Zadnji put ažurirano :
18/03/2026
antibiotik   Erythromycin lactobionate  
injekcija
Stabilizacija rješenja Stabilnost mješavine Stabilizacijski faktor Kompatibilnosti način davanja lijeka Bibliografija pdf
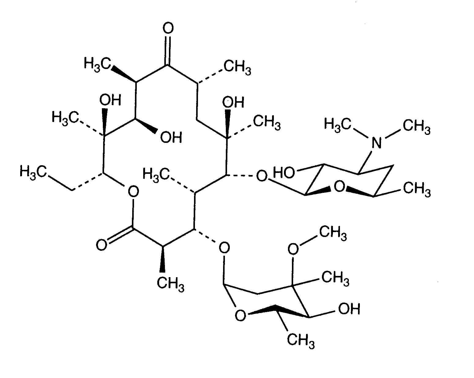
   Kemijska struktura  

Nekomercijalni   Nekomercijalni     

Zaštićeni nazivi su indikativni i sastav ekscipijensa može biti različit ovisno o državi i laboratorijima

Abboticin Danska, Finska, Norveška, Švedska
Eristin Argentina
Erithromicina Čile
Erycinum Njemačka
Erythrocin Australija, Austrija, Irska, Kanada, Njemačka, novi Zeland, S A D, Saudijska Arabija, Velika Britanija
Erythrocin lactobionat ADD Vantage Australija, Austrija
Erythrocine Belgija, Francuska, Luksemburg, Nizozemska, Tunis
Erythromycin Madžarska, Njemačka, S A D, Saudijska Arabija, Velika Britanija
Erythromycine Luksemburg
Erythromycinum Poljska
Pantomicina Čile, Španjolska
Kompatibilnosti   injekcija   Kompatibilnosti : Erythromycin lactobionate              
Ovdje su prikazane kompatibilnosti ili nekompatibilnosti s tipom nekompatibilnosti (taloženje, promjena boje, modifikacija emulzije itd.) u ovom slučaju. Kompatibilnosti prikazane ovdje najčešće su fizikalne dok se kemijska stabilnost molekule rijetko procjenjuje. Procjena ovih mikstura je proučavana kako bi se razmotrila mogućnost primjene lijeka putem Y-mjesta. Ovi se podaci ne smiju koristiti za pripremu mikstura unaprijed u vrećicama ili štrcaljkama. Ova vrsta informacije se može pronaći u odjeljku « stabilnost u miksturama ».
molekula sredstvo za rastapanje Bibliografija
Kompatibilan
injekcija Erythromycin lactobionate 4 mg/ml
injekcija Aciclovir sodium 5 mg/ml
glukoza 5% 336
Neodređena nespojivost inkompatibilan
injekcija Erythromycin lactobionate
injekcija Amikacin sulfate
3674
Neodređena nespojivost inkompatibilan
injekcija Erythromycin lactobionate
injekcija Amikacin sulfate
3549
Neodređena nespojivost inkompatibilan
injekcija Erythromycin lactobionate
injekcija Aminophylline
3674
Kompatibilan
injekcija Erythromycin lactobionate 2 mg/ml
injekcija Amiodarone hydrochloride 4 mg/ml
natrijumkorid 0,9% 385
Kompatibilan
injekcija Erythromycin lactobionate 2 mg/ml
injekcija Amiodarone hydrochloride 4 mg/ml
glukoza 5% 385
Neodređena nespojivost inkompatibilan
injekcija Erythromycin lactobionate
injekcija Amobarbital sodium
3674
Neodređena nespojivost inkompatibilan
injekcija Erythromycin lactobionate
injekcija Amoxicillin sodium
3674
Neposredne oborine inkompatibilan
injekcija Erythromycin lactobionate 50 mg/ml
injekcija Amoxicillin sodium / clavulanic acid 100/10 mg/ml
3824
Neodređena nespojivost inkompatibilan
injekcija Erythromycin lactobionate
injekcija Amoxicillin sodium / clavulanic acid
3674
Neodređena nespojivost inkompatibilan
injekcija Erythromycin lactobionate
injekcija Ampicillin sodium
3674
Neodređena nespojivost inkompatibilan
injekcija Erythromycin lactobionate
injekcija Ampicillin sodium - sulbactam sodium
3674
Kompatibilan
injekcija Erythromycin lactobionate 5 mg/ml
injekcija Anidulafungin 0.5 mg/ml
glukoza 5% 1982
Neodređena nespojivost inkompatibilan
injekcija Erythromycin lactobionate
injekcija Ascorbic acid
5089
Neodređena nespojivost inkompatibilan
injekcija Erythromycin lactobionate
injekcija Ascorbic acid
3674
Neodređena nespojivost inkompatibilan
injekcija Erythromycin lactobionate
injekcija Aztreonam
