Son güncelleme :
18/03/2026
Antibiyotik   Erythromycin lactobionate  
Enjeksiyon
Çözeltilerin stabilitesi Karışımlardaki stabilitesi Stabiliteyi etkileyen faktörler Uyumluluk Uygulama yöntemi Kaynaklar pdf
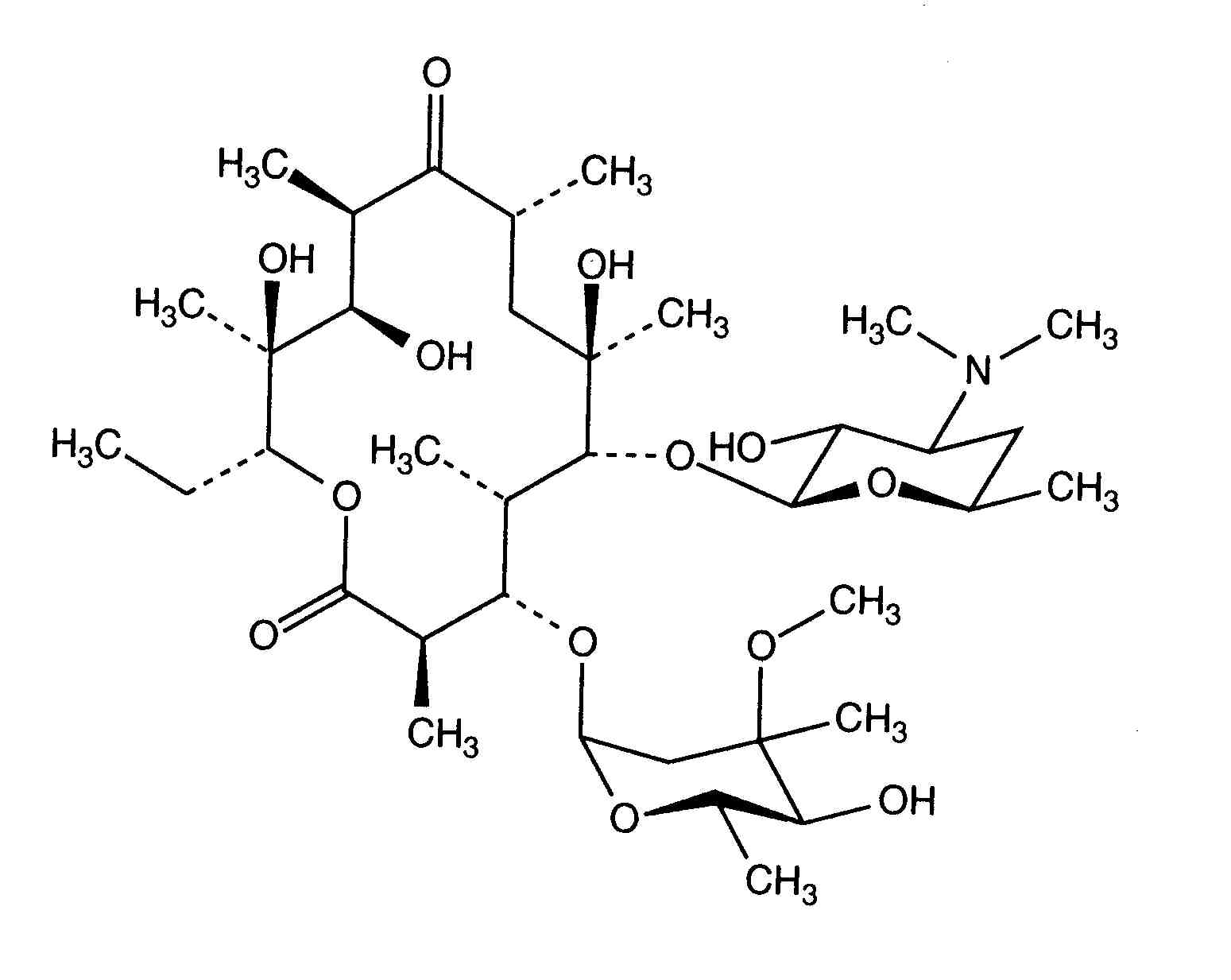
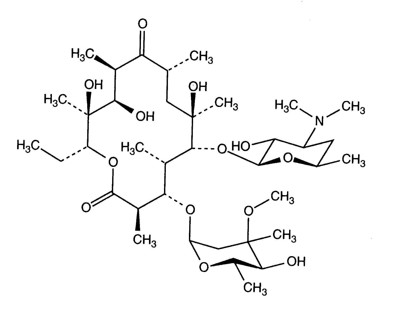
   Kimyasal yapı   

Ticari isim   Ticari isim     

Trade names are indicative and excipients composition can be different depending on the country and manufacturers

Abboticin Danimarka, Finlandiya, İsveç, Norveç
Eristin Arjantin
Erithromicina Şili
Erycinum Almanya
Erythrocin Almanya, Amerika Birleşik Devletleri, Avustralya, Avusturya, Büyük Britanya, İrlanda, Kanada, Suudi Arabistan, yeni Zelanda
Erythrocin lactobionat ADD Vantage Avustralya, Avusturya
Erythrocine Belçika, Fransa, Hollanda, Lüksemburg, Tunus
Erythromycin Almanya, Amerika Birleşik Devletleri, Büyük Britanya, Macaristan, Suudi Arabistan
Erythromycine Lüksemburg
Erythromycinum Polonya
Pantomicina İspanya, Şili
Uyumluluk   Enjeksiyon    Uyumluluk : Erythromycin lactobionate              
Bu ekran, bu durumda uyumsuzluk tipiyle (çökelme, renk değişimi, bir emülsiyonun modifikasyonu, vb.) Uyumlulukları veya uyumsuzlukları gösterir. Burada gösterilen uyumluluklar çoğunlukla yalnızca fizikseldir ve her molekülün kimyasal stabilitesi nadiren değerlendirilir. Bu karışımların değerlendirilmesi, hastaya Y bölgesi uygulama olasılığını göz önünde bulundurmak için çalışıldı. Bu veriler önceden torba veya şırıngalarda karışım yapmak için kullanılamaz. Bu tür bilgiler "Karışımda stabilite" ekranında mevcuttur.
Bileşik Çözücü Kaynaklar
Uyumlu
Enjeksiyon Erythromycin lactobionate 4 mg/ml
Enjeksiyon Aciclovir sodium 5 mg/ml
Glukoz %5 336
Belirtilmemiş uyumsuzluk uyumsuz
Enjeksiyon Erythromycin lactobionate
Enjeksiyon Amikacin sulfate
3674
Belirtilmemiş uyumsuzluk uyumsuz
Enjeksiyon Erythromycin lactobionate
Enjeksiyon Amikacin sulfate
3549
Belirtilmemiş uyumsuzluk uyumsuz
Enjeksiyon Erythromycin lactobionate
Enjeksiyon Aminophylline
3674
Uyumlu
Enjeksiyon Erythromycin lactobionate 2 mg/ml
Enjeksiyon Amiodarone hydrochloride 4 mg/ml
Sodyum klorür % 0,9 385
Uyumlu
Enjeksiyon Erythromycin lactobionate 2 mg/ml
Enjeksiyon Amiodarone hydrochloride 4 mg/ml
Glukoz %5 385
Belirtilmemiş uyumsuzluk uyumsuz
Enjeksiyon Erythromycin lactobionate
