zadnja posodobitev :
18/03/2026
Antibiotik   Erythromycin lactobionate  
Brizgalka
Stabilnost raztopine Stabilnost mešanice Faktorji, ki vplivajo na stabilnost Kompatibilnost način aplikacije Viri pdf
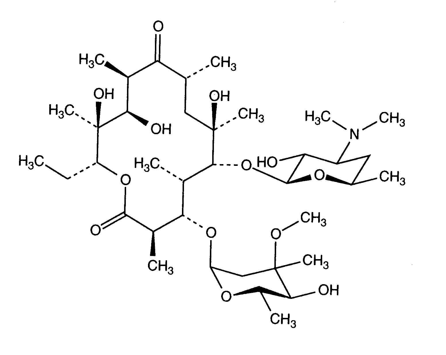
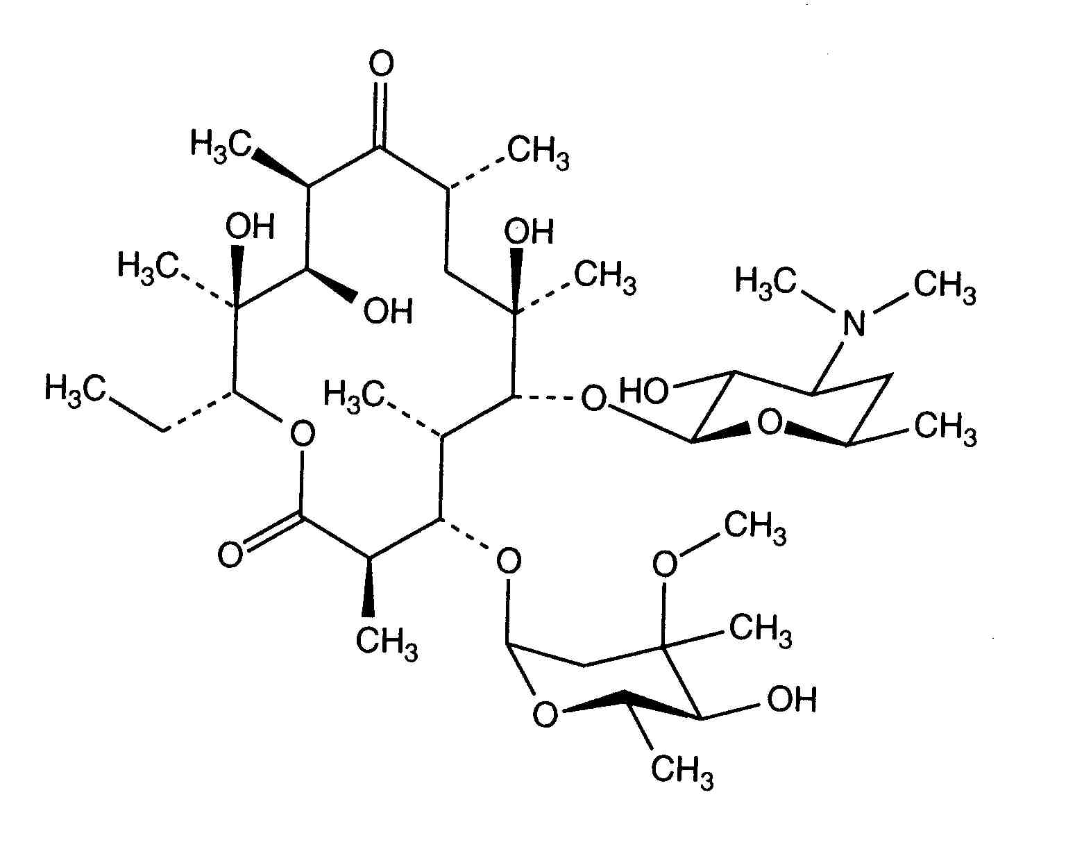
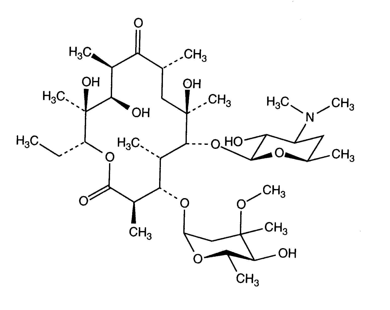
   Kemična formula  

Lastniško ime   Lastniško ime     

Sestava pomožnih snovi je med paralelami lahko različna

Abboticin Danska, Finska, Norveška, Švedska
Eristin Argentina
Erithromicina Čile
Erycinum Nemčija
Erythrocin Avstralija, Avstrija, Irska, Kanada, Nemčija, nova Zelandija, Savdska Arabija, Velika Britanija, Združene države Amerike
Erythrocin lactobionat ADD Vantage Avstralija, Avstrija
Erythrocine Belgija, Francija, Luksemburg, Nizozemska, Tunizija
Erythromycin Madžarska, Nemčija, Savdska Arabija, Velika Britanija, Združene države Amerike
Erythromycine Luksemburg
Erythromycinum Poljska
Pantomicina Čile, Španija
Kompatibilnost   Brizgalka   Kompatibilnost : Erythromycin lactobionate              
Ta zaslon prikazuje združljivost ali nezdružljivost s, v tem primeru, vrsto nezdružljivosti (padavine, sprememba barve, sprememba emulzije itd.). Tu prikazane združljivosti so večinoma samo fizične, pri čemer se kemijska stabilnost vsake molekule redko ocenjuje. Vrednotenje teh zmesi so preučevali, da bi preučili možnost pacientovega dajanja na mestu Y. Teh podatkov ni mogoče uporabiti za pripravo mešanic v vrečkah ali brizgah. Ta vrsta informacij je na voljo na zaslonu "Obstojnost v mešanici".
Sestava Topilo Viri
Združljivo
Brizgalka Erythromycin lactobionate 4 mg/ml
Brizgalka Aciclovir sodium 5 mg/ml
Glukoza 5% 336
Nedoločena nezdružljivost Nezdružljivo
Brizgalka Erythromycin lactobionate
Brizgalka Amikacin sulfate
3674
Nedoločena nezdružljivost Nezdružljivo
Brizgalka Erythromycin lactobionate
Brizgalka Amikacin sulfate
3549
Nedoločena nezdružljivost Nezdružljivo
Brizgalka Erythromycin lactobionate
Brizgalka Aminophylline
3674
Združljivo
Brizgalka Erythromycin lactobionate 2 mg/ml
Brizgalka Amiodarone hydrochloride 4 mg/ml
Natrijev klorid 0,9% 385
Združljivo
Brizgalka Erythromycin lactobionate 2 mg/ml
Brizgalka Amiodarone hydrochloride 4 mg/ml
Glukoza 5% 385
Nedoločena nezdružljivost Nezdružljivo
Brizgalka Erythromycin lactobionate
Brizgalka Amobarbital sodium
3674
Nedoločena nezdružljivost Nezdružljivo
