Last update :
18/03/2026
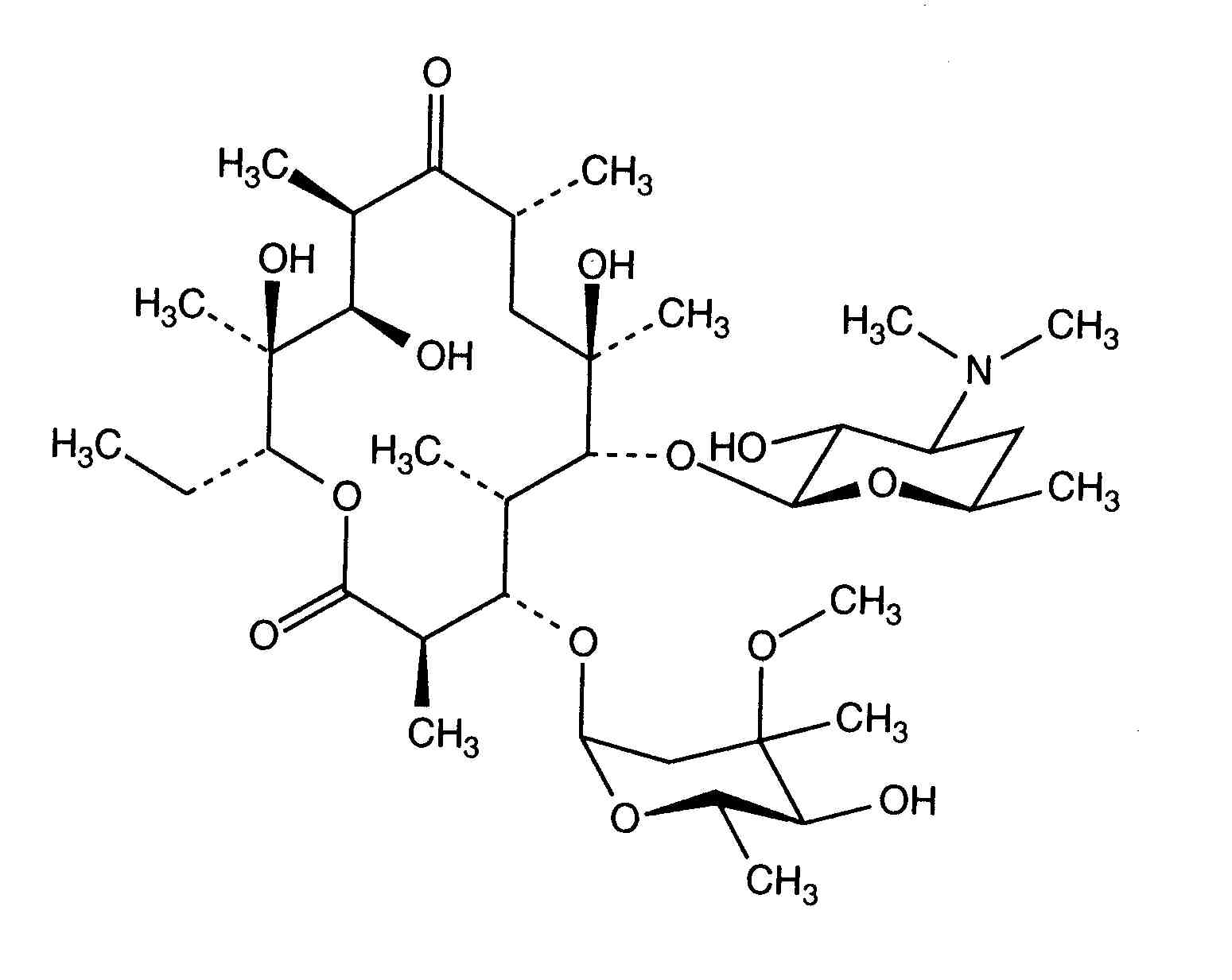
Antibiotic   Erythromycin lactobionate  
injection
Stability in solutions Stability of mixtures Factors which affect stability Compatibility Route of administration References pdf
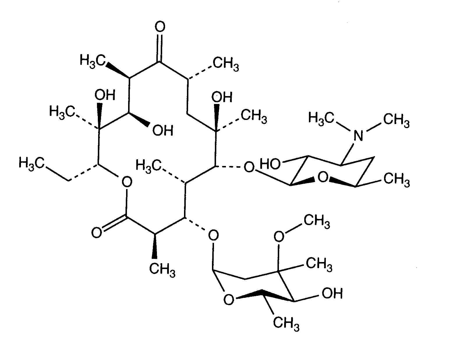
   Chemical structure  

Tradename   Tradename     

Trade names are indicative and excipients composition can be different depending on the country and manufacturers

Abboticin Denmark, Finland, Norway, Sweden
Eristin Argentina
Erithromicina Chile
Erycinum Germany
Erythrocin Australia, Austria, Canada, Germany, Great Britain, Ireland, New Zealand, Saudi Arabia, United States of America
Erythrocin lactobionat ADD Vantage Australia, Austria
Erythrocine Belgium, France, Luxembourg, Netherlands, Tunisia
Erythromycin Germany, Great Britain, Hungary, Saudi Arabia, United States of America
Erythromycine Luxembourg
Erythromycinum Poland
Pantomicina Chile, Spain
Compatibility   injection   Compatibility : Erythromycin lactobionate              
This screen indicates the compatibilities or incompatibilities with, in this case, the type of incompatibility (precipitation, color change, modification of an emulsion, etc.). The compatibilities shown here are mostly physical only, with the chemical stability of each molecule rarely being assessed. The evaluation of these mixtures was studied to consider the possibility of Y-site administration to the patient. These data cannot be used for making mixtures in advance in bags or syringes. This type of information is available in the screen "Stability in mixture ».
Compound Solvent References
Compatible
injection Erythromycin lactobionate 4 mg/ml
injection Aciclovir sodium 5 mg/ml
Glucose 5% 336
Unspecified incompatibility Incompatible
injection Erythromycin lactobionate
injection Amikacin sulfate
3674
Unspecified incompatibility Incompatible
injection Erythromycin lactobionate
injection Amikacin sulfate
3549
Unspecified incompatibility Incompatible
injection Erythromycin lactobionate
injection Aminophylline
3674
Compatible
injection Erythromycin lactobionate 2 mg/ml
injection Amiodarone hydrochloride 4 mg/ml
Sodium chloride 0,9% 385
Compatible
injection Erythromycin lactobionate 2 mg/ml
injection Amiodarone hydrochloride 4 mg/ml
Glucose 5% 385
Unspecified incompatibility Incompatible
injection Erythromycin lactobionate
injection Amobarbital sodium
3674
Unspecified incompatibility Incompatible
injection Erythromycin lactobionate
injection Amoxicillin sodium
3674
Immediate precipitation Incompatible
injection Erythromycin lactobionate 50 mg/ml
injection Amoxicillin sodium / clavulanic acid 100/10 mg/ml
3824
Unspecified incompatibility Incompatible
injection Erythromycin lactobionate
injection Amoxicillin sodium / clavulanic acid
3674
Unspecified incompatibility Incompatible