Enjeksiyon Amobarbital sodium
3674
Belirtilmemiş uyumsuzluk uyumsuz
Enjeksiyon Erythromycin lactobionate
Enjeksiyon Amoxicillin sodium
3674
Acil yağış uyumsuz
Enjeksiyon Erythromycin lactobionate 50 mg/ml
Enjeksiyon Amoxicillin sodium / clavulanic acid 100/10 mg/ml
3824
Belirtilmemiş uyumsuzluk uyumsuz
Enjeksiyon Erythromycin lactobionate
Enjeksiyon Amoxicillin sodium / clavulanic acid
3674
Belirtilmemiş uyumsuzluk uyumsuz
Enjeksiyon Erythromycin lactobionate
Enjeksiyon Ampicillin sodium
3674
Belirtilmemiş uyumsuzluk uyumsuz
Enjeksiyon Erythromycin lactobionate
Enjeksiyon Ampicillin sodium - sulbactam sodium
3674
Uyumlu
Enjeksiyon Erythromycin lactobionate 5 mg/ml
Enjeksiyon Anidulafungin 0.5 mg/ml
Glukoz %5 1982
Belirtilmemiş uyumsuzluk uyumsuz
Enjeksiyon Erythromycin lactobionate
Enjeksiyon Ascorbic acid
5089
Belirtilmemiş uyumsuzluk uyumsuz
Enjeksiyon Erythromycin lactobionate
Enjeksiyon Ascorbic acid
3674
Belirtilmemiş uyumsuzluk uyumsuz
Enjeksiyon Erythromycin lactobionate
Enjeksiyon Aztreonam
3674
Uyumlu
Enjeksiyon Erythromycin lactobionate 5 mg/ml
Enjeksiyon Bivalirudin 5 mg/ml
Glukoz %5 1713
Uyumlu
Enjeksiyon Erythromycin lactobionate
Sodyum klorür % 0,9 3674
Acil yağış uyumsuz
Enjeksiyon Erythromycin lactobionate 50 mg/ml
Enjeksiyon Caffeine 10 mg/ml
Yok 3964
Belirtilmemiş uyumsuzluk uyumsuz
Enjeksiyon Erythromycin lactobionate
Enjeksiyon Cefalotin sodium
3674
Belirtilmemiş uyumsuzluk uyumsuz
Enjeksiyon Erythromycin lactobionate
Enjeksiyon Cefamandole nafate
3674
Belirtilmemiş uyumsuzluk uyumsuz
Enjeksiyon Erythromycin lactobionate
Enjeksiyon Cefazolin sodium
3674
Bir saat içinde bulanıklık uyumsuz
Enjeksiyon Erythromycin lactobionate 20 mg/ml
Enjeksiyon Cefazolin sodium 220 mg/ml
805
Belirtilmemiş uyumsuzluk uyumsuz
Enjeksiyon Erythromycin lactobionate
Enjeksiyon Cefepime dihydrochloride
3674
Kimyasal kararsızlık uyumsuz
Enjeksiyon Erythromycin lactobionate 5 mg/ml
Enjeksiyon Cefepime dihydrochloride 125 mg/ml
Enjeksiyonluk su 2141
Belirtilmemiş uyumsuzluk uyumsuz
Enjeksiyon Erythromycin lactobionate
Enjeksiyon Cefmenoxime
3674
Belirtilmemiş uyumsuzluk uyumsuz
Enjeksiyon Erythromycin lactobionate
Enjeksiyon Cefmetazole sodium
3674
Acil yağış uyumsuz
Enjeksiyon Erythromycin lactobionate 10 & 50 mg/ml
Enjeksiyon Cefmetazole sodium 100 mg/ml
Enjeksiyonluk su 93