Brizgalka Erythromycin lactobionate
Brizgalka Amoxicillin sodium
3674
Takoj padavine Nezdružljivo
Brizgalka Erythromycin lactobionate 50 mg/ml
Brizgalka Amoxicillin sodium / clavulanic acid 100/10 mg/ml
3824
Nedoločena nezdružljivost Nezdružljivo
Brizgalka Erythromycin lactobionate
Brizgalka Amoxicillin sodium / clavulanic acid
3674
Nedoločena nezdružljivost Nezdružljivo
Brizgalka Erythromycin lactobionate
Brizgalka Ampicillin sodium
3674
Nedoločena nezdružljivost Nezdružljivo
Brizgalka Erythromycin lactobionate
Brizgalka Ampicillin sodium - sulbactam sodium
3674
Združljivo
Brizgalka Erythromycin lactobionate 5 mg/ml
Brizgalka Anidulafungin 0.5 mg/ml
Glukoza 5% 1982
Nedoločena nezdružljivost Nezdružljivo
Brizgalka Erythromycin lactobionate
Brizgalka Ascorbic acid
5089
Nedoločena nezdružljivost Nezdružljivo
Brizgalka Erythromycin lactobionate
Brizgalka Ascorbic acid
3674
Nedoločena nezdružljivost Nezdružljivo
Brizgalka Erythromycin lactobionate
Brizgalka Aztreonam
3674
Združljivo
Brizgalka Erythromycin lactobionate 5 mg/ml
Brizgalka Bivalirudin 5 mg/ml
Glukoza 5% 1713
Združljivo
Brizgalka Erythromycin lactobionate
Natrijev klorid 0,9% 3674
Takoj padavine Nezdružljivo
Brizgalka Erythromycin lactobionate 50 mg/ml
Brizgalka Caffeine 10 mg/ml
Nobeden 3964
Nedoločena nezdružljivost Nezdružljivo
Brizgalka Erythromycin lactobionate
Brizgalka Cefalotin sodium
3674
Nedoločena nezdružljivost Nezdružljivo
Brizgalka Erythromycin lactobionate
Brizgalka Cefamandole nafate
3674
Nedoločena nezdružljivost Nezdružljivo
Brizgalka Erythromycin lactobionate
Brizgalka Cefazolin sodium
3674
Motnost v eni uri Nezdružljivo
Brizgalka Erythromycin lactobionate 20 mg/ml
Brizgalka Cefazolin sodium 220 mg/ml
805
Nedoločena nezdružljivost Nezdružljivo
Brizgalka Erythromycin lactobionate
Brizgalka Cefepime dihydrochloride
3674
Kemijska nestabilnost Nezdružljivo
Brizgalka Erythromycin lactobionate 5 mg/ml
Brizgalka Cefepime dihydrochloride 125 mg/ml
Voda za injekcije 2141
Nedoločena nezdružljivost Nezdružljivo
Brizgalka Erythromycin lactobionate
Brizgalka Cefmenoxime
3674
Nedoločena nezdružljivost Nezdružljivo
Brizgalka Erythromycin lactobionate
Brizgalka Cefmetazole sodium
3674
Takoj padavine Nezdružljivo
Brizgalka Erythromycin lactobionate 10 & 50 mg/ml
Brizgalka Cefmetazole sodium 100 mg/ml
Voda za injekcije 93
Nedoločena nezdružljivost Nezdružljivo
Brizgalka Erythromycin lactobionate
