Ostatnia aktualizacja :
18/03/2026
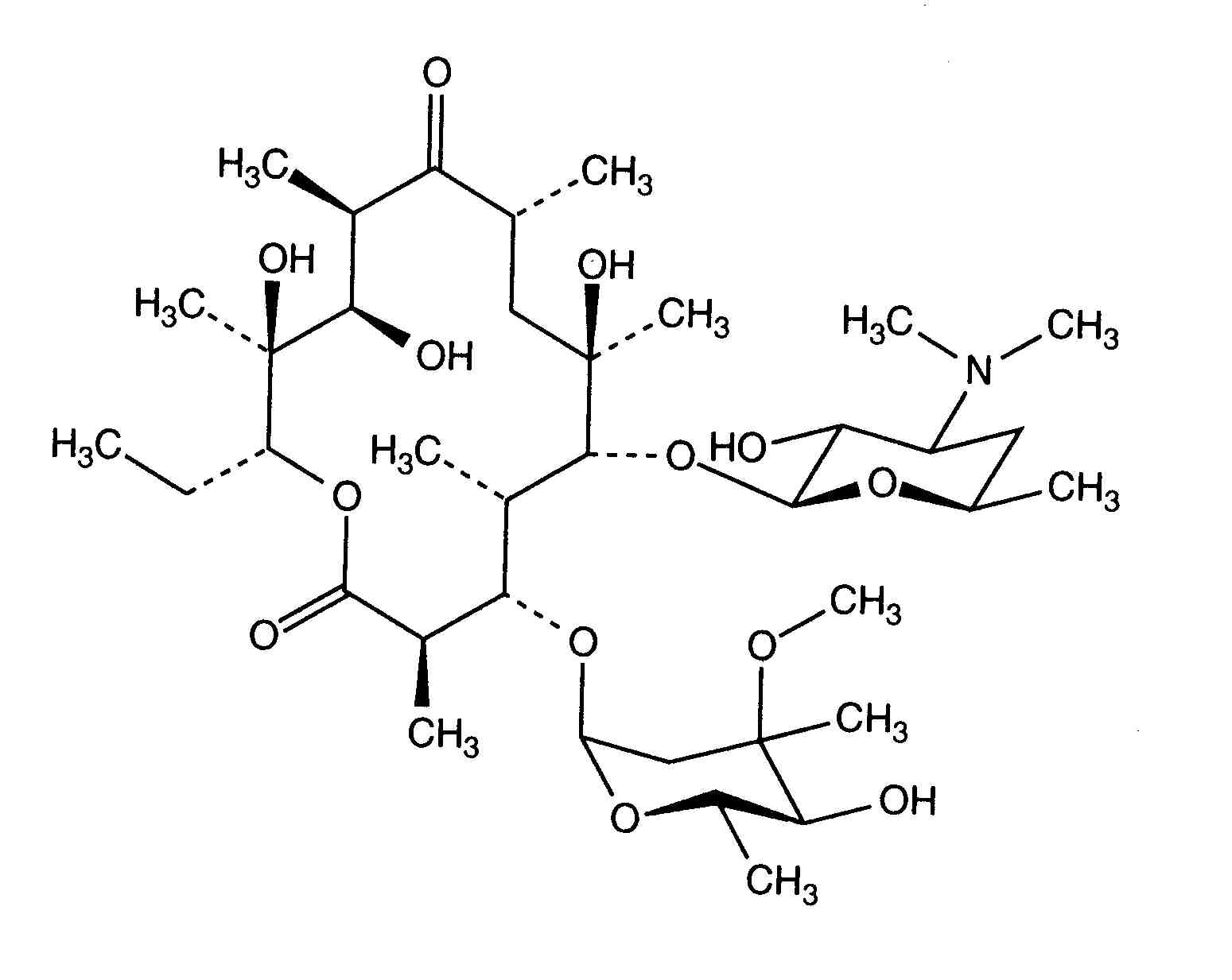
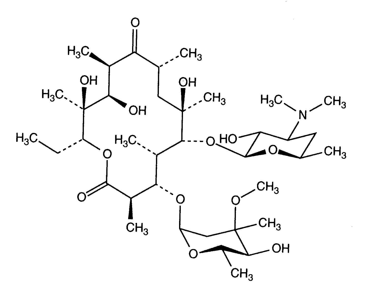
Antybiotyk   Erythromycin lactobionate  
Injekcje
Trwałość roztworów Trwałość w mieszaninie Czynnik wpływający na trwałość Zgodność Sposób podania Bibliografia pdf
   Struktura chemiczna  

Nazwa handlowa   Nazwa handlowa     

Trade names are indicative and excipients composition can be different depending on the country and manufacturers

Abboticin Dania, Finlandia, Norwegia, Szwecja
Eristin Argentyna
Erithromicina Chile
Erycinum Niemcy
Erythrocin Arabia Saudyjska, Australia, Austria, Irlandia, Kanada, Niemcy, nowa Zelandia, Stany Zjednoczone Ameryki, Wielka Brytania
Erythrocin lactobionat ADD Vantage Australia, Austria
Erythrocine Belgia, Francja , Holandia, Luksemburg, Tunisie
Erythromycin Arabia Saudyjska, Niemcy, Stany Zjednoczone Ameryki, Węgry, Wielka Brytania
Erythromycine Luksemburg
Erythromycinum Polska
Pantomicina Chile, Hiszpania
Zgodność   Injekcje   Zgodność : Erythromycin lactobionate              
Ekran ten wskazuje na kompatybilności lub niezgodności z, w tym przypadku, rodzajem niezgodności (strącanie, zmiana koloru, modyfikacja emulsji, itp.). Przedstawione tutaj kompatybilności są głównie fizyczne, a stabilność chemiczna każdej cząsteczki jest rzadko oceniana. Ocenę tych mieszanin badano w celu rozważenia możliwości podania pacjentowi w miejscu Y. Dane te nie mogą być wykorzystywane do sporządzania mieszanin z wyprzedzeniem w workach lub strzykawkach. Tego typu informacje są dostępne na ekranie „Stabilność w mieszaninie”.
Związek Rozpuszczalnik Bibliografia
Zgodny
Injekcje Erythromycin lactobionate 4 mg/ml
Injekcje Aciclovir sodium 5 mg/ml
Glukoza 5% 336
Nieokreślona niezgodność Niekompatybilny
Injekcje Erythromycin lactobionate
Injekcje Amikacin sulfate
3674
Nieokreślona niezgodność Niekompatybilny
Injekcje Erythromycin lactobionate
Injekcje Amikacin sulfate
3549
Nieokreślona niezgodność Niekompatybilny
Injekcje Erythromycin lactobionate
Injekcje Aminophylline
3674
Zgodny
Injekcje Erythromycin lactobionate 2 mg/ml
Injekcje Amiodarone hydrochloride 4 mg/ml
Chlorek sodu 0,9% 385
Zgodny
Injekcje Erythromycin lactobionate 2 mg/ml
Injekcje Amiodarone hydrochloride 4 mg/ml
Glukoza 5% 385
Nieokreślona niezgodność Niekompatybilny
Injekcje Erythromycin lactobionate
Injekcje Amobarbital sodium