injection Erythromycin lactobionate
injection Ampicillin sodium
3674
Unspecified incompatibility Incompatible
injection Erythromycin lactobionate
injection Ampicillin sodium - sulbactam sodium
3674
Compatible
injection Erythromycin lactobionate 5 mg/ml
injection Anidulafungin 0.5 mg/ml
Glucose 5% 1982
Unspecified incompatibility Incompatible
injection Erythromycin lactobionate
injection Ascorbic acid
5089
Unspecified incompatibility Incompatible
injection Erythromycin lactobionate
injection Ascorbic acid
3674
Unspecified incompatibility Incompatible
injection Erythromycin lactobionate
injection Aztreonam
3674
Compatible
injection Erythromycin lactobionate 5 mg/ml
injection Bivalirudin 5 mg/ml
Glucose 5% 1713
Compatible
injection Erythromycin lactobionate
Sodium chloride 0,9% 3674
Immediate precipitation Incompatible
injection Erythromycin lactobionate 50 mg/ml
injection Caffeine 10 mg/ml
None 3964
Unspecified incompatibility Incompatible
injection Erythromycin lactobionate
injection Cefalotin sodium
3674
Unspecified incompatibility Incompatible
injection Erythromycin lactobionate
injection Cefamandole nafate
3674
Unspecified incompatibility Incompatible
injection Erythromycin lactobionate
injection Cefazolin sodium
3674
Turbidity in one hour Incompatible
injection Erythromycin lactobionate 20 mg/ml
injection Cefazolin sodium 220 mg/ml
805
Unspecified incompatibility Incompatible
injection Erythromycin lactobionate
injection Cefepime dihydrochloride
3674
Chemical instability Incompatible
injection Erythromycin lactobionate 5 mg/ml
injection Cefepime dihydrochloride 125 mg/ml
Water for Injection 2141
Unspecified incompatibility Incompatible
injection Erythromycin lactobionate
injection Cefmenoxime
3674
Unspecified incompatibility Incompatible
injection Erythromycin lactobionate
injection Cefmetazole sodium
3674
Immediate precipitation Incompatible
injection Erythromycin lactobionate 10 & 50 mg/ml
injection Cefmetazole sodium 100 mg/ml
Water for Injection 93
Unspecified incompatibility Incompatible
injection Erythromycin lactobionate
injection Cefonicid sodium
3674
Unspecified incompatibility Incompatible
injection Erythromycin lactobionate
injection Cefoperazone sodium
3674
Unspecified incompatibility Incompatible
injection Erythromycin lactobionate
injection Ceforanide
3674
Unspecified incompatibility Incompatible
injection Erythromycin lactobionate
injection Cefotaxime sodium
3674
Unspecified incompatibility Incompatible
injection Erythromycin lactobionate
injection Cefoxitin sodium
3674
Unspecified incompatibility Incompatible
injection Erythromycin lactobionate
injection Cefpirome sulfate
3674
Unspecified incompatibility Incompatible
injection Erythromycin lactobionate
injection Ceftaroline fosamil
3674
Immediate precipitation Incompatible
injection Erythromycin lactobionate 5 mg/ml