Brizgalka Cefonicid sodium
3674
Nedoločena nezdružljivost Nezdružljivo
Brizgalka Erythromycin lactobionate
Brizgalka Cefoperazone sodium
3674
Nedoločena nezdružljivost Nezdružljivo
Brizgalka Erythromycin lactobionate
Brizgalka Ceforanide
3674
Nedoločena nezdružljivost Nezdružljivo
Brizgalka Erythromycin lactobionate
Brizgalka Cefotaxime sodium
3674
Nedoločena nezdružljivost Nezdružljivo
Brizgalka Erythromycin lactobionate
Brizgalka Cefoxitin sodium
3674
Nedoločena nezdružljivost Nezdružljivo
Brizgalka Erythromycin lactobionate
Brizgalka Cefpirome sulfate
3674
Nedoločena nezdružljivost Nezdružljivo
Brizgalka Erythromycin lactobionate
Brizgalka Ceftaroline fosamil
3674
Takoj padavine Nezdružljivo
Brizgalka Erythromycin lactobionate 5 mg/ml
Brizgalka Ceftazidime 125 mg/ml
Voda za injekcije 2141
Nedoločena nezdružljivost Nezdružljivo
Brizgalka Erythromycin lactobionate
Brizgalka Ceftazidime
3674
Takoj padavine Nezdružljivo
Brizgalka Erythromycin lactobionate 10 & 50 mg/ml
Brizgalka Ceftazidime 83.3 mg/ml
1759
Nedoločena nezdružljivost Nezdružljivo
Brizgalka Erythromycin lactobionate
Brizgalka Ceftazidime Avibactam
3674
Nedoločena nezdružljivost Nezdružljivo
Brizgalka Erythromycin lactobionate
Brizgalka Ceftizoxime sodium
3674
Nedoločena nezdružljivost Nezdružljivo
Brizgalka Erythromycin lactobionate
Brizgalka Ceftobiprole medocaril sodium
3674
Nedoločena nezdružljivost Nezdružljivo
Brizgalka Erythromycin lactobionate
Brizgalka Ceftolozane / tazobactam
3674
Nedoločena nezdružljivost Nezdružljivo
Brizgalka Erythromycin lactobionate
Brizgalka Ceftriaxone disodium
3674
Nedoločena nezdružljivost Nezdružljivo
Brizgalka Erythromycin lactobionate
Brizgalka Cefuroxime sodium
3674
Nedoločena nezdružljivost Nezdružljivo
Brizgalka Erythromycin lactobionate
Brizgalka Cefuzonam
3674
Nedoločena nezdružljivost Nezdružljivo
Brizgalka Erythromycin lactobionate
Brizgalka Chloramphenicol sodium succinate
3674
Nedoločena nezdružljivost Nezdružljivo
Brizgalka Erythromycin lactobionate
Brizgalka Chlorpromazine hydrochloride
3674
Združljivo
Brizgalka Erythromycin lactobionate 5 & 50 mg/ml
Brizgalka Diltiazem hydrochloride 5 mg/ml
Natrijev klorid 0,9% 198
Nedoločena nezdružljivost Nezdružljivo
Brizgalka Erythromycin lactobionate
Brizgalka Doripenem
3674
Združljivo
Brizgalka Erythromycin lactobionate 10 mg/ml
Parenteralna prehrana (binarno zmes) 939
Združljivo