3674
Nieokreślona niezgodność Niekompatybilny
Injekcje Erythromycin lactobionate
Injekcje Amoxicillin sodium
3674
Natychmiastowe opady Niekompatybilny
Injekcje Erythromycin lactobionate 50 mg/ml
Injekcje Amoxicillin sodium / clavulanic acid 100/10 mg/ml
3824
Nieokreślona niezgodność Niekompatybilny
Injekcje Erythromycin lactobionate
Injekcje Amoxicillin sodium / clavulanic acid
3674
Nieokreślona niezgodność Niekompatybilny
Injekcje Erythromycin lactobionate
Injekcje Ampicillin sodium
3674
Nieokreślona niezgodność Niekompatybilny
Injekcje Erythromycin lactobionate
Injekcje Ampicillin sodium - sulbactam sodium
3674
Zgodny
Injekcje Erythromycin lactobionate 5 mg/ml
Injekcje Anidulafungin 0.5 mg/ml
Glukoza 5% 1982
Nieokreślona niezgodność Niekompatybilny
Injekcje Erythromycin lactobionate
Injekcje Ascorbic acid
5089
Nieokreślona niezgodność Niekompatybilny
Injekcje Erythromycin lactobionate
Injekcje Ascorbic acid
3674
Nieokreślona niezgodność Niekompatybilny
Injekcje Erythromycin lactobionate
Injekcje Aztreonam
3674
Zgodny
Injekcje Erythromycin lactobionate 5 mg/ml
Injekcje Bivalirudin 5 mg/ml
Glukoza 5% 1713
Zgodny
Injekcje Erythromycin lactobionate
Chlorek sodu 0,9% 3674
Natychmiastowe opady Niekompatybilny
Injekcje Erythromycin lactobionate 50 mg/ml
Injekcje Caffeine 10 mg/ml
Żaden 3964
Nieokreślona niezgodność Niekompatybilny
Injekcje Erythromycin lactobionate
Injekcje Cefalotin sodium
3674
Nieokreślona niezgodność Niekompatybilny
Injekcje Erythromycin lactobionate
Injekcje Cefamandole nafate
3674
Nieokreślona niezgodność Niekompatybilny
Injekcje Erythromycin lactobionate
Injekcje Cefazolin sodium
3674
Zmętnienie w ciągu godziny Niekompatybilny
Injekcje Erythromycin lactobionate 20 mg/ml
Injekcje Cefazolin sodium 220 mg/ml
805
Nieokreślona niezgodność Niekompatybilny
Injekcje Erythromycin lactobionate
Injekcje Cefepime dihydrochloride
3674
Niestabilność chemiczna Niekompatybilny
Injekcje Erythromycin lactobionate 5 mg/ml
Injekcje Cefepime dihydrochloride 125 mg/ml
Woda do wstrzyknięć 2141
Nieokreślona niezgodność Niekompatybilny
Injekcje Erythromycin lactobionate
Injekcje Cefmenoxime
3674
Nieokreślona niezgodność Niekompatybilny
Injekcje Erythromycin lactobionate
Injekcje Cefmetazole sodium
3674
Natychmiastowe opady Niekompatybilny
Injekcje Erythromycin lactobionate 10 & 50 mg/ml
Injekcje Cefmetazole sodium 100 mg/ml