injection Ceftazidime 125 mg/ml
Water for Injection 2141
Unspecified incompatibility Incompatible
injection Erythromycin lactobionate
injection Ceftazidime
3674
Immediate precipitation Incompatible
injection Erythromycin lactobionate 10 & 50 mg/ml
injection Ceftazidime 83.3 mg/ml
1759
Unspecified incompatibility Incompatible
injection Erythromycin lactobionate
injection Ceftazidime Avibactam
3674
Unspecified incompatibility Incompatible
injection Erythromycin lactobionate
injection Ceftizoxime sodium
3674
Unspecified incompatibility Incompatible
injection Erythromycin lactobionate
injection Ceftobiprole medocaril sodium
3674
Unspecified incompatibility Incompatible
injection Erythromycin lactobionate
injection Ceftolozane / tazobactam
3674
Unspecified incompatibility Incompatible
injection Erythromycin lactobionate
injection Ceftriaxone disodium
3674
Unspecified incompatibility Incompatible
injection Erythromycin lactobionate
injection Cefuroxime sodium
3674
Unspecified incompatibility Incompatible
injection Erythromycin lactobionate
injection Cefuzonam
3674
Unspecified incompatibility Incompatible
injection Erythromycin lactobionate
injection Chloramphenicol sodium succinate
3674
Unspecified incompatibility Incompatible
injection Erythromycin lactobionate
injection Chlorpromazine hydrochloride
3674
Compatible
injection Erythromycin lactobionate 5 & 50 mg/ml
injection Diltiazem hydrochloride 5 mg/ml
Sodium chloride 0,9% 198
Unspecified incompatibility Incompatible
injection Erythromycin lactobionate
injection Doripenem
3674
Compatible
injection Erythromycin lactobionate 10 mg/ml
Parenteral nutrition (binary mixture) 939
Compatible
injection Erythromycin lactobionate 5 mg/ml
injection Cimetidine hydrochloride 3 mg/ml
Sodium chloride 0,9% 1201
Immediate precipitation Incompatible
injection Erythromycin lactobionate 50 mg/ml
injection Cloxacillin sodium 100 mg/ml
Water for Injection 3012
Unspecified incompatibility Incompatible
injection Erythromycin lactobionate
injection Cloxacillin sodium
3674
Unspecified incompatibility Incompatible
injection Erythromycin lactobionate
injection Colistin mesilate sodium
3674
Compatible
injection Erythromycin lactobionate 5 mg/ml
injection Dexmedetomidine 4 µg/ml
Sodium chloride 0,9% 1712
Compatible
injection Erythromycin lactobionate 5 mg/ml
injection Doxapram hydrochloride 2 mg/ml
Glucose 5% 1802
Unspecified incompatibility Incompatible
injection Erythromycin lactobionate
injection Doxycycline hyclate
3674
Compatible
injection Erythromycin lactobionate 5 mg/ml
injection Enalaprilate 0.05 mg/ml
Sodium chloride 0,9% 1315
Unspecified incompatibility Incompatible
injection Erythromycin lactobionate
injection Ertapenem
3674
Compatible
injection Erythromycin lactobionate 5 mg/ml
injection Esmolol hydrochloride 10 mg/ml
Glucose 5% 384
Compatible
