Posledná aktualizácia :
18/03/2026
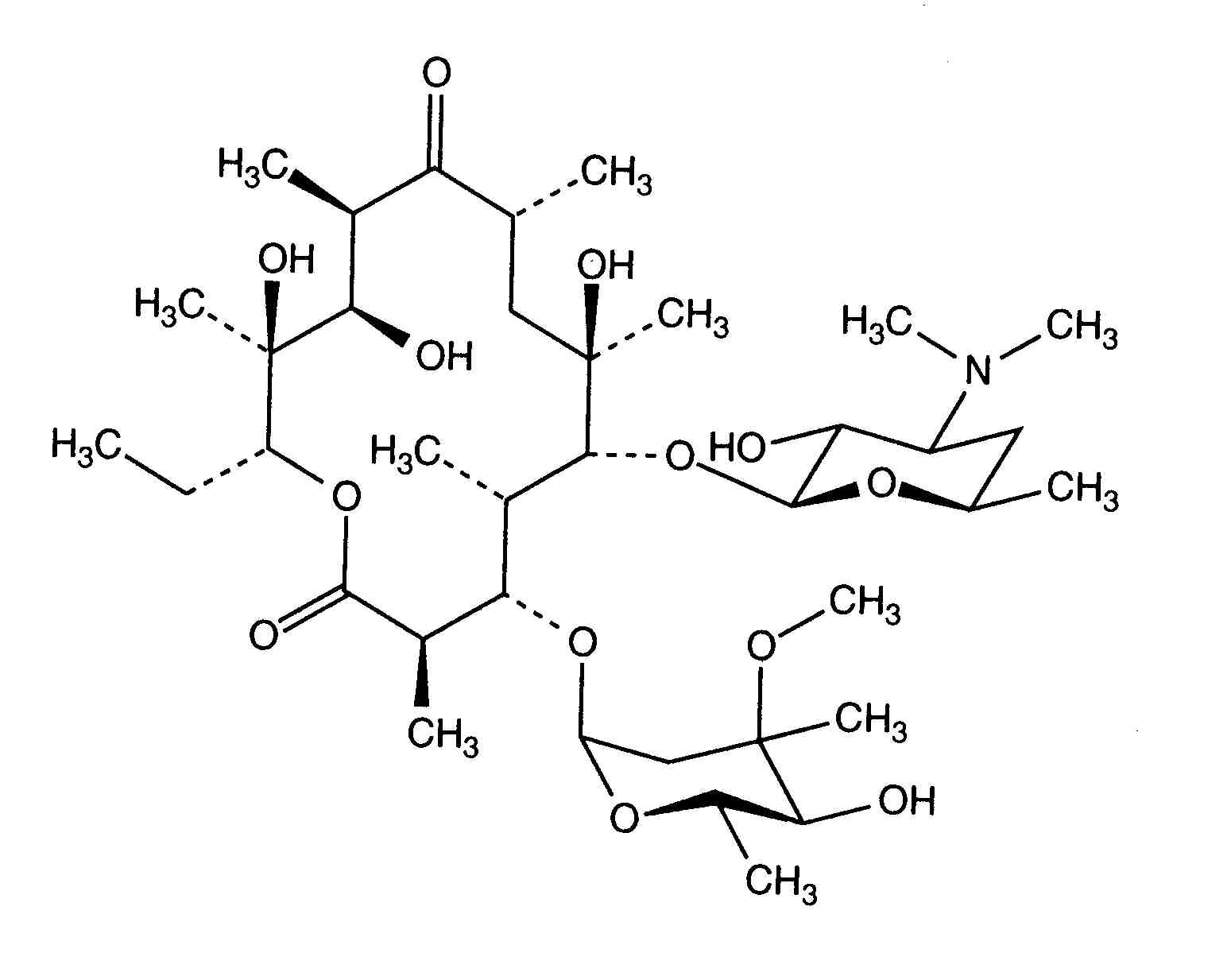
antibiotikum   Erythromycin lactobionate  
Injekcia
Stabilita roztokov Stabilita v zmesiach Faktory ovplyvňujúce stabilitu Kompatibility spôsob podania Odkazy na literatúru PDF
   Chemický vzorec  

Obchodný názov   Obchodný názov     

Obchodné názvy sú orientačné, a zloženie pomocných látok sa môže líšiť v závislosti od krajiny a výrobcu.