Belirtilmemiş uyumsuzluk uyumsuz
Enjeksiyon Erythromycin lactobionate
Enjeksiyon Cefonicid sodium
3674
Belirtilmemiş uyumsuzluk uyumsuz
Enjeksiyon Erythromycin lactobionate
Enjeksiyon Cefoperazone sodium
3674
Belirtilmemiş uyumsuzluk uyumsuz
Enjeksiyon Erythromycin lactobionate
Enjeksiyon Ceforanide
3674
Belirtilmemiş uyumsuzluk uyumsuz
Enjeksiyon Erythromycin lactobionate
Enjeksiyon Cefotaxime sodium
3674
Belirtilmemiş uyumsuzluk uyumsuz
Enjeksiyon Erythromycin lactobionate
Enjeksiyon Cefoxitin sodium
3674
Belirtilmemiş uyumsuzluk uyumsuz
Enjeksiyon Erythromycin lactobionate
Enjeksiyon Cefpirome sulfate
3674
Belirtilmemiş uyumsuzluk uyumsuz
Enjeksiyon Erythromycin lactobionate
Enjeksiyon Ceftaroline fosamil
3674
Acil yağış uyumsuz
Enjeksiyon Erythromycin lactobionate 5 mg/ml
Enjeksiyon Ceftazidime 125 mg/ml
Enjeksiyonluk su 2141
Belirtilmemiş uyumsuzluk uyumsuz
Enjeksiyon Erythromycin lactobionate
Enjeksiyon Ceftazidime
3674
Acil yağış uyumsuz
Enjeksiyon Erythromycin lactobionate 10 & 50 mg/ml
Enjeksiyon Ceftazidime 83.3 mg/ml
1759
Belirtilmemiş uyumsuzluk uyumsuz
Enjeksiyon Erythromycin lactobionate
Enjeksiyon Ceftazidime Avibactam
3674
Belirtilmemiş uyumsuzluk uyumsuz
Enjeksiyon Erythromycin lactobionate
Enjeksiyon Ceftizoxime sodium
3674
Belirtilmemiş uyumsuzluk uyumsuz
Enjeksiyon Erythromycin lactobionate
Enjeksiyon Ceftobiprole medocaril sodium
3674
Belirtilmemiş uyumsuzluk uyumsuz
Enjeksiyon Erythromycin lactobionate
Enjeksiyon Ceftolozane / tazobactam
3674
Belirtilmemiş uyumsuzluk uyumsuz
Enjeksiyon Erythromycin lactobionate
Enjeksiyon Ceftriaxone disodium
3674
Belirtilmemiş uyumsuzluk uyumsuz
Enjeksiyon Erythromycin lactobionate
Enjeksiyon Cefuroxime sodium
3674
Belirtilmemiş uyumsuzluk uyumsuz
Enjeksiyon Erythromycin lactobionate
Enjeksiyon Cefuzonam
3674
Belirtilmemiş uyumsuzluk uyumsuz
Enjeksiyon Erythromycin lactobionate
Enjeksiyon Chloramphenicol sodium succinate
3674
Belirtilmemiş uyumsuzluk uyumsuz
Enjeksiyon Erythromycin lactobionate
Enjeksiyon Chlorpromazine hydrochloride
3674
Uyumlu
Enjeksiyon Erythromycin lactobionate 5 & 50 mg/ml
Enjeksiyon Diltiazem hydrochloride 5 mg/ml
Sodyum klorür % 0,9 198
Belirtilmemiş uyumsuzluk uyumsuz
Enjeksiyon Erythromycin lactobionate
Enjeksiyon Doripenem
3674
Uyumlu
Enjeksiyon Erythromycin lactobionate 10 mg/ml