injection Erythromycin lactobionate 2 mg/ml
injection Famotidine
Glucose 5% 397
Compatible
injection Erythromycin lactobionate
Glucose 5% 3674
Compatible
injection Erythromycin lactobionate 5 mg/ml
injection Fenoldopam mesylate 80 µg/ml
Sodium chloride 0,9% 1803
Unspecified incompatibility Incompatible
injection Erythromycin lactobionate
injection Flucloxacillin sodium
3674
Immediate precipitation Incompatible
injection Erythromycin lactobionate 5 mg/ml
injection Flucloxacillin sodium 20 mg/ml
Sodium chloride 0,9% 1232
Immediate precipitation Incompatible
injection Erythromycin lactobionate 20 mg/ml
injection Fluconazole 2 mg/ml
Sodium chloride 0,9% 496
Compatible
injection Erythromycin lactobionate 20 mg/ml
injection Foscarnet sodium 24 mg/ml
Sodium chloride 0,9% 1135
Compatible
injection Erythromycin lactobionate 20 mg/ml
injection Foscarnet sodium 24 mg/ml
None 73
Immediate precipitation Incompatible
injection Erythromycin lactobionate 5 mg/ml
injection Furosemide 1 mg/ml
Sodium chloride 0,9% 1232
Unspecified incompatibility Incompatible
injection Erythromycin lactobionate
injection Gentamicin sulfate
3643
Unspecified incompatibility Incompatible
injection Erythromycin lactobionate
injection Gentamicin sulfate
3520
Unspecified incompatibility Incompatible
injection Erythromycin lactobionate
injection Gentamicin sulfate
3674
Unspecified incompatibility Incompatible
injection Erythromycin lactobionate
injection Heparin sodium
3674
Compatible
injection Erythromycin lactobionate 50 mg/ml
Ringer’s lactate solution 4603
Compatible
injection Erythromycin lactobionate 3.3 mg/ml
injection Heparin sodium 50 UI/ml
None 317
Compatible
injection Erythromycin lactobionate 50 mg/ml
Parenteral nutrition (binary mixture) 999
Unspecified incompatibility Incompatible
injection Erythromycin lactobionate
injection Heparin sodium
3540
Compatible
injection Erythromycin lactobionate 5 mg/ml
injection Hetastarch 60 mg/ml
specific solvent 1721
Compatible
injection Erythromycin lactobionate 5 mg/ml
injection Hydromorphone hydrochloride 0.2 mg/ml
Glucose 5% 405
Compatible
injection Erythromycin lactobionate 2 mg/ml
injection Idarubicin hydrochloride 1 mg/ml
Sodium chloride 0,9% 491
Unspecified incompatibility Incompatible
injection Erythromycin lactobionate
injection Imipenem - cilastatin sodium
3674
Unspecified incompatibility Incompatible
injection Erythromycin lactobionate
injection Kanamycin sulfate
3674
Compatible
injection Erythromycin lactobionate 5 mg/ml
injection Labetalol hydrochloride 1 mg/ml
Glucose 5% 386
Unspecified incompatibility Incompatible
injection Erythromycin lactobionate
injection Levomepromazine
3674
Chemical instability Incompatible
injection Erythromycin lactobionate 5 mg/ml
injection Linezolid 2 mg/ml
None 1607
Unspecified incompatibility Incompatible
injection Erythromycin lactobionate