Abboticin Dánsko, Fínsko, Nórsko, Švédsko
Eristin Argentína
Erithromicina Čile
Erycinum Nemecko
Erythrocin Austrália, Írsko, Kanada, Nemecko, nový Zéland, Rakúsko, Saudská Arábia, Spojené štáty Americké, Veľká Británia
Erythrocin lactobionat ADD Vantage Austrália, Rakúsko
Erythrocine Belgicko, Francúzsko, Holandsko, Luxembursko, Tunisko
Erythromycin Maďarsko, Nemecko, Saudská Arábia, Spojené štáty Americké, Veľká Británia
Erythromycine Luxembursko
Erythromycinum Poľsko
Pantomicina Čile, Španielsko
Kompatibility   Injekcia   Kompatibility : Erythromycin lactobionate              
Toto okno zobrazuje kompatibility alebo inkombatibility, v prípade inkompatibility aj jej typ (vyzrážanie, zmena farby, zmena emulzie atď.). Tu vymenované kompatibility sú väčšinou len fyzikálne, chemická stabilita každej zo zlúčenín sa hodnotila len zriedkavo. Tieto zmesi sa skúmali za účelom možnosti súbežného podávania pacientovi cez infúznu spojku Y. Údaje sa nedajú použiť na prípravu zmesí vo vakoch alebo striekačkách. Taká informácia sa nachádza v okne „Stabilita v zmesiach“.
Zlúčenina rozpúšťadlo odkazy na lieteratúru
kompatibilný
Injekcia Erythromycin lactobionate 4 mg/ml
Injekcia Aciclovir sodium 5 mg/ml
5% glukóza 336
Nešpecifikovaná nekompatibilita nezlučiteľný
Injekcia Erythromycin lactobionate
Injekcia Amikacin sulfate
3674
Nešpecifikovaná nekompatibilita nezlučiteľný
Injekcia Erythromycin lactobionate
Injekcia Amikacin sulfate
3549
Nešpecifikovaná nekompatibilita nezlučiteľný
Injekcia Erythromycin lactobionate
Injekcia Aminophylline
3674
kompatibilný
Injekcia Erythromycin lactobionate 2 mg/ml
Injekcia Amiodarone hydrochloride 4 mg/ml
0,9% chlorid sodný 385
kompatibilný
Injekcia Erythromycin lactobionate 2 mg/ml
Injekcia Amiodarone hydrochloride 4 mg/ml
5% glukóza 385
Nešpecifikovaná nekompatibilita nezlučiteľný
Injekcia Erythromycin lactobionate
Injekcia Amobarbital sodium
3674
Nešpecifikovaná nekompatibilita nezlučiteľný
Injekcia Erythromycin lactobionate
Injekcia Amoxicillin sodium
3674
Okamžité zrážanie nezlučiteľný
Injekcia Erythromycin lactobionate 50 mg/ml
Injekcia Amoxicillin sodium / clavulanic acid 100/10 mg/ml
3824
Nešpecifikovaná nekompatibilita nezlučiteľný
Injekcia Erythromycin lactobionate
Injekcia Amoxicillin sodium / clavulanic acid
3674
Nešpecifikovaná nekompatibilita nezlučiteľný
Injekcia Erythromycin lactobionate
Injekcia Ampicillin sodium
3674
Nešpecifikovaná nekompatibilita nezlučiteľný
Injekcia Erythromycin lactobionate
Injekcia Ampicillin sodium - sulbactam sodium
3674
kompatibilný
Injekcia Erythromycin lactobionate 5 mg/ml
Injekcia Anidulafungin 0.5 mg/ml
5% glukóza 1982
Nešpecifikovaná nekompatibilita nezlučiteľný
Injekcia Erythromycin lactobionate
Injekcia Ascorbic acid
5089