Woda do wstrzyknięć 93
Nieokreślona niezgodność Niekompatybilny
Injekcje Erythromycin lactobionate
Injekcje Cefonicid sodium
3674
Nieokreślona niezgodność Niekompatybilny
Injekcje Erythromycin lactobionate
Injekcje Cefoperazone sodium
3674
Nieokreślona niezgodność Niekompatybilny
Injekcje Erythromycin lactobionate
Injekcje Ceforanide
3674
Nieokreślona niezgodność Niekompatybilny
Injekcje Erythromycin lactobionate
Injekcje Cefotaxime sodium
3674
Nieokreślona niezgodność Niekompatybilny
Injekcje Erythromycin lactobionate
Injekcje Cefoxitin sodium
3674
Nieokreślona niezgodność Niekompatybilny
Injekcje Erythromycin lactobionate
Injekcje Cefpirome sulfate
3674
Nieokreślona niezgodność Niekompatybilny
Injekcje Erythromycin lactobionate
Injekcje Ceftaroline fosamil
3674
Natychmiastowe opady Niekompatybilny
Injekcje Erythromycin lactobionate 5 mg/ml
Injekcje Ceftazidime 125 mg/ml
Woda do wstrzyknięć 2141
Nieokreślona niezgodność Niekompatybilny
Injekcje Erythromycin lactobionate
Injekcje Ceftazidime
3674
Natychmiastowe opady Niekompatybilny
Injekcje Erythromycin lactobionate 10 & 50 mg/ml
Injekcje Ceftazidime 83.3 mg/ml
1759
Nieokreślona niezgodność Niekompatybilny
Injekcje Erythromycin lactobionate
Injekcje Ceftazidime Avibactam
3674
Nieokreślona niezgodność Niekompatybilny
Injekcje Erythromycin lactobionate
Injekcje Ceftizoxime sodium
3674
Nieokreślona niezgodność Niekompatybilny
Injekcje Erythromycin lactobionate
Injekcje Ceftobiprole medocaril sodium
3674
Nieokreślona niezgodność Niekompatybilny
Injekcje Erythromycin lactobionate
Injekcje Ceftolozane / tazobactam
3674
Nieokreślona niezgodność Niekompatybilny
Injekcje Erythromycin lactobionate
Injekcje Ceftriaxone disodium
3674
Nieokreślona niezgodność Niekompatybilny
Injekcje Erythromycin lactobionate
Injekcje Cefuroxime sodium
3674
Nieokreślona niezgodność Niekompatybilny
Injekcje Erythromycin lactobionate
Injekcje Cefuzonam
3674
Nieokreślona niezgodność Niekompatybilny
Injekcje Erythromycin lactobionate
Injekcje Chloramphenicol sodium succinate
3674
Nieokreślona niezgodność Niekompatybilny
Injekcje Erythromycin lactobionate
Injekcje Chlorpromazine hydrochloride
3674
Zgodny
Injekcje Erythromycin lactobionate 5 & 50 mg/ml
Injekcje Diltiazem hydrochloride 5 mg/ml
Chlorek sodu 0,9% 198
Nieokreślona niezgodność Niekompatybilny
Injekcje Erythromycin lactobionate
Injekcje Doripenem
