Dernière mise à jour :
17/12/2025
Antibiotique   Erythromycin lactobionate  
injectable
Stabilité des solutions Stabilité en mélange Facteur influençant la stabilité Compatibilités Voie d’administration Bibliographie pdf
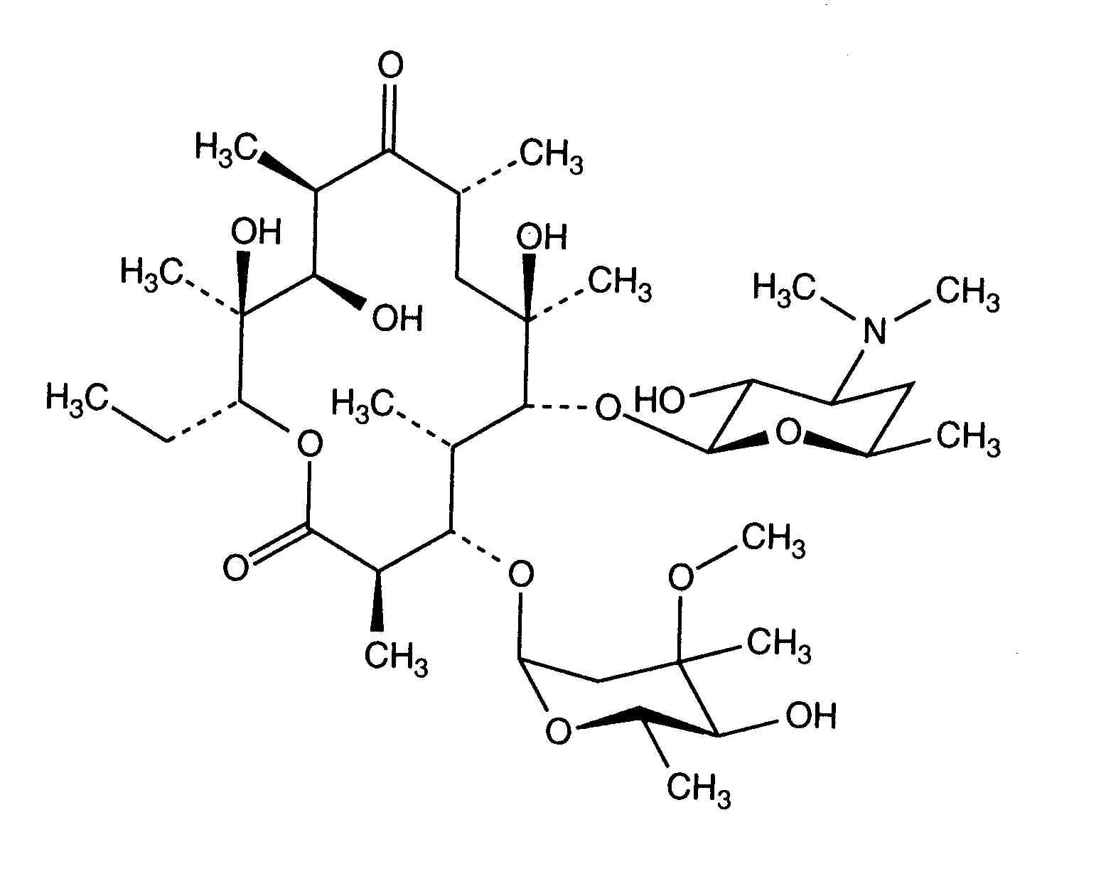
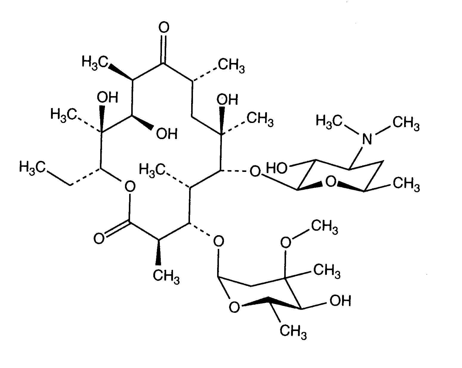
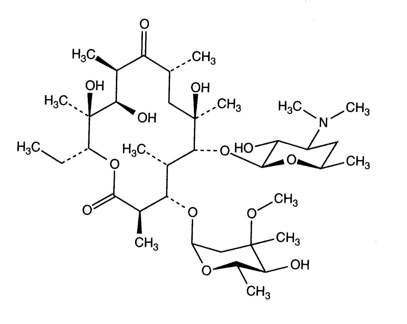
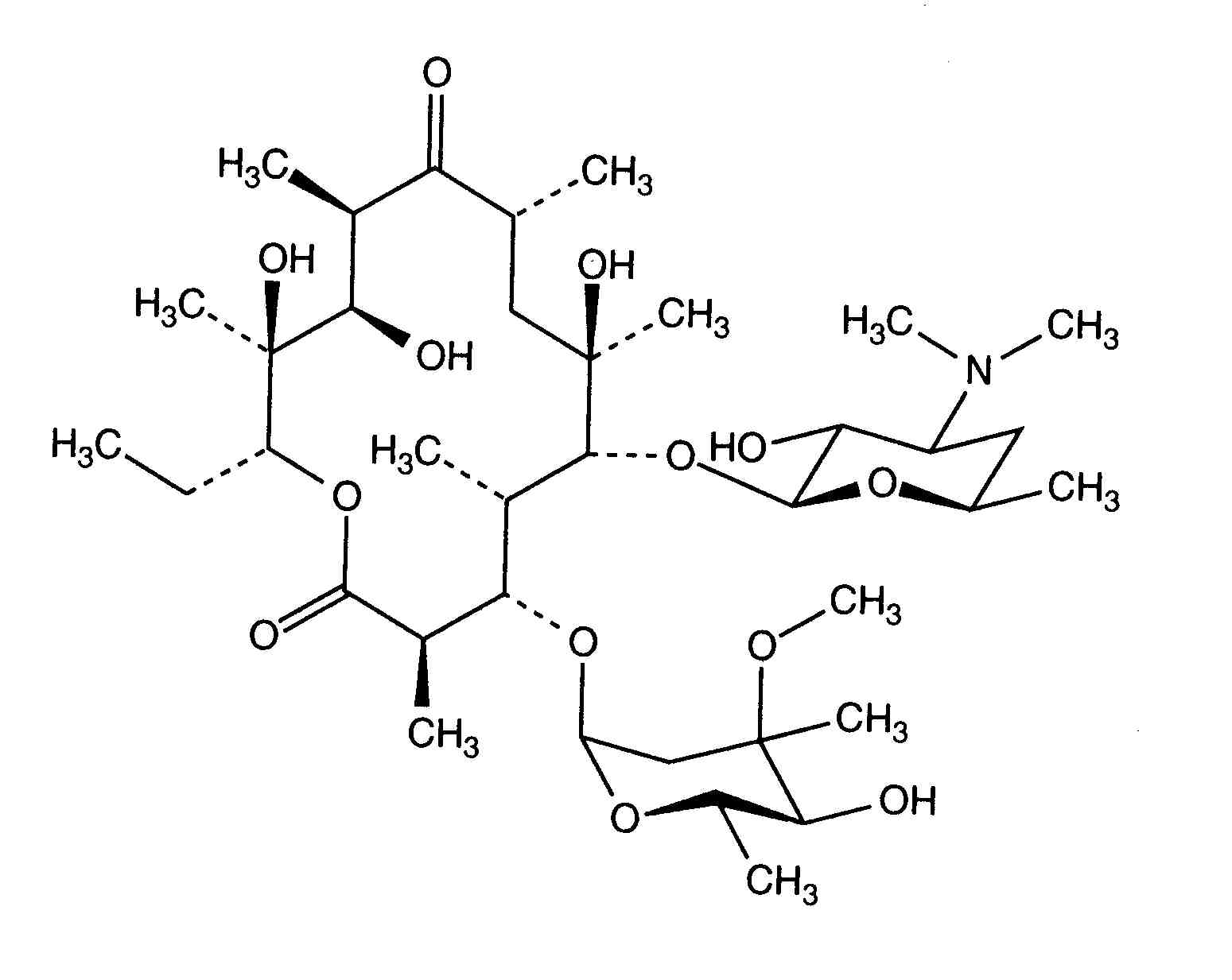
   Structure chimique  

Noms commerciaux   Noms commerciaux     

Les noms commerciaux sont donnés à titre indicatif et la composition en excipients peut être différente selon les pays et selon les laboratoires

Abboticin Danemark, Finlande, Norvège, Suède
Eristin Argentine
Erithromicina Chili
Erycinum Allemagne
Erythrocin Allemagne, Arabie Saoudite, Australie, Autriche, Canada, Etats Unis d’Amérique, Grande Bretagne, Irlande, Nouvelle Zélande
Erythrocin lactobionat ADD Vantage Australie, Autriche
Erythrocine Belgique, France, Luxembourg, Pays bas, Tunisie
Erythromycin Allemagne, Arabie Saoudite, Etats Unis d’Amérique, Grande Bretagne, Hongrie
Erythromycine Luxembourg
Erythromycinum Pologne
Pantomicina Chili, Espagne
Stabilité en mélange   injectable   Stabilité en mélange : Erythromycin lactobionate     
Aucune donnée

  Mentions Légales