Nešpecifikovaná nekompatibilita nezlučiteľný
Injekcia Erythromycin lactobionate
Injekcia Ascorbic acid
3674
Nešpecifikovaná nekompatibilita nezlučiteľný
Injekcia Erythromycin lactobionate
Injekcia Aztreonam
3674
kompatibilný
Injekcia Erythromycin lactobionate 5 mg/ml
Injekcia Bivalirudin 5 mg/ml
5% glukóza 1713
kompatibilný
Injekcia Erythromycin lactobionate
0,9% chlorid sodný 3674
Okamžité zrážanie nezlučiteľný
Injekcia Erythromycin lactobionate 50 mg/ml
Injekcia Caffeine 10 mg/ml
Žiadny 3964
Nešpecifikovaná nekompatibilita nezlučiteľný
Injekcia Erythromycin lactobionate
Injekcia Cefalotin sodium
3674
Nešpecifikovaná nekompatibilita nezlučiteľný
Injekcia Erythromycin lactobionate
Injekcia Cefamandole nafate
3674
Nešpecifikovaná nekompatibilita nezlučiteľný
Injekcia Erythromycin lactobionate
Injekcia Cefazolin sodium
3674
Zákal za jednu hodinu nezlučiteľný
Injekcia Erythromycin lactobionate 20 mg/ml
Injekcia Cefazolin sodium 220 mg/ml
805
Nešpecifikovaná nekompatibilita nezlučiteľný
Injekcia Erythromycin lactobionate
Injekcia Cefepime dihydrochloride
3674
Chemická nestabilita nezlučiteľný
Injekcia Erythromycin lactobionate 5 mg/ml
Injekcia Cefepime dihydrochloride 125 mg/ml
voda na injekciu 2141
Nešpecifikovaná nekompatibilita nezlučiteľný
Injekcia Erythromycin lactobionate
Injekcia Cefmenoxime
3674
Nešpecifikovaná nekompatibilita nezlučiteľný
Injekcia Erythromycin lactobionate
Injekcia Cefmetazole sodium
3674
Okamžité zrážanie nezlučiteľný
Injekcia Erythromycin lactobionate 10 & 50 mg/ml
Injekcia Cefmetazole sodium 100 mg/ml
voda na injekciu 93
Nešpecifikovaná nekompatibilita nezlučiteľný
Injekcia Erythromycin lactobionate
Injekcia Cefonicid sodium
3674
Nešpecifikovaná nekompatibilita nezlučiteľný
Injekcia Erythromycin lactobionate
Injekcia Cefoperazone sodium
3674
Nešpecifikovaná nekompatibilita nezlučiteľný
Injekcia Erythromycin lactobionate
Injekcia Ceforanide
3674
Nešpecifikovaná nekompatibilita nezlučiteľný
Injekcia Erythromycin lactobionate
Injekcia Cefotaxime sodium
3674
Nešpecifikovaná nekompatibilita nezlučiteľný
Injekcia Erythromycin lactobionate
Injekcia Cefoxitin sodium
3674
Nešpecifikovaná nekompatibilita nezlučiteľný
Injekcia Erythromycin lactobionate
Injekcia Cefpirome sulfate
3674
Nešpecifikovaná nekompatibilita nezlučiteľný
Injekcia Erythromycin lactobionate
Injekcia Ceftaroline fosamil
3674
Okamžité zrážanie nezlučiteľný
Injekcia Erythromycin lactobionate 5 mg/ml
Injekcia Ceftazidime 125 mg/ml
voda na injekciu 2141
Nešpecifikovaná nekompatibilita nezlučiteľný
Injekcia Erythromycin lactobionate
Injekcia Ceftazidime
3674
Okamžité zrážanie nezlučiteľný
Injekcia Erythromycin lactobionate 10 & 50 mg/ml
Injekcia Ceftazidime 83.3 mg/ml
1759
Nešpecifikovaná nekompatibilita nezlučiteľný
Injekcia Erythromycin lactobionate
