Utolsó frissítés :
18/03/2026
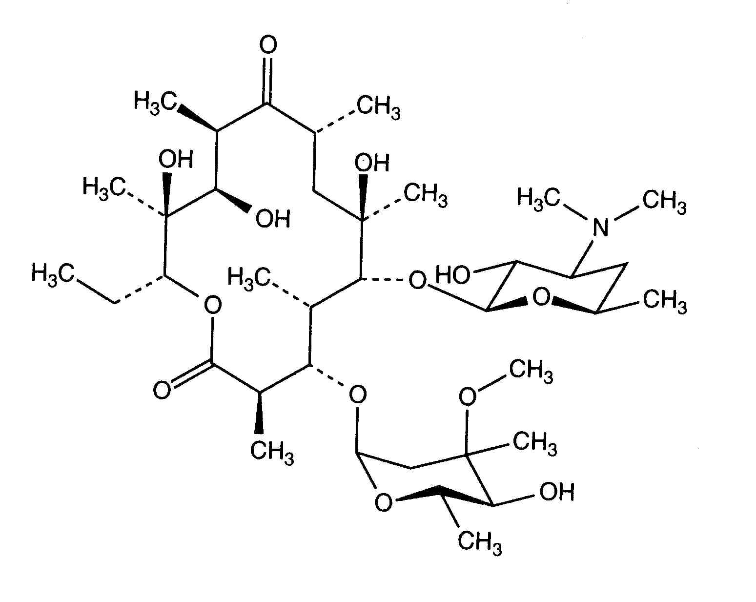
Antibiotikum   Erythromycin lactobionate  
Injekció
Az oldatok stabilitása A keverékek stabilitása Stabilitást befolyásoló tényezők Kompatibilitás Az alkalmazás módja Irodalom pdf
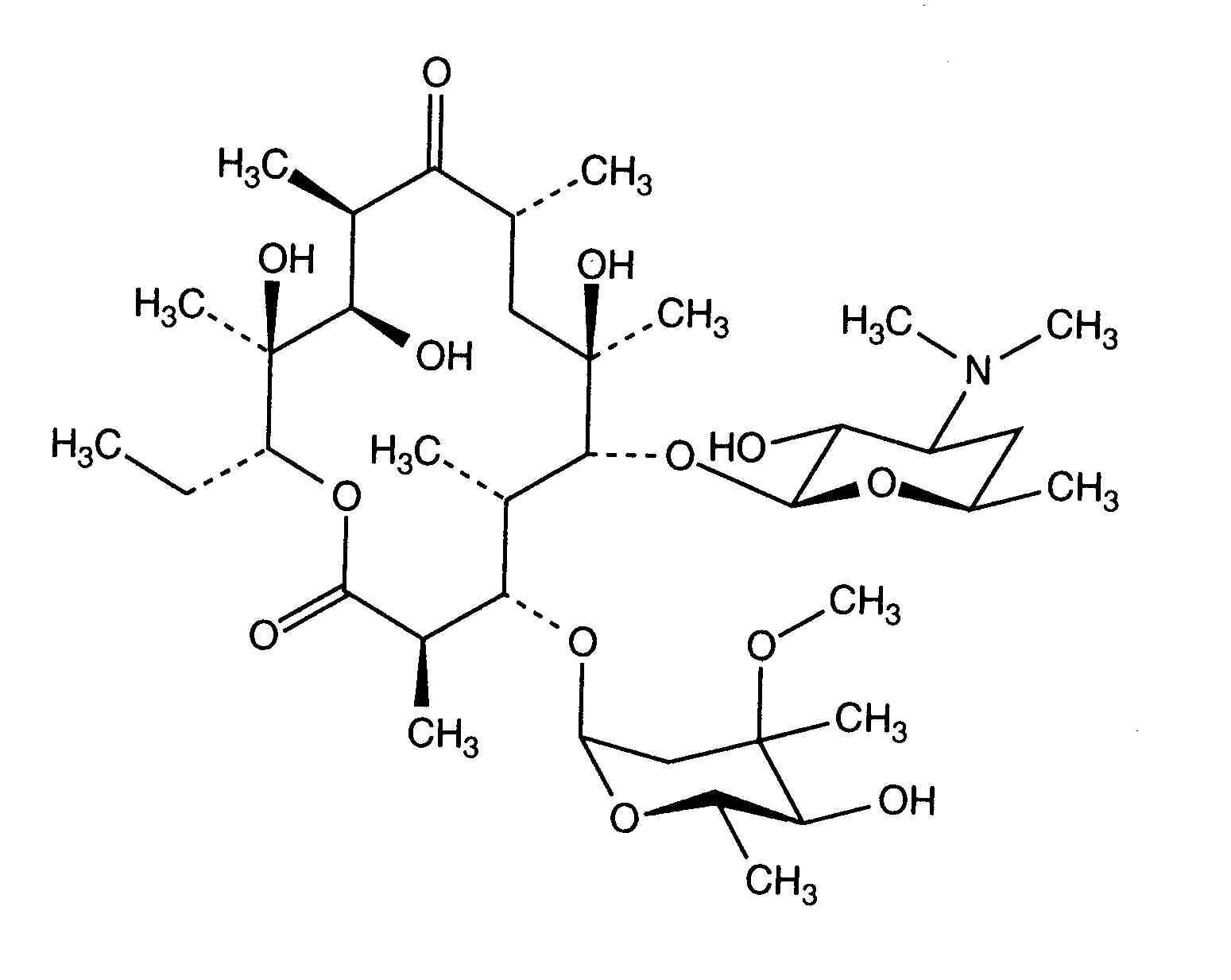
   Kémiai szerkezet   

Kereskedelmi név   Kereskedelmi név     

A kereskedelmi név meghatározó jelentőségű: a készítmények összetétele országonként, előállítóként eltérő lehet

Abboticin Dánia, Finnország, Norvégia, Svédország
Eristin Argentína
Erithromicina Chile
Erycinum Németország
Erythrocin Amerikai Egyesült Államok, Ausztrália, Ausztria, Írország, Kanada, Nagy-Britannia, Németország, Szaúd-Arábiában, új-Zéland
Erythrocin lactobionat ADD Vantage Ausztrália, Ausztria
Erythrocine Belgium, Franciaország, Hollandia, Luxemburg, Tunézia
Erythromycin Amerikai Egyesült Államok, Magyarország, Nagy-Britannia, Németország, Szaúd-Arábiában
Erythromycine Luxemburg
Erythromycinum Lengyelország
Pantomicina Chile, Spanyolország

Stabilitást befolyásoló tényezők   Injekció   Stabilitást befolyásoló tényezők : Erythromycin lactobionate        
Irodalom
pH pH >10 Előidéz Lebomlás 20
pH 7,5 < pH < 8 Előidéz Stabilitás  növekedés 1153
pH pH < 5,5 Előidéz Lebomlás 20

  Mentions Légales