Parenteral beslenme (ikili karışım) 939
Uyumlu
Enjeksiyon Erythromycin lactobionate 5 mg/ml
Enjeksiyon Cimetidine hydrochloride 3 mg/ml
Sodyum klorür % 0,9 1201
Acil yağış uyumsuz
Enjeksiyon Erythromycin lactobionate 50 mg/ml
Enjeksiyon Cloxacillin sodium 100 mg/ml
Enjeksiyonluk su 3012
Belirtilmemiş uyumsuzluk uyumsuz
Enjeksiyon Erythromycin lactobionate
Enjeksiyon Cloxacillin sodium
3674
Belirtilmemiş uyumsuzluk uyumsuz
Enjeksiyon Erythromycin lactobionate
Enjeksiyon Colistin mesilate sodium
3674
Uyumlu
Enjeksiyon Erythromycin lactobionate 5 mg/ml
Enjeksiyon Dexmedetomidine 4 µg/ml
Sodyum klorür % 0,9 1712
Uyumlu
Enjeksiyon Erythromycin lactobionate 5 mg/ml
Enjeksiyon Doxapram hydrochloride 2 mg/ml
Glukoz %5 1802
Belirtilmemiş uyumsuzluk uyumsuz
Enjeksiyon Erythromycin lactobionate
Enjeksiyon Doxycycline hyclate
3674
Uyumlu
Enjeksiyon Erythromycin lactobionate 5 mg/ml
Enjeksiyon Enalaprilate 0.05 mg/ml
Sodyum klorür % 0,9 1315
Belirtilmemiş uyumsuzluk uyumsuz
Enjeksiyon Erythromycin lactobionate
Enjeksiyon Ertapenem
3674
Uyumlu
Enjeksiyon Erythromycin lactobionate 5 mg/ml
Enjeksiyon Esmolol hydrochloride 10 mg/ml
Glukoz %5 384
Uyumlu
Enjeksiyon Erythromycin lactobionate 2 mg/ml
Enjeksiyon Famotidine
Glukoz %5 397
Uyumlu
Enjeksiyon Erythromycin lactobionate
Glukoz %5 3674
Uyumlu
Enjeksiyon Erythromycin lactobionate 5 mg/ml
Enjeksiyon Fenoldopam mesylate 80 µg/ml
Sodyum klorür % 0,9 1803
Belirtilmemiş uyumsuzluk uyumsuz
Enjeksiyon Erythromycin lactobionate
Enjeksiyon Flucloxacillin sodium
3674
Acil yağış uyumsuz
Enjeksiyon Erythromycin lactobionate 5 mg/ml
Enjeksiyon Flucloxacillin sodium 20 mg/ml
Sodyum klorür % 0,9 1232
Acil yağış uyumsuz
Enjeksiyon Erythromycin lactobionate 20 mg/ml
Enjeksiyon Fluconazole 2 mg/ml
Sodyum klorür % 0,9 496
Uyumlu
Enjeksiyon Erythromycin lactobionate 20 mg/ml
Enjeksiyon Foscarnet sodium 24 mg/ml
Sodyum klorür % 0,9 1135
Uyumlu
Enjeksiyon Erythromycin lactobionate 20 mg/ml
Enjeksiyon Foscarnet sodium 24 mg/ml
Yok 73
Acil yağış uyumsuz
Enjeksiyon Erythromycin lactobionate 5 mg/ml
Enjeksiyon Furosemide 1 mg/ml
Sodyum klorür % 0,9 1232
Belirtilmemiş uyumsuzluk uyumsuz
Enjeksiyon Erythromycin lactobionate
Enjeksiyon Gentamicin sulfate
3643
Belirtilmemiş uyumsuzluk uyumsuz
Enjeksiyon Erythromycin lactobionate
Enjeksiyon Gentamicin sulfate