Injekcia Ceftazidime Avibactam
3674
Nešpecifikovaná nekompatibilita nezlučiteľný
Injekcia Erythromycin lactobionate
Injekcia Ceftizoxime sodium
3674
Nešpecifikovaná nekompatibilita nezlučiteľný
Injekcia Erythromycin lactobionate
Injekcia Ceftobiprole medocaril sodium
3674
Nešpecifikovaná nekompatibilita nezlučiteľný
Injekcia Erythromycin lactobionate
Injekcia Ceftolozane / tazobactam
3674
Nešpecifikovaná nekompatibilita nezlučiteľný
Injekcia Erythromycin lactobionate
Injekcia Ceftriaxone disodium
3674
Nešpecifikovaná nekompatibilita nezlučiteľný
Injekcia Erythromycin lactobionate
Injekcia Cefuroxime sodium
3674
Nešpecifikovaná nekompatibilita nezlučiteľný
Injekcia Erythromycin lactobionate
Injekcia Cefuzonam
3674
Nešpecifikovaná nekompatibilita nezlučiteľný
Injekcia Erythromycin lactobionate
Injekcia Chloramphenicol sodium succinate
3674
Nešpecifikovaná nekompatibilita nezlučiteľný
Injekcia Erythromycin lactobionate
Injekcia Chlorpromazine hydrochloride
3674
kompatibilný
Injekcia Erythromycin lactobionate 5 & 50 mg/ml
Injekcia Diltiazem hydrochloride 5 mg/ml
0,9% chlorid sodný 198
Nešpecifikovaná nekompatibilita nezlučiteľný
Injekcia Erythromycin lactobionate
Injekcia Doripenem
3674
kompatibilný
Injekcia Erythromycin lactobionate 10 mg/ml
parenterálna výživa (binárna zmes) 939
kompatibilný
Injekcia Erythromycin lactobionate 5 mg/ml
Injekcia Cimetidine hydrochloride 3 mg/ml
0,9% chlorid sodný 1201
Okamžité zrážanie nezlučiteľný
Injekcia Erythromycin lactobionate 50 mg/ml
Injekcia Cloxacillin sodium 100 mg/ml
voda na injekciu 3012
Nešpecifikovaná nekompatibilita nezlučiteľný
Injekcia Erythromycin lactobionate
Injekcia Cloxacillin sodium
3674
Nešpecifikovaná nekompatibilita nezlučiteľný
Injekcia Erythromycin lactobionate
Injekcia Colistin mesilate sodium
3674
kompatibilný
Injekcia Erythromycin lactobionate 5 mg/ml
Injekcia Dexmedetomidine 4 µg/ml
0,9% chlorid sodný 1712
kompatibilný
Injekcia Erythromycin lactobionate 5 mg/ml
Injekcia Doxapram hydrochloride 2 mg/ml
5% glukóza 1802
Nešpecifikovaná nekompatibilita nezlučiteľný
Injekcia Erythromycin lactobionate
Injekcia Doxycycline hyclate
3674
kompatibilný
Injekcia Erythromycin lactobionate 5 mg/ml
Injekcia Enalaprilate 0.05 mg/ml
0,9% chlorid sodný 1315
Nešpecifikovaná nekompatibilita nezlučiteľný
Injekcia Erythromycin lactobionate
Injekcia Ertapenem
3674
kompatibilný
Injekcia Erythromycin lactobionate 5 mg/ml
Injekcia Esmolol hydrochloride 10 mg/ml
5% glukóza 384
kompatibilný
Injekcia Erythromycin lactobionate 2 mg/ml
Injekcia Famotidine
5% glukóza 397
kompatibilný
Injekcia Erythromycin lactobionate
5% glukóza 3674
kompatibilný
Injekcia Erythromycin lactobionate 5 mg/ml
Injekcia Fenoldopam mesylate 80 µg/ml
0,9% chlorid sodný 1803