Brizgalka Erythromycin lactobionate 5 mg/ml
Brizgalka Cimetidine hydrochloride 3 mg/ml
Natrijev klorid 0,9% 1201
Takoj padavine Nezdružljivo
Brizgalka Erythromycin lactobionate 50 mg/ml
Brizgalka Cloxacillin sodium 100 mg/ml
Voda za injekcije 3012
Nedoločena nezdružljivost Nezdružljivo
Brizgalka Erythromycin lactobionate
Brizgalka Cloxacillin sodium
3674
Nedoločena nezdružljivost Nezdružljivo
Brizgalka Erythromycin lactobionate
Brizgalka Colistin mesilate sodium
3674
Združljivo
Brizgalka Erythromycin lactobionate 5 mg/ml
Brizgalka Dexmedetomidine 4 µg/ml
Natrijev klorid 0,9% 1712
Združljivo
Brizgalka Erythromycin lactobionate 5 mg/ml
Brizgalka Doxapram hydrochloride 2 mg/ml
Glukoza 5% 1802
Nedoločena nezdružljivost Nezdružljivo
Brizgalka Erythromycin lactobionate
Brizgalka Doxycycline hyclate
3674
Združljivo
Brizgalka Erythromycin lactobionate 5 mg/ml
Brizgalka Enalaprilate 0.05 mg/ml
Natrijev klorid 0,9% 1315
Nedoločena nezdružljivost Nezdružljivo
Brizgalka Erythromycin lactobionate
Brizgalka Ertapenem
3674
Združljivo
Brizgalka Erythromycin lactobionate 5 mg/ml
Brizgalka Esmolol hydrochloride 10 mg/ml
Glukoza 5% 384
Združljivo
Brizgalka Erythromycin lactobionate 2 mg/ml
Brizgalka Famotidine
Glukoza 5% 397
Združljivo
Brizgalka Erythromycin lactobionate
Glukoza 5% 3674
Združljivo
Brizgalka Erythromycin lactobionate 5 mg/ml
Brizgalka Fenoldopam mesylate 80 µg/ml
Natrijev klorid 0,9% 1803
Nedoločena nezdružljivost Nezdružljivo
Brizgalka Erythromycin lactobionate
Brizgalka Flucloxacillin sodium
3674
Takoj padavine Nezdružljivo
Brizgalka Erythromycin lactobionate 5 mg/ml
Brizgalka Flucloxacillin sodium 20 mg/ml
Natrijev klorid 0,9% 1232
Takoj padavine Nezdružljivo
Brizgalka Erythromycin lactobionate 20 mg/ml
Brizgalka Fluconazole 2 mg/ml
Natrijev klorid 0,9% 496
Združljivo
Brizgalka Erythromycin lactobionate 20 mg/ml
Brizgalka Foscarnet sodium 24 mg/ml
Natrijev klorid 0,9% 1135
Združljivo
Brizgalka Erythromycin lactobionate 20 mg/ml
Brizgalka Foscarnet sodium 24 mg/ml
Nobeden 73
Takoj padavine Nezdružljivo
Brizgalka Erythromycin lactobionate 5 mg/ml
Brizgalka Furosemide 1 mg/ml
Natrijev klorid 0,9% 1232
Nedoločena nezdružljivost Nezdružljivo
Brizgalka Erythromycin lactobionate
Brizgalka Gentamicin sulfate
3643
Nedoločena nezdružljivost Nezdružljivo
Brizgalka Erythromycin lactobionate
Brizgalka Gentamicin sulfate
3520
Nedoločena nezdružljivost Nezdružljivo