3674
Zgodny
Injekcje Erythromycin lactobionate 10 mg/ml
Odżywianie pozajelitowe (mieszanina binarny) 939
Zgodny
Injekcje Erythromycin lactobionate 5 mg/ml
Injekcje Cimetidine hydrochloride 3 mg/ml
Chlorek sodu 0,9% 1201
Natychmiastowe opady Niekompatybilny
Injekcje Erythromycin lactobionate 50 mg/ml
Injekcje Cloxacillin sodium 100 mg/ml
Woda do wstrzyknięć 3012
Nieokreślona niezgodność Niekompatybilny
Injekcje Erythromycin lactobionate
Injekcje Cloxacillin sodium
3674
Nieokreślona niezgodność Niekompatybilny
Injekcje Erythromycin lactobionate
Injekcje Colistin mesilate sodium
3674
Zgodny
Injekcje Erythromycin lactobionate 5 mg/ml
Injekcje Dexmedetomidine 4 µg/ml
Chlorek sodu 0,9% 1712
Zgodny
Injekcje Erythromycin lactobionate 5 mg/ml
Injekcje Doxapram hydrochloride 2 mg/ml
Glukoza 5% 1802
Nieokreślona niezgodność Niekompatybilny
Injekcje Erythromycin lactobionate
Injekcje Doxycycline hyclate
3674
Zgodny
Injekcje Erythromycin lactobionate 5 mg/ml
Injekcje Enalaprilate 0.05 mg/ml
Chlorek sodu 0,9% 1315
Nieokreślona niezgodność Niekompatybilny
Injekcje Erythromycin lactobionate
Injekcje Ertapenem
3674
Zgodny
Injekcje Erythromycin lactobionate 5 mg/ml
Injekcje Esmolol hydrochloride 10 mg/ml
Glukoza 5% 384
Zgodny
Injekcje Erythromycin lactobionate 2 mg/ml
Injekcje Famotidine
Glukoza 5% 397
Zgodny
Injekcje Erythromycin lactobionate
Glukoza 5% 3674
Zgodny
Injekcje Erythromycin lactobionate 5 mg/ml
Injekcje Fenoldopam mesylate 80 µg/ml
Chlorek sodu 0,9% 1803
Nieokreślona niezgodność Niekompatybilny
Injekcje Erythromycin lactobionate
Injekcje Flucloxacillin sodium
3674
Natychmiastowe opady Niekompatybilny
Injekcje Erythromycin lactobionate 5 mg/ml
Injekcje Flucloxacillin sodium 20 mg/ml
Chlorek sodu 0,9% 1232
Natychmiastowe opady Niekompatybilny
Injekcje Erythromycin lactobionate 20 mg/ml
Injekcje Fluconazole 2 mg/ml
Chlorek sodu 0,9% 496
Zgodny
Injekcje Erythromycin lactobionate 20 mg/ml
Injekcje Foscarnet sodium 24 mg/ml
Chlorek sodu 0,9% 1135
Zgodny
Injekcje Erythromycin lactobionate 20 mg/ml
Injekcje Foscarnet sodium 24 mg/ml
Żaden 73
Natychmiastowe opady Niekompatybilny
Injekcje Erythromycin lactobionate 5 mg/ml
Injekcje Furosemide 1 mg/ml
Chlorek sodu 0,9% 1232
Nieokreślona niezgodność Niekompatybilny
Injekcje Erythromycin lactobionate
Injekcje Gentamicin sulfate
3643
Nieokreślona niezgodność Niekompatybilny