Nešpecifikovaná nekompatibilita nezlučiteľný
Injekcia Erythromycin lactobionate
Injekcia Flucloxacillin sodium
3674
Okamžité zrážanie nezlučiteľný
Injekcia Erythromycin lactobionate 5 mg/ml
Injekcia Flucloxacillin sodium 20 mg/ml
0,9% chlorid sodný 1232
Okamžité zrážanie nezlučiteľný
Injekcia Erythromycin lactobionate 20 mg/ml
Injekcia Fluconazole 2 mg/ml
0,9% chlorid sodný 496
kompatibilný
Injekcia Erythromycin lactobionate 20 mg/ml
Injekcia Foscarnet sodium 24 mg/ml
0,9% chlorid sodný 1135
kompatibilný
Injekcia Erythromycin lactobionate 20 mg/ml
Injekcia Foscarnet sodium 24 mg/ml
Žiadny 73
Okamžité zrážanie nezlučiteľný
Injekcia Erythromycin lactobionate 5 mg/ml
Injekcia Furosemide 1 mg/ml
0,9% chlorid sodný 1232
Nešpecifikovaná nekompatibilita nezlučiteľný
Injekcia Erythromycin lactobionate
Injekcia Gentamicin sulfate
3643
Nešpecifikovaná nekompatibilita nezlučiteľný
Injekcia Erythromycin lactobionate
Injekcia Gentamicin sulfate
3520
Nešpecifikovaná nekompatibilita nezlučiteľný
Injekcia Erythromycin lactobionate
Injekcia Gentamicin sulfate
3674
Nešpecifikovaná nekompatibilita nezlučiteľný
Injekcia Erythromycin lactobionate
Injekcia Heparin sodium
3674
kompatibilný
Injekcia Erythromycin lactobionate 50 mg/ml
Ringerov laktátový roztok 4603
kompatibilný
Injekcia Erythromycin lactobionate 3.3 mg/ml
Injekcia Heparin sodium 50 UI/ml
Žiadny 317
kompatibilný
Injekcia Erythromycin lactobionate 50 mg/ml
parenterálna výživa (binárna zmes) 999
Nešpecifikovaná nekompatibilita nezlučiteľný
Injekcia Erythromycin lactobionate
Injekcia Heparin sodium
3540
kompatibilný
Injekcia Erythromycin lactobionate 5 mg/ml
Injekcia Hetastarch 60 mg/ml
Špeciálne rozpúšťadlá 1721
kompatibilný
Injekcia Erythromycin lactobionate 5 mg/ml
Injekcia Hydromorphone hydrochloride 0.2 mg/ml
5% glukóza 405
kompatibilný
Injekcia Erythromycin lactobionate 2 mg/ml
Injekcia Idarubicin hydrochloride 1 mg/ml
0,9% chlorid sodný 491
Nešpecifikovaná nekompatibilita nezlučiteľný
Injekcia Erythromycin lactobionate
Injekcia Imipenem - cilastatin sodium
3674
Nešpecifikovaná nekompatibilita nezlučiteľný
Injekcia Erythromycin lactobionate
Injekcia Kanamycin sulfate
3674
kompatibilný
Injekcia Erythromycin lactobionate 5 mg/ml
Injekcia Labetalol hydrochloride 1 mg/ml
5% glukóza 386
Nešpecifikovaná nekompatibilita nezlučiteľný
Injekcia Erythromycin lactobionate
Injekcia Levomepromazine
3674
Chemická nestabilita nezlučiteľný
Injekcia Erythromycin lactobionate 5 mg/ml
Injekcia Linezolid 2 mg/ml
Žiadny 1607
Nešpecifikovaná nekompatibilita nezlučiteľný
Injekcia Erythromycin lactobionate
Injekcia Linezolid
3560
kompatibilný
Injekcia Erythromycin lactobionate 5 mg/ml
Injekcia Linezolid 2 mg/ml
Žiadny 1925
kompatibilný
Injekcia Erythromycin lactobionate 5 mg/ml
Injekcia Lorazepam 0.33 mg/ml