Brizgalka Erythromycin lactobionate
Brizgalka Gentamicin sulfate
3674
Nedoločena nezdružljivost Nezdružljivo
Brizgalka Erythromycin lactobionate
Brizgalka Heparin sodium
3674
Združljivo
Brizgalka Erythromycin lactobionate 50 mg/ml
Ringerjev laktat 4603
Združljivo
Brizgalka Erythromycin lactobionate 3.3 mg/ml
Brizgalka Heparin sodium 50 UI/ml
Nobeden 317
Združljivo
Brizgalka Erythromycin lactobionate 50 mg/ml
Parenteralna prehrana (binarno zmes) 999
Nedoločena nezdružljivost Nezdružljivo
Brizgalka Erythromycin lactobionate
Brizgalka Heparin sodium
3540
Združljivo
Brizgalka Erythromycin lactobionate 5 mg/ml
Brizgalka Hetastarch 60 mg/ml
Posebni topila 1721
Združljivo
Brizgalka Erythromycin lactobionate 5 mg/ml
Brizgalka Hydromorphone hydrochloride 0.2 mg/ml
Glukoza 5% 405
Združljivo
Brizgalka Erythromycin lactobionate 2 mg/ml
Brizgalka Idarubicin hydrochloride 1 mg/ml
Natrijev klorid 0,9% 491
Nedoločena nezdružljivost Nezdružljivo
Brizgalka Erythromycin lactobionate
Brizgalka Imipenem - cilastatin sodium
3674
Nedoločena nezdružljivost Nezdružljivo
Brizgalka Erythromycin lactobionate
Brizgalka Kanamycin sulfate
3674
Združljivo
Brizgalka Erythromycin lactobionate 5 mg/ml
Brizgalka Labetalol hydrochloride 1 mg/ml
Glukoza 5% 386
Nedoločena nezdružljivost Nezdružljivo
Brizgalka Erythromycin lactobionate
Brizgalka Levomepromazine
3674
Kemijska nestabilnost Nezdružljivo
Brizgalka Erythromycin lactobionate 5 mg/ml
Brizgalka Linezolid 2 mg/ml
Nobeden 1607
Nedoločena nezdružljivost Nezdružljivo
Brizgalka Erythromycin lactobionate
Brizgalka Linezolid
3560
Združljivo
Brizgalka Erythromycin lactobionate 5 mg/ml
Brizgalka Linezolid 2 mg/ml
Nobeden 1925
Združljivo
Brizgalka Erythromycin lactobionate 5 mg/ml
Brizgalka Lorazepam 0.33 mg/ml
Natrijev klorid 0,9% 186
Združljivo
Brizgalka Erythromycin lactobionate 5 mg/ml
Brizgalka Magnesium sulfate 16.67 >> 100 mg/ml
Glukoza 5% 1047
Združljivo
Brizgalka Erythromycin lactobionate 50 mg/ml
Brizgalka Meropenem 50 mg/ml
Voda za injekcije 4319
Nedoločena nezdružljivost Nezdružljivo
Brizgalka Erythromycin lactobionate
Brizgalka Meropenem
3674
Nedoločena nezdružljivost Nezdružljivo
Brizgalka Erythromycin lactobionate
Brizgalka Mesna
3602
Nedoločena nezdružljivost Nezdružljivo
Brizgalka Erythromycin lactobionate
Brizgalka Metaraminol
5046
Nedoločena nezdružljivost Nezdružljivo
Brizgalka Erythromycin lactobionate