Injekcje Erythromycin lactobionate
Injekcje Gentamicin sulfate
3520
Nieokreślona niezgodność Niekompatybilny
Injekcje Erythromycin lactobionate
Injekcje Gentamicin sulfate
3674
Nieokreślona niezgodność Niekompatybilny
Injekcje Erythromycin lactobionate
Injekcje Heparin sodium
3674
Zgodny
Injekcje Erythromycin lactobionate 50 mg/ml
Roztwór Ringera z mleczanem sodowym 4603
Zgodny
Injekcje Erythromycin lactobionate 3.3 mg/ml
Injekcje Heparin sodium 50 UI/ml
Żaden 317
Zgodny
Injekcje Erythromycin lactobionate 50 mg/ml
Odżywianie pozajelitowe (mieszanina binarny) 999
Nieokreślona niezgodność Niekompatybilny
Injekcje Erythromycin lactobionate
Injekcje Heparin sodium
3540
Zgodny
Injekcje Erythromycin lactobionate 5 mg/ml
Injekcje Hetastarch 60 mg/ml
danego rozpuszczalnika 1721
Zgodny
Injekcje Erythromycin lactobionate 5 mg/ml
Injekcje Hydromorphone hydrochloride 0.2 mg/ml
Glukoza 5% 405
Zgodny
Injekcje Erythromycin lactobionate 2 mg/ml
Injekcje Idarubicin hydrochloride 1 mg/ml
Chlorek sodu 0,9% 491
Nieokreślona niezgodność Niekompatybilny
Injekcje Erythromycin lactobionate
Injekcje Imipenem - cilastatin sodium
3674
Nieokreślona niezgodność Niekompatybilny
Injekcje Erythromycin lactobionate
Injekcje Kanamycin sulfate
3674
Zgodny
Injekcje Erythromycin lactobionate 5 mg/ml
Injekcje Labetalol hydrochloride 1 mg/ml
Glukoza 5% 386
Nieokreślona niezgodność Niekompatybilny
Injekcje Erythromycin lactobionate
Injekcje Levomepromazine
3674
Niestabilność chemiczna Niekompatybilny
Injekcje Erythromycin lactobionate 5 mg/ml
Injekcje Linezolid 2 mg/ml
Żaden 1607
Nieokreślona niezgodność Niekompatybilny
Injekcje Erythromycin lactobionate
Injekcje Linezolid
3560
Zgodny
Injekcje Erythromycin lactobionate 5 mg/ml
Injekcje Linezolid 2 mg/ml
Żaden 1925
Zgodny
Injekcje Erythromycin lactobionate 5 mg/ml
Injekcje Lorazepam 0.33 mg/ml
Chlorek sodu 0,9% 186
Zgodny
Injekcje Erythromycin lactobionate 5 mg/ml
Injekcje Magnesium sulfate 16.67 >> 100 mg/ml
Glukoza 5% 1047
Zgodny
Injekcje Erythromycin lactobionate 50 mg/ml
Injekcje Meropenem 50 mg/ml
Woda do wstrzyknięć 4319
Nieokreślona niezgodność Niekompatybilny
Injekcje Erythromycin lactobionate
Injekcje Meropenem
3674
Nieokreślona niezgodność Niekompatybilny
Injekcje Erythromycin lactobionate
Injekcje Mesna
3602
Nieokreślona niezgodność Niekompatybilny
Injekcje Erythromycin lactobionate
Injekcje Metaraminol
5046