3520
Belirtilmemiş uyumsuzluk uyumsuz
Enjeksiyon Erythromycin lactobionate
Enjeksiyon Gentamicin sulfate
3674
Belirtilmemiş uyumsuzluk uyumsuz
Enjeksiyon Erythromycin lactobionate
Enjeksiyon Heparin sodium
3674
Uyumlu
Enjeksiyon Erythromycin lactobionate 50 mg/ml
Laktatlı ringer 4603
Uyumlu
Enjeksiyon Erythromycin lactobionate 3.3 mg/ml
Enjeksiyon Heparin sodium 50 UI/ml
Yok 317
Uyumlu
Enjeksiyon Erythromycin lactobionate 50 mg/ml
Parenteral beslenme (ikili karışım) 999
Belirtilmemiş uyumsuzluk uyumsuz
Enjeksiyon Erythromycin lactobionate
Enjeksiyon Heparin sodium
3540
Uyumlu
Enjeksiyon Erythromycin lactobionate 5 mg/ml
Enjeksiyon Hetastarch 60 mg/ml
çözücü Özgül 1721
Uyumlu
Enjeksiyon Erythromycin lactobionate 5 mg/ml
Enjeksiyon Hydromorphone hydrochloride 0.2 mg/ml
Glukoz %5 405
Uyumlu
Enjeksiyon Erythromycin lactobionate 2 mg/ml
Enjeksiyon Idarubicin hydrochloride 1 mg/ml
Sodyum klorür % 0,9 491
Belirtilmemiş uyumsuzluk uyumsuz
Enjeksiyon Erythromycin lactobionate
Enjeksiyon Imipenem - cilastatin sodium
3674
Belirtilmemiş uyumsuzluk uyumsuz
Enjeksiyon Erythromycin lactobionate
Enjeksiyon Kanamycin sulfate
3674
Uyumlu
Enjeksiyon Erythromycin lactobionate 5 mg/ml
Enjeksiyon Labetalol hydrochloride 1 mg/ml
Glukoz %5 386
Belirtilmemiş uyumsuzluk uyumsuz
Enjeksiyon Erythromycin lactobionate
Enjeksiyon Levomepromazine
3674
Kimyasal kararsızlık uyumsuz
Enjeksiyon Erythromycin lactobionate 5 mg/ml
Enjeksiyon Linezolid 2 mg/ml
Yok 1607
Belirtilmemiş uyumsuzluk uyumsuz
Enjeksiyon Erythromycin lactobionate
Enjeksiyon Linezolid
3560
Uyumlu
Enjeksiyon Erythromycin lactobionate 5 mg/ml
Enjeksiyon Linezolid 2 mg/ml
Yok 1925
Uyumlu
Enjeksiyon Erythromycin lactobionate 5 mg/ml
Enjeksiyon Lorazepam 0.33 mg/ml
Sodyum klorür % 0,9 186
Uyumlu
Enjeksiyon Erythromycin lactobionate 5 mg/ml
Enjeksiyon Magnesium sulfate 16.67 >> 100 mg/ml
Glukoz %5 1047
Uyumlu
Enjeksiyon Erythromycin lactobionate 50 mg/ml
Enjeksiyon Meropenem 50 mg/ml
Enjeksiyonluk su 4319
Belirtilmemiş uyumsuzluk uyumsuz
Enjeksiyon Erythromycin lactobionate
Enjeksiyon Meropenem
3674
Belirtilmemiş uyumsuzluk uyumsuz
Enjeksiyon Erythromycin lactobionate
Enjeksiyon Mesna
3602
Belirtilmemiş uyumsuzluk uyumsuz
Enjeksiyon Erythromycin lactobionate
Enjeksiyon Metaraminol
5046
Belirtilmemiş uyumsuzluk uyumsuz