injection Linezolid
3560
Compatible
injection Erythromycin lactobionate 5 mg/ml
injection Linezolid 2 mg/ml
None 1925
Compatible
injection Erythromycin lactobionate 5 mg/ml
injection Lorazepam 0.33 mg/ml
Sodium chloride 0,9% 186
Compatible
injection Erythromycin lactobionate 5 mg/ml
injection Magnesium sulfate 16.67 >> 100 mg/ml
Glucose 5% 1047
Compatible
injection Erythromycin lactobionate 50 mg/ml
injection Meropenem 50 mg/ml
Water for Injection 4319
Unspecified incompatibility Incompatible
injection Erythromycin lactobionate
injection Meropenem
3674
Unspecified incompatibility Incompatible
injection Erythromycin lactobionate
injection Mesna
3602
Unspecified incompatibility Incompatible
injection Erythromycin lactobionate
injection Metaraminol
5046
Unspecified incompatibility Incompatible
injection Erythromycin lactobionate
injection Methohexital sodium
3674
Compatible
injection Erythromycin lactobionate 5 mg/ml
injection Midazolam hydrochloride 5 mg/ml
None 186
Unspecified incompatibility Incompatible
injection Erythromycin lactobionate
injection Minocycline hydrochloride
3674
Compatible
injection Erythromycin lactobionate 5 mg/ml
injection Morphine sulfate 1 mg/ml
Glucose 5% 405
Unspecified incompatibility Incompatible
injection Erythromycin lactobionate
injection Moxalactam
3674
Unspecified incompatibility Incompatible
injection Erythromycin lactobionate
injection N-acetylcysteine 200 mg/ml
None 3766
Unspecified incompatibility Incompatible
injection Erythromycin lactobionate
injection Nafcillin sodium
3674
Compatible
injection Erythromycin lactobionate 50 mg/ml
injection Naloxone hydrochloride 0.4 mg/ml
None 3408
Unspecified incompatibility Incompatible
injection Erythromycin lactobionate
injection Netilmicin sulfate
3674
Compatible
injection Erythromycin lactobionate 5 mg/ml
injection Nicardipine hydrochloride 0.1 mg/ml
Sodium chloride 0,9% 1490
Compatible
injection Erythromycin lactobionate 5 mg/ml
injection Nicardipine hydrochloride 0.1 mg/ml
Glucose 5% 1490
Unspecified incompatibility Incompatible
injection Erythromycin lactobionate
injection Oxacillin sodium
3674
Unspecified incompatibility Incompatible
injection Erythromycin lactobionate
injection Oxytetracycline hydrochloride
3674
Compatible
injection Erythromycin lactobionate 50 mg/ml
injection Paracetamol 10 mg/ml
4742
Unspecified incompatibility Incompatible
injection Erythromycin lactobionate
injection Penicillin G potassium
3674
Unspecified incompatibility Incompatible
injection Erythromycin lactobionate
injection Penicillin G sodium
3674
Unspecified incompatibility Incompatible
injection Erythromycin lactobionate
injection Pentobarbital sodium
3674
Compatible
injection Erythromycin lactobionate 5 mg/ml
injection Pethidine hydrochloride 10 mg/ml
Glucose 5% 405
Unspecified incompatibility Incompatible