3674
Kompatibilan
injekcija Erythromycin lactobionate 5 mg/ml
injekcija Bivalirudin 5 mg/ml
glukoza 5% 1713
Kompatibilan
injekcija Erythromycin lactobionate
natrijumkorid 0,9% 3674
Neposredne oborine inkompatibilan
injekcija Erythromycin lactobionate 50 mg/ml
injekcija Caffeine 10 mg/ml
nijedan 3964
Neodređena nespojivost inkompatibilan
injekcija Erythromycin lactobionate
injekcija Cefalotin sodium
3674
Neodređena nespojivost inkompatibilan
injekcija Erythromycin lactobionate
injekcija Cefamandole nafate
3674
Neodređena nespojivost inkompatibilan
injekcija Erythromycin lactobionate
injekcija Cefazolin sodium
3674
Zamućenost u jednom satu inkompatibilan
injekcija Erythromycin lactobionate 20 mg/ml
injekcija Cefazolin sodium 220 mg/ml
805
Neodređena nespojivost inkompatibilan
injekcija Erythromycin lactobionate
injekcija Cefepime dihydrochloride
3674
Kemijska nestabilnost inkompatibilan
injekcija Erythromycin lactobionate 5 mg/ml
injekcija Cefepime dihydrochloride 125 mg/ml
čista voda za injektiranje 2141
Neodređena nespojivost inkompatibilan
injekcija Erythromycin lactobionate
injekcija Cefmenoxime
3674
Neodređena nespojivost inkompatibilan
injekcija Erythromycin lactobionate
injekcija Cefmetazole sodium
3674
Neposredne oborine inkompatibilan
injekcija Erythromycin lactobionate 10 & 50 mg/ml
injekcija Cefmetazole sodium 100 mg/ml
čista voda za injektiranje 93
Neodređena nespojivost inkompatibilan
injekcija Erythromycin lactobionate
injekcija Cefonicid sodium
3674
Neodređena nespojivost inkompatibilan
injekcija Erythromycin lactobionate
injekcija Cefoperazone sodium
3674
Neodređena nespojivost inkompatibilan
injekcija Erythromycin lactobionate
injekcija Ceforanide
3674
Neodređena nespojivost inkompatibilan
injekcija Erythromycin lactobionate
injekcija Cefotaxime sodium
3674
Neodređena nespojivost inkompatibilan
injekcija Erythromycin lactobionate
injekcija Cefoxitin sodium
3674
Neodređena nespojivost inkompatibilan
injekcija Erythromycin lactobionate
injekcija Cefpirome sulfate
3674
Neodređena nespojivost inkompatibilan
injekcija Erythromycin lactobionate
injekcija Ceftaroline fosamil
3674
Neposredne oborine inkompatibilan
injekcija Erythromycin lactobionate 5 mg/ml
injekcija Ceftazidime 125 mg/ml
čista voda za injektiranje 2141
Neodređena nespojivost inkompatibilan
injekcija Erythromycin lactobionate
injekcija Ceftazidime
3674
Neposredne oborine inkompatibilan
injekcija Erythromycin lactobionate 10 & 50 mg/ml
injekcija Ceftazidime 83.3 mg/ml
1759
Neodređena nespojivost inkompatibilan
injekcija Erythromycin lactobionate
injekcija Ceftazidime Avibactam
3674
Neodređena nespojivost inkompatibilan
injekcija Erythromycin lactobionate
injekcija Ceftizoxime sodium
3674
Neodređena nespojivost inkompatibilan
injekcija Erythromycin lactobionate
injekcija Ceftobiprole medocaril sodium
3674
Neodređena nespojivost inkompatibilan
injekcija Erythromycin lactobionate
injekcija Ceftolozane / tazobactam
3674
Neodređena nespojivost inkompatibilan
injekcija Erythromycin lactobionate
injekcija Ceftriaxone disodium
3674
Neodređena nespojivost inkompatibilan
injekcija Erythromycin lactobionate
injekcija Cefuroxime sodium
3674
Neodređena nespojivost inkompatibilan
injekcija Erythromycin lactobionate
injekcija Cefuzonam
3674
Neodređena nespojivost inkompatibilan
injekcija Erythromycin lactobionate