Nieokreślona niezgodność Niekompatybilny
Injekcje Erythromycin lactobionate
Injekcje Methohexital sodium
3674
Zgodny
Injekcje Erythromycin lactobionate 5 mg/ml
Injekcje Midazolam hydrochloride 5 mg/ml
Żaden 186
Nieokreślona niezgodność Niekompatybilny
Injekcje Erythromycin lactobionate
Injekcje Minocycline hydrochloride
3674
Zgodny
Injekcje Erythromycin lactobionate 5 mg/ml
Injekcje Morphine sulfate 1 mg/ml
Glukoza 5% 405
Nieokreślona niezgodność Niekompatybilny
Injekcje Erythromycin lactobionate
Injekcje Moxalactam
3674
Nieokreślona niezgodność Niekompatybilny
Injekcje Erythromycin lactobionate
Injekcje N-acetylcysteine 200 mg/ml
Żaden 3766
Nieokreślona niezgodność Niekompatybilny
Injekcje Erythromycin lactobionate
Injekcje Nafcillin sodium
3674
Zgodny
Injekcje Erythromycin lactobionate 50 mg/ml
Injekcje Naloxone hydrochloride 0.4 mg/ml
Żaden 3408
Nieokreślona niezgodność Niekompatybilny
Injekcje Erythromycin lactobionate
Injekcje Netilmicin sulfate
3674
Zgodny
Injekcje Erythromycin lactobionate 5 mg/ml
Injekcje Nicardipine hydrochloride 0.1 mg/ml
Chlorek sodu 0,9% 1490
Zgodny
Injekcje Erythromycin lactobionate 5 mg/ml
Injekcje Nicardipine hydrochloride 0.1 mg/ml
Glukoza 5% 1490
Nieokreślona niezgodność Niekompatybilny
Injekcje Erythromycin lactobionate
Injekcje Oxacillin sodium
3674
Nieokreślona niezgodność Niekompatybilny
Injekcje Erythromycin lactobionate
Injekcje Oxytetracycline hydrochloride
3674
Zgodny
Injekcje Erythromycin lactobionate 50 mg/ml
Injekcje Paracetamol 10 mg/ml
4742
Nieokreślona niezgodność Niekompatybilny
Injekcje Erythromycin lactobionate
Injekcje Penicillin G potassium
3674
Nieokreślona niezgodność Niekompatybilny
Injekcje Erythromycin lactobionate
Injekcje Penicillin G sodium
3674
Nieokreślona niezgodność Niekompatybilny
Injekcje Erythromycin lactobionate
Injekcje Pentobarbital sodium
3674
Zgodny
Injekcje Erythromycin lactobionate 5 mg/ml
Injekcje Pethidine hydrochloride 10 mg/ml
Glukoza 5% 405
Nieokreślona niezgodność Niekompatybilny
Injekcje Erythromycin lactobionate
Injekcje Phenobarbital sodium
3674
Nieokreślona niezgodność Niekompatybilny
Injekcje Erythromycin lactobionate
Injekcje Phenytoin sodium
3674
Nieokreślona niezgodność Niekompatybilny
Injekcje Erythromycin lactobionate
Injekcje Piperacillin sodium
3674
Nieokreślona niezgodność Niekompatybilny
Injekcje Erythromycin lactobionate