injection Erythromycin lactobionate
injection Phenobarbital sodium
3674
Unspecified incompatibility Incompatible
injection Erythromycin lactobionate
injection Phenytoin sodium
3674
Unspecified incompatibility Incompatible
injection Erythromycin lactobionate
injection Piperacillin sodium
3674
Unspecified incompatibility Incompatible
injection Erythromycin lactobionate
injection Piperacillin sodium / tazobactam
3674
Unspecified incompatibility Incompatible
injection Erythromycin lactobionate
injection Plazomicin sulfate
3674
Unspecified incompatibility Incompatible
injection Erythromycin lactobionate
injection Prochlorperazine edysilate
3674
Unspecified incompatibility Incompatible
injection Erythromycin lactobionate
injection Promethazine hydrochloride
3674
Unspecified incompatibility Incompatible
injection Erythromycin lactobionate
injection Pyridoxine hydrochloride
3674
Unspecified incompatibility Incompatible
injection Erythromycin lactobionate
injection Rocuronium bromide
3564
Compatible
injection Erythromycin lactobionate 50 mg/ml
injection Salbutamol sulfate 1 mg/ml
None 3216
Unspecified incompatibility Incompatible
injection Erythromycin lactobionate
injection Streptomycin sulfate
3674
Compatible
injection Erythromycin lactobionate 20 mg/ml
injection Tacrolimus 1000 µg/ml
Sodium chloride 0,9% 479
Unspecified incompatibility Incompatible
injection Erythromycin lactobionate
injection Temocilline
3674
Compatible
injection Erythromycin lactobionate 5 mg/ml
injection Temocilline 83.33 mg/ml
Water for Injection 2231
Compatible
injection Erythromycin lactobionate 3.3 mg/ml
injection Theophylline 4 mg/ml
None 317
Immediate precipitation Incompatible
injection Erythromycin lactobionate 50 mg/ml
injection Thiopental sodium 25 mg/ml
Sodium chloride 0,9% 3767
Unspecified incompatibility Incompatible
injection Erythromycin lactobionate
injection Thiopental sodium
3674
Unspecified incompatibility Incompatible
injection Erythromycin lactobionate
injection Ticarcillin / clavulanic acid
3674
Unspecified incompatibility Incompatible
injection Erythromycin lactobionate
injection Tigecycline
3674
Unspecified incompatibility Incompatible
injection Erythromycin lactobionate
injection Tobramycin sulfate
3674
Unspecified incompatibility Incompatible
injection Erythromycin lactobionate
injection Triflupromazine hydrochloride
3674
Compatible
injection Erythromycin lactobionate 5 mg/ml
injection Vancomycin hydrochloride 10 mg/ml
Glucose 5% 3385
Compatible
injection Erythromycin lactobionate 2 mg/ml
injection Verapamil hydrochloride 0.08 mg/ml
Sodium chloride 0,9% 1057
Compatible
injection Erythromycin lactobionate 2 mg/ml
injection Verapamil hydrochloride 0.08 mg/ml
Glucose 5% 1057
Compatible
injection Erythromycin lactobionate 20 mg/ml
injection Zidovudine 4 mg/ml
Glucose 5% 337

  Mentions Légales