injekcija Chloramphenicol sodium succinate
3674
Neodređena nespojivost inkompatibilan
injekcija Erythromycin lactobionate
injekcija Chlorpromazine hydrochloride
3674
Kompatibilan
injekcija Erythromycin lactobionate 5 & 50 mg/ml
injekcija Diltiazem hydrochloride 5 mg/ml
natrijumkorid 0,9% 198
Neodređena nespojivost inkompatibilan
injekcija Erythromycin lactobionate
injekcija Doripenem
3674
Kompatibilan
injekcija Erythromycin lactobionate 10 mg/ml
Parenteralna prehrana (bezlipidna) 939
Kompatibilan
injekcija Erythromycin lactobionate 5 mg/ml
injekcija Cimetidine hydrochloride 3 mg/ml
natrijumkorid 0,9% 1201
Neposredne oborine inkompatibilan
injekcija Erythromycin lactobionate 50 mg/ml
injekcija Cloxacillin sodium 100 mg/ml
čista voda za injektiranje 3012
Neodređena nespojivost inkompatibilan
injekcija Erythromycin lactobionate
injekcija Cloxacillin sodium
3674
Neodređena nespojivost inkompatibilan
injekcija Erythromycin lactobionate
injekcija Colistin mesilate sodium
3674
Kompatibilan
injekcija Erythromycin lactobionate 5 mg/ml
injekcija Dexmedetomidine 4 µg/ml
natrijumkorid 0,9% 1712
Kompatibilan
injekcija Erythromycin lactobionate 5 mg/ml
injekcija Doxapram hydrochloride 2 mg/ml
glukoza 5% 1802
Neodređena nespojivost inkompatibilan
injekcija Erythromycin lactobionate
injekcija Doxycycline hyclate
3674
Kompatibilan
injekcija Erythromycin lactobionate 5 mg/ml
injekcija Enalaprilate 0.05 mg/ml
natrijumkorid 0,9% 1315
Neodređena nespojivost inkompatibilan
injekcija Erythromycin lactobionate
injekcija Ertapenem
3674
Kompatibilan
injekcija Erythromycin lactobionate 5 mg/ml
injekcija Esmolol hydrochloride 10 mg/ml
glukoza 5% 384
Kompatibilan
injekcija Erythromycin lactobionate 2 mg/ml
injekcija Famotidine
glukoza 5% 397
Kompatibilan
injekcija Erythromycin lactobionate
glukoza 5% 3674
Kompatibilan
injekcija Erythromycin lactobionate 5 mg/ml
injekcija Fenoldopam mesylate 80 µg/ml
natrijumkorid 0,9% 1803
Neodređena nespojivost inkompatibilan
injekcija Erythromycin lactobionate
injekcija Flucloxacillin sodium
3674
Neposredne oborine inkompatibilan
injekcija Erythromycin lactobionate 5 mg/ml
injekcija Flucloxacillin sodium 20 mg/ml
natrijumkorid 0,9% 1232
Neposredne oborine inkompatibilan
injekcija Erythromycin lactobionate 20 mg/ml
injekcija Fluconazole 2 mg/ml
natrijumkorid 0,9% 496
Kompatibilan
injekcija Erythromycin lactobionate 20 mg/ml
injekcija Foscarnet sodium 24 mg/ml
natrijumkorid 0,9% 1135
Kompatibilan
injekcija Erythromycin lactobionate 20 mg/ml
injekcija Foscarnet sodium 24 mg/ml
nijedan 73
Neposredne oborine inkompatibilan
injekcija Erythromycin lactobionate 5 mg/ml
injekcija Furosemide 1 mg/ml
natrijumkorid 0,9% 1232
Neodređena nespojivost inkompatibilan
injekcija Erythromycin lactobionate
injekcija Gentamicin sulfate
3643
Neodređena nespojivost inkompatibilan
injekcija Erythromycin lactobionate
injekcija Gentamicin sulfate
3520
Neodređena nespojivost inkompatibilan
injekcija Erythromycin lactobionate
injekcija Gentamicin sulfate
3674
Neodređena nespojivost inkompatibilan
injekcija Erythromycin lactobionate
injekcija Heparin sodium
3674
Kompatibilan
injekcija Erythromycin lactobionate 50 mg/ml
Ringer laktat 4603
Kompatibilan
injekcija Erythromycin lactobionate 3.3 mg/ml
injekcija Heparin sodium 50 UI/ml
nijedan 317
Kompatibilan
injekcija Erythromycin lactobionate 50 mg/ml
Parenteralna prehrana (bezlipidna) 999