Injekcje Piperacillin sodium / tazobactam
3674
Nieokreślona niezgodność Niekompatybilny
Injekcje Erythromycin lactobionate
Injekcje Plazomicin sulfate
3674
Nieokreślona niezgodność Niekompatybilny
Injekcje Erythromycin lactobionate
Injekcje Prochlorperazine edysilate
3674
Nieokreślona niezgodność Niekompatybilny
Injekcje Erythromycin lactobionate
Injekcje Promethazine hydrochloride
3674
Nieokreślona niezgodność Niekompatybilny
Injekcje Erythromycin lactobionate
Injekcje Pyridoxine hydrochloride
3674
Nieokreślona niezgodność Niekompatybilny
Injekcje Erythromycin lactobionate
Injekcje Rocuronium bromide
3564
Zgodny
Injekcje Erythromycin lactobionate 50 mg/ml
Injekcje Salbutamol sulfate 1 mg/ml
Żaden 3216
Nieokreślona niezgodność Niekompatybilny
Injekcje Erythromycin lactobionate
Injekcje Streptomycin sulfate
3674
Zgodny
Injekcje Erythromycin lactobionate 20 mg/ml
Injekcje Tacrolimus 1000 µg/ml
Chlorek sodu 0,9% 479
Nieokreślona niezgodność Niekompatybilny
Injekcje Erythromycin lactobionate
Injekcje Temocilline
3674
Zgodny
Injekcje Erythromycin lactobionate 5 mg/ml
Injekcje Temocilline 83.33 mg/ml
Woda do wstrzyknięć 2231
Zgodny
Injekcje Erythromycin lactobionate 3.3 mg/ml
Injekcje Theophylline 4 mg/ml
Żaden 317
Natychmiastowe opady Niekompatybilny
Injekcje Erythromycin lactobionate 50 mg/ml
Injekcje Thiopental sodium 25 mg/ml
Chlorek sodu 0,9% 3767
Nieokreślona niezgodność Niekompatybilny
Injekcje Erythromycin lactobionate
Injekcje Thiopental sodium
3674
Nieokreślona niezgodność Niekompatybilny
Injekcje Erythromycin lactobionate
Injekcje Ticarcillin / clavulanic acid
3674
Nieokreślona niezgodność Niekompatybilny
Injekcje Erythromycin lactobionate
Injekcje Tigecycline
3674
Nieokreślona niezgodność Niekompatybilny
Injekcje Erythromycin lactobionate
Injekcje Tobramycin sulfate
3674
Nieokreślona niezgodność Niekompatybilny
Injekcje Erythromycin lactobionate
Injekcje Triflupromazine hydrochloride
3674
Zgodny
Injekcje Erythromycin lactobionate 5 mg/ml
Injekcje Vancomycin hydrochloride 10 mg/ml
Glukoza 5% 3385
Zgodny
Injekcje Erythromycin lactobionate 2 mg/ml
Injekcje Verapamil hydrochloride 0.08 mg/ml
Chlorek sodu 0,9% 1057
Zgodny
Injekcje Erythromycin lactobionate 2 mg/ml
Injekcje Verapamil hydrochloride 0.08 mg/ml
Glukoza 5% 1057
Zgodny
Injekcje Erythromycin lactobionate 20 mg/ml
Injekcje Zidovudine 4 mg/ml
Glukoza 5% 337

  Mentions Légales