionate
injectable Metaraminol
5046
Incompatibilité non précisée Incompatible
injectable Erythromycin lactobionate
injectable Methohexital sodium
3674
Compatible
injectable Erythromycin lactobionate 5 mg/ml
injectable Midazolam hydrochloride 5 mg/ml
Aucun 186
Incompatibilité non précisée Incompatible
injectable Erythromycin lactobionate
injectable Minocycline hydrochloride
3674
Compatible
injectable Erythromycin lactobionate 5 mg/ml
injectable Morphine sulfate 1 mg/ml
Glucose 5% 405
Incompatibilité non précisée Incompatible
injectable Erythromycin lactobionate
injectable Moxalactam
3674
Incompatibilité non précisée Incompatible
injectable Erythromycin lactobionate
injectable N-acetylcysteine 200 mg/ml
Aucun 3766
Incompatibilité non précisée Incompatible
injectable Erythromycin lactobionate
injectable Nafcillin sodium
3674
Compatible
injectable Erythromycin lactobionate 50 mg/ml
injectable Naloxone hydrochloride 0.4 mg/ml
Aucun 3408
Incompatibilité non précisée Incompatible
injectable Erythromycin lactobionate
injectable Netilmicin sulfate
3674
Compatible
injectable Erythromycin lactobionate 5 mg/ml
injectable Nicardipine hydrochloride 0.1 mg/ml
Chlorure de sodium 0,9% 1490
Compatible
injectable Erythromycin lactobionate 5 mg/ml
injectable Nicardipine hydrochloride 0.1 mg/ml
Glucose 5% 1490
Incompatibilité non précisée Incompatible
injectable Erythromycin lactobionate
injectable Oxacillin sodium
3674
Incompatibilité non précisée Incompatible
injectable Erythromycin lactobionate
injectable Oxytetracycline hydrochloride
3674
Compatible
injectable Erythromycin lactobionate 50 mg/ml
injectable Paracetamol 10 mg/ml
4742
Incompatibilité non précisée Incompatible
injectable Erythromycin lactobionate
injectable Penicillin G potassium
3674
Incompatibilité non précisée Incompatible
injectable Erythromycin lactobionate
injectable Penicillin G sodium
3674
Incompatibilité non précisée Incompatible
injectable Erythromycin lactobionate
injectable Pentobarbital sodium
3674
Compatible
injectable Erythromycin lactobionate 5 mg/ml
injectable Pethidine hydrochloride 10 mg/ml
Glucose 5% 405
Incompatibilité non précisée Incompatible
injectable Erythromycin lactobionate
injectable Phenobarbital sodium
3674
Incompatibilité non précisée Incompatible
injectable Erythromycin lactobionate
injectable Phenytoin sodium
3674
Incompatibilité non précisée Incompatible
injectable Erythromycin lactobionate
injectable Piperacillin sodium
3674
Incompatibilité non précisée Incompatible
injectable Erythromycin lactobionate
injectable Piperacillin sodium / tazobactam
3674
Incompatibilité non précisée Incompatible
injectable Erythromycin lactobionate
injectable Plazomicin sulfate
3674
Incompatibilité non précisée Incompatible
injectable Erythromycin lactobionate
injectable Prochlorperazine edysilate
3674
Incompatibilité non précisée Incompatible
injectable Erythromycin lactobionate
injectable Promethazine hydrochloride
3674
Incompatibilité non précisée Incompatible
injectable Erythromycin lactobionate
injectable Pyridoxine hydrochloride
3674
Incompatibilité non précisée Incompatible
injectable Erythromycin lactobionate
injectable Rocuronium bromide
3564
Compatible
injectable Erythromycin lactobionate 50 mg/ml
injectable Salbutamol sulfate 1 mg/ml
Aucun 3216
Incompatibilité non précisée Incompatible
injectable Erythromycin lactobionate
injectable Streptomycin sulfate
3674
Compatible
injectable Erythromycin lactobionate 20 mg/ml
injectable Tacrolimus 1000 µg/ml
Chlorure de sodium 0,9% 479
Incompatibilité non précisée Incompatible
injectable Erythromycin lactobionate
injectable Temocilline
3674
Compatible
injectable Erythromycin lactobionate 5 mg/ml
injectable Temocilline 83.33 mg/ml
Eau pour préparation injectable 2231
Compatible
injectable Erythromycin lactobionate 3.3 mg/ml
injectable Theophylline 4 mg/ml
Aucun 317
Précipitation immédiate Incompatible
injectable Erythromycin lactobionate 50 mg/ml
injectable Thiopental sodium 25 mg/ml
Chlorure de sodium 0,9% 3767
Incompatibilité non précisée Incompatible
injectable Erythromycin lactobionate
injectable Thiopental sodium
3674
Incompatibilité non précisée Incompatible
injectable Erythromycin lactobionate
injectable Ticarcillin / clavulanic acid
3674
Incompatibilité non précisée Incompatible
injectable Erythromycin lactobionate
injectable Tigecycline
3674
Incompatibilité non précisée Incompatible
injectable Erythromycin lactobionate
injectable Tobramycin sulfate
3674
Incompatibilité non précisée Incompatible
injectable Erythromycin lactobionate
injectable Triflupromazine hydrochloride
3674
Compatible
injectable Erythromycin lactobionate 5 mg/ml
injectable Vancomycin hydrochloride 10 mg/ml
Glucose 5% 3385
Compatible
injectable Erythromycin lactobionate 2 mg/ml
injectable Verapamil hydrochloride 0.08 mg/ml
Chlorure de sodium 0,9% 1057
Compatible
injectable Erythromycin lactobionate 2 mg/ml
injectable Verapamil hydrochloride 0.08 mg/ml
Glucose 5% 1057
Compatible
injectable Erythromycin lactobionate 20 mg/ml
injectable Zidovudine 4 mg/ml
Glucose 5% 337

  Mentions Légales