Brizgalka Methohexital sodium
3674
Združljivo
Brizgalka Erythromycin lactobionate 5 mg/ml
Brizgalka Midazolam hydrochloride 5 mg/ml
Nobeden 186
Nedoločena nezdružljivost Nezdružljivo
Brizgalka Erythromycin lactobionate
Brizgalka Minocycline hydrochloride
3674
Združljivo
Brizgalka Erythromycin lactobionate 5 mg/ml
Brizgalka Morphine sulfate 1 mg/ml
Glukoza 5% 405
Nedoločena nezdružljivost Nezdružljivo
Brizgalka Erythromycin lactobionate
Brizgalka Moxalactam
3674
Nedoločena nezdružljivost Nezdružljivo
Brizgalka Erythromycin lactobionate
Brizgalka N-acetylcysteine 200 mg/ml
Nobeden 3766
Nedoločena nezdružljivost Nezdružljivo
Brizgalka Erythromycin lactobionate
Brizgalka Nafcillin sodium
3674
Združljivo
Brizgalka Erythromycin lactobionate 50 mg/ml
Brizgalka Naloxone hydrochloride 0.4 mg/ml
Nobeden 3408
Nedoločena nezdružljivost Nezdružljivo
Brizgalka Erythromycin lactobionate
Brizgalka Netilmicin sulfate
3674
Združljivo
Brizgalka Erythromycin lactobionate 5 mg/ml
Brizgalka Nicardipine hydrochloride 0.1 mg/ml
Natrijev klorid 0,9% 1490
Združljivo
Brizgalka Erythromycin lactobionate 5 mg/ml
Brizgalka Nicardipine hydrochloride 0.1 mg/ml
Glukoza 5% 1490
Nedoločena nezdružljivost Nezdružljivo
Brizgalka Erythromycin lactobionate
Brizgalka Oxacillin sodium
3674
Nedoločena nezdružljivost Nezdružljivo
Brizgalka Erythromycin lactobionate
Brizgalka Oxytetracycline hydrochloride
3674
Združljivo
Brizgalka Erythromycin lactobionate 50 mg/ml
Brizgalka Paracetamol 10 mg/ml
4742
Nedoločena nezdružljivost Nezdružljivo
Brizgalka Erythromycin lactobionate
Brizgalka Penicillin G potassium
3674
Nedoločena nezdružljivost Nezdružljivo
Brizgalka Erythromycin lactobionate
Brizgalka Penicillin G sodium
3674
Nedoločena nezdružljivost Nezdružljivo
Brizgalka Erythromycin lactobionate
Brizgalka Pentobarbital sodium
3674
Združljivo
Brizgalka Erythromycin lactobionate 5 mg/ml
Brizgalka Pethidine hydrochloride 10 mg/ml
Glukoza 5% 405
Nedoločena nezdružljivost Nezdružljivo
Brizgalka Erythromycin lactobionate
Brizgalka Phenobarbital sodium
3674
Nedoločena nezdružljivost Nezdružljivo
Brizgalka Erythromycin lactobionate
Brizgalka Phenytoin sodium
3674
Nedoločena nezdružljivost Nezdružljivo
Brizgalka Erythromycin lactobionate
Brizgalka Piperacillin sodium
3674
Nedoločena nezdružljivost Nezdružljivo
Brizgalka Erythromycin lactobionate
Brizgalka Piperacillin sodium / tazobactam
3674