Enjeksiyon Erythromycin lactobionate
Enjeksiyon Methohexital sodium
3674
Uyumlu
Enjeksiyon Erythromycin lactobionate 5 mg/ml
Enjeksiyon Midazolam hydrochloride 5 mg/ml
Yok 186
Belirtilmemiş uyumsuzluk uyumsuz
Enjeksiyon Erythromycin lactobionate
Enjeksiyon Minocycline hydrochloride
3674
Uyumlu
Enjeksiyon Erythromycin lactobionate 5 mg/ml
Enjeksiyon Morphine sulfate 1 mg/ml
Glukoz %5 405
Belirtilmemiş uyumsuzluk uyumsuz
Enjeksiyon Erythromycin lactobionate
Enjeksiyon Moxalactam
3674
Belirtilmemiş uyumsuzluk uyumsuz
Enjeksiyon Erythromycin lactobionate
Enjeksiyon N-acetylcysteine 200 mg/ml
Yok 3766
Belirtilmemiş uyumsuzluk uyumsuz
Enjeksiyon Erythromycin lactobionate
Enjeksiyon Nafcillin sodium
3674
Uyumlu
Enjeksiyon Erythromycin lactobionate 50 mg/ml
Enjeksiyon Naloxone hydrochloride 0.4 mg/ml
Yok 3408
Belirtilmemiş uyumsuzluk uyumsuz
Enjeksiyon Erythromycin lactobionate
Enjeksiyon Netilmicin sulfate
3674
Uyumlu
Enjeksiyon Erythromycin lactobionate 5 mg/ml
Enjeksiyon Nicardipine hydrochloride 0.1 mg/ml
Sodyum klorür % 0,9 1490
Uyumlu
Enjeksiyon Erythromycin lactobionate 5 mg/ml
Enjeksiyon Nicardipine hydrochloride 0.1 mg/ml
Glukoz %5 1490
Belirtilmemiş uyumsuzluk uyumsuz
Enjeksiyon Erythromycin lactobionate
Enjeksiyon Oxacillin sodium
3674
Belirtilmemiş uyumsuzluk uyumsuz
Enjeksiyon Erythromycin lactobionate
Enjeksiyon Oxytetracycline hydrochloride
3674
Uyumlu
Enjeksiyon Erythromycin lactobionate 50 mg/ml
Enjeksiyon Paracetamol 10 mg/ml
4742
Belirtilmemiş uyumsuzluk uyumsuz
Enjeksiyon Erythromycin lactobionate
Enjeksiyon Penicillin G potassium
3674
Belirtilmemiş uyumsuzluk uyumsuz
Enjeksiyon Erythromycin lactobionate
Enjeksiyon Penicillin G sodium
3674
Belirtilmemiş uyumsuzluk uyumsuz
Enjeksiyon Erythromycin lactobionate
Enjeksiyon Pentobarbital sodium
3674
Uyumlu
Enjeksiyon Erythromycin lactobionate 5 mg/ml
Enjeksiyon Pethidine hydrochloride 10 mg/ml
Glukoz %5 405
Belirtilmemiş uyumsuzluk uyumsuz
Enjeksiyon Erythromycin lactobionate
Enjeksiyon Phenobarbital sodium
3674
Belirtilmemiş uyumsuzluk uyumsuz
Enjeksiyon Erythromycin lactobionate
Enjeksiyon Phenytoin sodium
3674
Belirtilmemiş uyumsuzluk uyumsuz
Enjeksiyon Erythromycin lactobionate
Enjeksiyon Piperacillin sodium
3674
Belirtilmemiş uyumsuzluk uyumsuz
Enjeksiyon Erythromycin lactobionate
Enjeksiyon Piperacillin sodium / tazobactam