Neodređena nespojivost inkompatibilan
injekcija Erythromycin lactobionate
injekcija Heparin sodium
3540
Kompatibilan
injekcija Erythromycin lactobionate 5 mg/ml
injekcija Hetastarch 60 mg/ml
Specifična otapala 1721
Kompatibilan
injekcija Erythromycin lactobionate 5 mg/ml
injekcija Hydromorphone hydrochloride 0.2 mg/ml
glukoza 5% 405
Kompatibilan
injekcija Erythromycin lactobionate 2 mg/ml
injekcija Idarubicin hydrochloride 1 mg/ml
natrijumkorid 0,9% 491
Neodređena nespojivost inkompatibilan
injekcija Erythromycin lactobionate
injekcija Imipenem - cilastatin sodium
3674
Neodređena nespojivost inkompatibilan
injekcija Erythromycin lactobionate
injekcija Kanamycin sulfate
3674
Kompatibilan
injekcija Erythromycin lactobionate 5 mg/ml
injekcija Labetalol hydrochloride 1 mg/ml
glukoza 5% 386
Neodređena nespojivost inkompatibilan
injekcija Erythromycin lactobionate
injekcija Levomepromazine
3674
Kemijska nestabilnost inkompatibilan
injekcija Erythromycin lactobionate 5 mg/ml
injekcija Linezolid 2 mg/ml
nijedan 1607
Neodređena nespojivost inkompatibilan
injekcija Erythromycin lactobionate
injekcija Linezolid
3560
Kompatibilan
injekcija Erythromycin lactobionate 5 mg/ml
injekcija Linezolid 2 mg/ml
nijedan 1925
Kompatibilan
injekcija Erythromycin lactobionate 5 mg/ml
injekcija Lorazepam 0.33 mg/ml
natrijumkorid 0,9% 186
Kompatibilan
injekcija Erythromycin lactobionate 5 mg/ml
injekcija Magnesium sulfate 16.67 >> 100 mg/ml
glukoza 5% 1047
Kompatibilan
injekcija Erythromycin lactobionate 50 mg/ml
injekcija Meropenem 50 mg/ml
čista voda za injektiranje 4319
Neodređena nespojivost inkompatibilan
injekcija Erythromycin lactobionate
injekcija Meropenem
3674
Neodređena nespojivost inkompatibilan
injekcija Erythromycin lactobionate
injekcija Mesna
3602
Neodređena nespojivost inkompatibilan
injekcija Erythromycin lactobionate
injekcija Metaraminol
5046
Neodređena nespojivost inkompatibilan
injekcija Erythromycin lactobionate
injekcija Methohexital sodium
3674
Kompatibilan
injekcija Erythromycin lactobionate 5 mg/ml
injekcija Midazolam hydrochloride 5 mg/ml
nijedan 186
Neodređena nespojivost inkompatibilan
injekcija Erythromycin lactobionate
injekcija Minocycline hydrochloride
3674
Kompatibilan
injekcija Erythromycin lactobionate 5 mg/ml
injekcija Morphine sulfate 1 mg/ml
glukoza 5% 405
Neodređena nespojivost inkompatibilan
injekcija Erythromycin lactobionate
injekcija Moxalactam
3674
Neodređena nespojivost inkompatibilan
injekcija Erythromycin lactobionate
injekcija N-acetylcysteine 200 mg/ml
nijedan 3766
Neodređena nespojivost inkompatibilan
injekcija Erythromycin lactobionate
injekcija Nafcillin sodium
3674
Kompatibilan
injekcija Erythromycin lactobionate 50 mg/ml
injekcija Naloxone hydrochloride 0.4 mg/ml
nijedan 3408
Neodređena nespojivost inkompatibilan
injekcija Erythromycin lactobionate
injekcija Netilmicin sulfate
3674
Kompatibilan
injekcija Erythromycin lactobionate 5 mg/ml
injekcija Nicardipine hydrochloride 0.1 mg/ml
natrijumkorid 0,9% 1490
Kompatibilan
injekcija Erythromycin lactobionate 5 mg/ml
injekcija Nicardipine hydrochloride 0.1 mg/ml
glukoza 5% 1490
Neodređena nespojivost inkompatibilan
injekcija Erythromycin lactobionate
injekcija Oxacillin sodium
3674
Neodređena nespojivost inkompatibilan
injekcija Erythromycin lactobionate
injekcija Oxytetracycline hydrochloride
3674
Kompatibilan