0,9% chlorid sodný 186
kompatibilný
Injekcia Erythromycin lactobionate 5 mg/ml
Injekcia Magnesium sulfate 16.67 >> 100 mg/ml
5% glukóza 1047
kompatibilný
Injekcia Erythromycin lactobionate 50 mg/ml
Injekcia Meropenem 50 mg/ml
voda na injekciu 4319
Nešpecifikovaná nekompatibilita nezlučiteľný
Injekcia Erythromycin lactobionate
Injekcia Meropenem
3674
Nešpecifikovaná nekompatibilita nezlučiteľný
Injekcia Erythromycin lactobionate
Injekcia Mesna
3602
Nešpecifikovaná nekompatibilita nezlučiteľný
Injekcia Erythromycin lactobionate
Injekcia Metaraminol
5046
Nešpecifikovaná nekompatibilita nezlučiteľný
Injekcia Erythromycin lactobionate
Injekcia Methohexital sodium
3674
kompatibilný
Injekcia Erythromycin lactobionate 5 mg/ml
Injekcia Midazolam hydrochloride 5 mg/ml
Žiadny 186
Nešpecifikovaná nekompatibilita nezlučiteľný
Injekcia Erythromycin lactobionate
Injekcia Minocycline hydrochloride
3674
kompatibilný
Injekcia Erythromycin lactobionate 5 mg/ml
Injekcia Morphine sulfate 1 mg/ml
5% glukóza 405
Nešpecifikovaná nekompatibilita nezlučiteľný
Injekcia Erythromycin lactobionate
Injekcia Moxalactam
3674
Nešpecifikovaná nekompatibilita nezlučiteľný
Injekcia Erythromycin lactobionate
Injekcia N-acetylcysteine 200 mg/ml
Žiadny 3766
Nešpecifikovaná nekompatibilita nezlučiteľný
Injekcia Erythromycin lactobionate
Injekcia Nafcillin sodium
3674
kompatibilný
Injekcia Erythromycin lactobionate 50 mg/ml
Injekcia Naloxone hydrochloride 0.4 mg/ml
Žiadny 3408
Nešpecifikovaná nekompatibilita nezlučiteľný
Injekcia Erythromycin lactobionate
Injekcia Netilmicin sulfate
3674
kompatibilný
Injekcia Erythromycin lactobionate 5 mg/ml
Injekcia Nicardipine hydrochloride 0.1 mg/ml
0,9% chlorid sodný 1490
kompatibilný
Injekcia Erythromycin lactobionate 5 mg/ml
Injekcia Nicardipine hydrochloride 0.1 mg/ml
5% glukóza 1490
Nešpecifikovaná nekompatibilita nezlučiteľný
Injekcia Erythromycin lactobionate
Injekcia Oxacillin sodium
3674
Nešpecifikovaná nekompatibilita nezlučiteľný
Injekcia Erythromycin lactobionate
Injekcia Oxytetracycline hydrochloride
3674
kompatibilný
Injekcia Erythromycin lactobionate 50 mg/ml
Injekcia Paracetamol 10 mg/ml
4742
Nešpecifikovaná nekompatibilita nezlučiteľný
Injekcia Erythromycin lactobionate
Injekcia Penicillin G potassium
3674
Nešpecifikovaná nekompatibilita nezlučiteľný
Injekcia Erythromycin lactobionate
Injekcia Penicillin G sodium
3674
Nešpecifikovaná nekompatibilita nezlučiteľný
Injekcia Erythromycin lactobionate
Injekcia Pentobarbital sodium
3674
kompatibilný
Injekcia Erythromycin lactobionate 5 mg/ml
Injekcia Pethidine hydrochloride 10 mg/ml
5% glukóza 405
Nešpecifikovaná nekompatibilita nezlučiteľný
Injekcia Erythromycin lactobionate
Injekcia Phenobarbital sodium
3674