Nedoločena nezdružljivost Nezdružljivo
Brizgalka Erythromycin lactobionate
Brizgalka Plazomicin sulfate
3674
Nedoločena nezdružljivost Nezdružljivo
Brizgalka Erythromycin lactobionate
Brizgalka Prochlorperazine edysilate
3674
Nedoločena nezdružljivost Nezdružljivo
Brizgalka Erythromycin lactobionate
Brizgalka Promethazine hydrochloride
3674
Nedoločena nezdružljivost Nezdružljivo
Brizgalka Erythromycin lactobionate
Brizgalka Pyridoxine hydrochloride
3674
Nedoločena nezdružljivost Nezdružljivo
Brizgalka Erythromycin lactobionate
Brizgalka Rocuronium bromide
3564
Združljivo
Brizgalka Erythromycin lactobionate 50 mg/ml
Brizgalka Salbutamol sulfate 1 mg/ml
Nobeden 3216
Nedoločena nezdružljivost Nezdružljivo
Brizgalka Erythromycin lactobionate
Brizgalka Streptomycin sulfate
3674
Združljivo
Brizgalka Erythromycin lactobionate 20 mg/ml
Brizgalka Tacrolimus 1000 µg/ml
Natrijev klorid 0,9% 479
Nedoločena nezdružljivost Nezdružljivo
Brizgalka Erythromycin lactobionate
Brizgalka Temocilline
3674
Združljivo
Brizgalka Erythromycin lactobionate 5 mg/ml
Brizgalka Temocilline 83.33 mg/ml
Voda za injekcije 2231
Združljivo
Brizgalka Erythromycin lactobionate 3.3 mg/ml
Brizgalka Theophylline 4 mg/ml
Nobeden 317
Takoj padavine Nezdružljivo
Brizgalka Erythromycin lactobionate 50 mg/ml
Brizgalka Thiopental sodium 25 mg/ml
Natrijev klorid 0,9% 3767
Nedoločena nezdružljivost Nezdružljivo
Brizgalka Erythromycin lactobionate
Brizgalka Thiopental sodium
3674
Nedoločena nezdružljivost Nezdružljivo
Brizgalka Erythromycin lactobionate
Brizgalka Ticarcillin / clavulanic acid
3674
Nedoločena nezdružljivost Nezdružljivo
Brizgalka Erythromycin lactobionate
Brizgalka Tigecycline
3674
Nedoločena nezdružljivost Nezdružljivo
Brizgalka Erythromycin lactobionate
Brizgalka Tobramycin sulfate
3674
Nedoločena nezdružljivost Nezdružljivo
Brizgalka Erythromycin lactobionate
Brizgalka Triflupromazine hydrochloride
3674
Združljivo
Brizgalka Erythromycin lactobionate 5 mg/ml
Brizgalka Vancomycin hydrochloride 10 mg/ml
Glukoza 5% 3385
Združljivo
Brizgalka Erythromycin lactobionate 2 mg/ml
Brizgalka Verapamil hydrochloride 0.08 mg/ml
Natrijev klorid 0,9% 1057
Združljivo
Brizgalka Erythromycin lactobionate 2 mg/ml
Brizgalka Verapamil hydrochloride 0.08 mg/ml
Glukoza 5% 1057
Združljivo
Brizgalka Erythromycin lactobionate 20 mg/ml
Brizgalka Zidovudine 4 mg/ml
Glukoza 5% 337

  Mentions Légales