injekcija Erythromycin lactobionate 50 mg/ml
injekcija Paracetamol 10 mg/ml
4742
Neodređena nespojivost inkompatibilan
injekcija Erythromycin lactobionate
injekcija Penicillin G potassium
3674
Neodređena nespojivost inkompatibilan
injekcija Erythromycin lactobionate
injekcija Penicillin G sodium
3674
Neodređena nespojivost inkompatibilan
injekcija Erythromycin lactobionate
injekcija Pentobarbital sodium
3674
Kompatibilan
injekcija Erythromycin lactobionate 5 mg/ml
injekcija Pethidine hydrochloride 10 mg/ml
glukoza 5% 405
Neodređena nespojivost inkompatibilan
injekcija Erythromycin lactobionate
injekcija Phenobarbital sodium
3674
Neodređena nespojivost inkompatibilan
injekcija Erythromycin lactobionate
injekcija Phenytoin sodium
3674
Neodređena nespojivost inkompatibilan
injekcija Erythromycin lactobionate
injekcija Piperacillin sodium
3674
Neodređena nespojivost inkompatibilan
injekcija Erythromycin lactobionate
injekcija Piperacillin sodium / tazobactam
3674
Neodređena nespojivost inkompatibilan
injekcija Erythromycin lactobionate
injekcija Plazomicin sulfate
3674
Neodređena nespojivost inkompatibilan
injekcija Erythromycin lactobionate
injekcija Prochlorperazine edysilate
3674
Neodređena nespojivost inkompatibilan
injekcija Erythromycin lactobionate
injekcija Promethazine hydrochloride
3674
Neodređena nespojivost inkompatibilan
injekcija Erythromycin lactobionate
injekcija Pyridoxine hydrochloride
3674
Neodređena nespojivost inkompatibilan
injekcija Erythromycin lactobionate
injekcija Rocuronium bromide
3564
Kompatibilan
injekcija Erythromycin lactobionate 50 mg/ml
injekcija Salbutamol sulfate 1 mg/ml
nijedan 3216
Neodređena nespojivost inkompatibilan
injekcija Erythromycin lactobionate
injekcija Streptomycin sulfate
3674
Kompatibilan
injekcija Erythromycin lactobionate 20 mg/ml
injekcija Tacrolimus 1000 µg/ml
natrijumkorid 0,9% 479
Neodređena nespojivost inkompatibilan
injekcija Erythromycin lactobionate
injekcija Temocilline
3674
Kompatibilan
injekcija Erythromycin lactobionate 5 mg/ml
injekcija Temocilline 83.33 mg/ml
čista voda za injektiranje 2231
Kompatibilan
injekcija Erythromycin lactobionate 3.3 mg/ml
injekcija Theophylline 4 mg/ml
nijedan 317
Neposredne oborine inkompatibilan
injekcija Erythromycin lactobionate 50 mg/ml
injekcija Thiopental sodium 25 mg/ml
natrijumkorid 0,9% 3767
Neodređena nespojivost inkompatibilan
injekcija Erythromycin lactobionate
injekcija Thiopental sodium
3674
Neodređena nespojivost inkompatibilan
injekcija Erythromycin lactobionate
injekcija Ticarcillin / clavulanic acid
3674
Neodređena nespojivost inkompatibilan
injekcija Erythromycin lactobionate
injekcija Tigecycline
3674
Neodređena nespojivost inkompatibilan
injekcija Erythromycin lactobionate
injekcija Tobramycin sulfate
3674
Neodređena nespojivost inkompatibilan
injekcija Erythromycin lactobionate
injekcija Triflupromazine hydrochloride
3674
Kompatibilan
injekcija Erythromycin lactobionate 5 mg/ml
injekcija Vancomycin hydrochloride 10 mg/ml
glukoza 5% 3385
Kompatibilan
injekcija Erythromycin lactobionate 2 mg/ml
injekcija Verapamil hydrochloride 0.08 mg/ml
natrijumkorid 0,9% 1057
Kompatibilan
injekcija Erythromycin lactobionate 2 mg/ml
injekcija Verapamil hydrochloride 0.08 mg/ml
glukoza 5% 1057
Kompatibilan
injekcija Erythromycin lactobionate 20 mg/ml
injekcija Zidovudine 4 mg/ml
glukoza 5% 337

  Mentions Légales