3674
Belirtilmemiş uyumsuzluk uyumsuz
Enjeksiyon Erythromycin lactobionate
Enjeksiyon Plazomicin sulfate
3674
Belirtilmemiş uyumsuzluk uyumsuz
Enjeksiyon Erythromycin lactobionate
Enjeksiyon Prochlorperazine edysilate
3674
Belirtilmemiş uyumsuzluk uyumsuz
Enjeksiyon Erythromycin lactobionate
Enjeksiyon Promethazine hydrochloride
3674
Belirtilmemiş uyumsuzluk uyumsuz
Enjeksiyon Erythromycin lactobionate
Enjeksiyon Pyridoxine hydrochloride
3674
Belirtilmemiş uyumsuzluk uyumsuz
Enjeksiyon Erythromycin lactobionate
Enjeksiyon Rocuronium bromide
3564
Uyumlu
Enjeksiyon Erythromycin lactobionate 50 mg/ml
Enjeksiyon Salbutamol sulfate 1 mg/ml
Yok 3216
Belirtilmemiş uyumsuzluk uyumsuz
Enjeksiyon Erythromycin lactobionate
Enjeksiyon Streptomycin sulfate
3674
Uyumlu
Enjeksiyon Erythromycin lactobionate 20 mg/ml
Enjeksiyon Tacrolimus 1000 µg/ml
Sodyum klorür % 0,9 479
Belirtilmemiş uyumsuzluk uyumsuz
Enjeksiyon Erythromycin lactobionate
Enjeksiyon Temocilline
3674
Uyumlu
Enjeksiyon Erythromycin lactobionate 5 mg/ml
Enjeksiyon Temocilline 83.33 mg/ml
Enjeksiyonluk su 2231
Uyumlu
Enjeksiyon Erythromycin lactobionate 3.3 mg/ml
Enjeksiyon Theophylline 4 mg/ml
Yok 317
Acil yağış uyumsuz
Enjeksiyon Erythromycin lactobionate 50 mg/ml
Enjeksiyon Thiopental sodium 25 mg/ml
Sodyum klorür % 0,9 3767
Belirtilmemiş uyumsuzluk uyumsuz
Enjeksiyon Erythromycin lactobionate
Enjeksiyon Thiopental sodium
3674
Belirtilmemiş uyumsuzluk uyumsuz
Enjeksiyon Erythromycin lactobionate
Enjeksiyon Ticarcillin / clavulanic acid
3674
Belirtilmemiş uyumsuzluk uyumsuz
Enjeksiyon Erythromycin lactobionate
Enjeksiyon Tigecycline
3674
Belirtilmemiş uyumsuzluk uyumsuz
Enjeksiyon Erythromycin lactobionate
Enjeksiyon Tobramycin sulfate
3674
Belirtilmemiş uyumsuzluk uyumsuz
Enjeksiyon Erythromycin lactobionate
Enjeksiyon Triflupromazine hydrochloride
3674
Uyumlu
Enjeksiyon Erythromycin lactobionate 5 mg/ml
Enjeksiyon Vancomycin hydrochloride 10 mg/ml
Glukoz %5 3385
Uyumlu
Enjeksiyon Erythromycin lactobionate 2 mg/ml
Enjeksiyon Verapamil hydrochloride 0.08 mg/ml
Sodyum klorür % 0,9 1057
Uyumlu
Enjeksiyon Erythromycin lactobionate 2 mg/ml
Enjeksiyon Verapamil hydrochloride 0.08 mg/ml
Glukoz %5 1057
Uyumlu
Enjeksiyon Erythromycin lactobionate 20 mg/ml
Enjeksiyon Zidovudine 4 mg/ml
Glukoz %5 337

  Mentions Légales