Nešpecifikovaná nekompatibilita nezlučiteľný
Injekcia Erythromycin lactobionate
Injekcia Phenytoin sodium
3674
Nešpecifikovaná nekompatibilita nezlučiteľný
Injekcia Erythromycin lactobionate
Injekcia Piperacillin sodium
3674
Nešpecifikovaná nekompatibilita nezlučiteľný
Injekcia Erythromycin lactobionate
Injekcia Piperacillin sodium / tazobactam
3674
Nešpecifikovaná nekompatibilita nezlučiteľný
Injekcia Erythromycin lactobionate
Injekcia Plazomicin sulfate
3674
Nešpecifikovaná nekompatibilita nezlučiteľný
Injekcia Erythromycin lactobionate
Injekcia Prochlorperazine edysilate
3674
Nešpecifikovaná nekompatibilita nezlučiteľný
Injekcia Erythromycin lactobionate
Injekcia Promethazine hydrochloride
3674
Nešpecifikovaná nekompatibilita nezlučiteľný
Injekcia Erythromycin lactobionate
Injekcia Pyridoxine hydrochloride
3674
Nešpecifikovaná nekompatibilita nezlučiteľný
Injekcia Erythromycin lactobionate
Injekcia Rocuronium bromide
3564
kompatibilný
Injekcia Erythromycin lactobionate 50 mg/ml
Injekcia Salbutamol sulfate 1 mg/ml
Žiadny 3216
Nešpecifikovaná nekompatibilita nezlučiteľný
Injekcia Erythromycin lactobionate
Injekcia Streptomycin sulfate
3674
kompatibilný
Injekcia Erythromycin lactobionate 20 mg/ml
Injekcia Tacrolimus 1000 µg/ml
0,9% chlorid sodný 479
Nešpecifikovaná nekompatibilita nezlučiteľný
Injekcia Erythromycin lactobionate
Injekcia Temocilline
3674
kompatibilný
Injekcia Erythromycin lactobionate 5 mg/ml
Injekcia Temocilline 83.33 mg/ml
voda na injekciu 2231
kompatibilný
Injekcia Erythromycin lactobionate 3.3 mg/ml
Injekcia Theophylline 4 mg/ml
Žiadny 317
Okamžité zrážanie nezlučiteľný
Injekcia Erythromycin lactobionate 50 mg/ml
Injekcia Thiopental sodium 25 mg/ml
0,9% chlorid sodný 3767
Nešpecifikovaná nekompatibilita nezlučiteľný
Injekcia Erythromycin lactobionate
Injekcia Thiopental sodium
3674
Nešpecifikovaná nekompatibilita nezlučiteľný
Injekcia Erythromycin lactobionate
Injekcia Ticarcillin / clavulanic acid
3674
Nešpecifikovaná nekompatibilita nezlučiteľný
Injekcia Erythromycin lactobionate
Injekcia Tigecycline
3674
Nešpecifikovaná nekompatibilita nezlučiteľný
Injekcia Erythromycin lactobionate
Injekcia Tobramycin sulfate
3674
Nešpecifikovaná nekompatibilita nezlučiteľný
Injekcia Erythromycin lactobionate
Injekcia Triflupromazine hydrochloride
3674
kompatibilný
Injekcia Erythromycin lactobionate 5 mg/ml
Injekcia Vancomycin hydrochloride 10 mg/ml
5% glukóza 3385
kompatibilný
Injekcia Erythromycin lactobionate 2 mg/ml
Injekcia Verapamil hydrochloride 0.08 mg/ml
0,9% chlorid sodný 1057
kompatibilný
Injekcia Erythromycin lactobionate 2 mg/ml
Injekcia Verapamil hydrochloride 0.08 mg/ml
5% glukóza 1057
kompatibilný
Injekcia Erythromycin lactobionate 20 mg/ml
Injekcia Zidovudine 4 mg/ml
5% glukóza 337

  Mentions Légales