Siste oppdatering :
18/03/2026
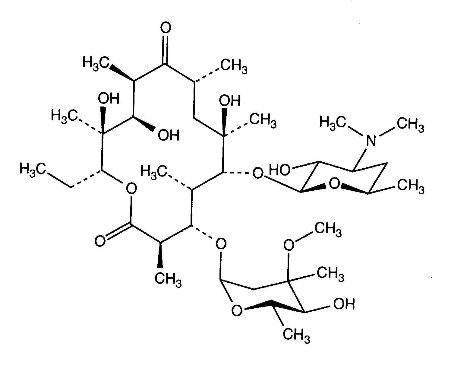
Antibiotika   Erythromycin lactobionate  
Injeksjon
Oppløsningsstabilitet Stabilitet i blandinger Faktorer som påvirker stabiliteten Kompatibilitet Administrasjonsmåte Referanser pdf
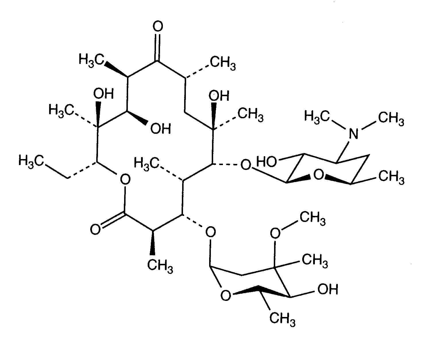
   Kjemisk struktur  

Handelsnavn   Handelsnavn     

Handelsnavn er veiledende og sammensetning av hjelpestoffer kan være forskjellig avhengig av land og produsent

Abboticin Danmark, Finland, Norge, Sverige
Eristin Argentina
Erithromicina Chile
Erycinum Tyskland
Erythrocin Australia, Canada, Irland, New Zealand, Saudi-Arabia, Storbritannia, Tyskland, USA, Østerrike
Erythrocin lactobionat ADD Vantage Australia, Østerrike
Erythrocine Belgia, Frankrike, Luxembourg, Nederland, Tunisia
Erythromycin Saudi-Arabia, Storbritannia, Tyskland, Ungarn, USA
Erythromycine Luxembourg
Erythromycinum Polen
Pantomicina Chile, Spania
Kompatibilitet   Injeksjon   Kompatibilitet : Erythromycin lactobionate              
Dette skjermbildet viser kompatibilitet eller inkompatibilitet med, i dette tilfellet, typen inkompatibilitet (nedbør, fargeendring, modifisering av en emulsjon, etc.). Kompatibilitetene som er vist her, er for det meste bare fysiske, og den kjemiske stabiliteten til hvert molekyl blir sjelden vurdert. Evalueringen av disse blandingene ble studert for å vurdere muligheten for Y-stedadministrasjon til pasienten. Disse dataene kan ikke brukes til å lage blandinger på forhånd i poser eller sprøyter. Denne typen informasjon er tilgjengelig på skjermen "Stabilitet i blanding".
Legemiddel Oppløsningsmiddel Referanser
Kompatibel
Injeksjon Erythromycin lactobionate 4 mg/ml
Injeksjon Aciclovir sodium 5 mg/ml
Glukose 5 % 336
Uspesifisert inkompatibilitet Uforenlig
Injeksjon Erythromycin lactobionate
Injeksjon Amikacin sulfate
3674
Uspesifisert inkompatibilitet Uforenlig
Injeksjon Erythromycin lactobionate
Injeksjon Amikacin sulfate
3549
Uspesifisert inkompatibilitet Uforenlig
Injeksjon Erythromycin lactobionate
Injeksjon Aminophylline
3674
Kompatibel
Injeksjon Erythromycin lactobionate 2 mg/ml
Injeksjon Amiodarone hydrochloride 4 mg/ml
Natriumklorid 0,9 % 385
Kompatibel
Injeksjon Erythromycin lactobionate 2 mg/ml
Injeksjon Amiodarone hydrochloride 4 mg/ml
Glukose 5 % 385
Uspesifisert inkompatibilitet Uforenlig
Injeksjon Erythromycin lactobionate
Injeksjon Amobarbital sodium
3674
Uspesifisert inkompatibilitet Uforenlig
Injeksjon Erythromycin lactobionate
Injeksjon Amoxicillin sodium
3674
Umiddelbar nedbør Uforenlig
Injeksjon Erythromycin lactobionate 50 mg/ml
Injeksjon Amoxicillin sodium / clavulanic acid 100/10 mg/ml
3824
Uspesifisert inkompatibilitet Uforenlig
Injeksjon Erythromycin lactobionate
Injeksjon Amoxicillin sodium / clavulanic acid
3674
Uspesifisert inkompatibilitet Uforenlig
Injeksjon Erythromycin lactobionate
Injeksjon Ampicillin sodium
3674
Uspesifisert inkompatibilitet Uforenlig
Injeksjon Erythromycin lactobionate
Injeksjon Ampicillin sodium - sulbactam sodium
3674
Kompatibel
Injeksjon Erythromycin lactobionate 5 mg/ml
Injeksjon Anidulafungin 0.5 mg/ml
Glukose 5 % 1982
Uspesifisert inkompatibilitet Uforenlig
Injeksjon Erythromycin lactobionate
Injeksjon Ascorbic acid
5089
Uspesifisert inkompatibilitet Uforenlig
Injeksjon Erythromycin lactobionate
Injeksjon Ascorbic acid
3674
Uspesifisert inkompatibilitet Uforenlig
Injeksjon Erythromycin lactobionate
Injeksjon Aztreonam
3674
Kompatibel
Injeksjon Erythromycin lactobionate 5 mg/ml
Injeksjon Bivalirudin 5 mg/ml
Glukose 5 % 1713
Kompatibel
Injeksjon Erythromycin lactobionate
Natriumklorid 0,9 % 3674
Umiddelbar nedbør Uforenlig
Injeksjon Erythromycin lactobionate 50 mg/ml
Injeksjon Caffeine 10 mg/ml
Ingen 3964
Uspesifisert inkompatibilitet Uforenlig
Injeksjon Erythromycin lactobionate
Injeksjon Cefalotin sodium
3674
Uspesifisert inkompatibilitet Uforenlig
Injeksjon Erythromycin lactobionate
Injeksjon Cefamandole nafate
3674
Uspesifisert inkompatibilitet Uforenlig
Injeksjon Erythromycin lactobionate
Injeksjon Cefazolin sodium
3674
Turbiditet på en time Uforenlig
Injeksjon Erythromycin lactobionate 20 mg/ml
Injeksjon Cefazolin sodium 220 mg/ml
805
Uspesifisert inkompatibilitet Uforenlig
Injeksjon Erythromycin lactobionate
Injeksjon Cefepime dihydrochloride
3674
Kjemisk ustabilitet Uforenlig
Injeksjon Erythromycin lactobionate 5 mg/ml
Injeksjon Cefepime dihydrochloride 125 mg/ml
Vann til injeksjon 2141
Uspesifisert inkompatibilitet Uforenlig
Injeksjon Erythromycin lactobionate
Injeksjon Cefmenoxime
3674
Uspesifisert inkompatibilitet Uforenlig
Injeksjon Erythromycin lactobionate
Injeksjon Cefmetazole sodium
3674
Umiddelbar nedbør Uforenlig
Injeksjon Erythromycin lactobionate 10 & 50 mg/ml
Injeksjon Cefmetazole sodium 100 mg/ml
Vann til injeksjon 93
Uspesifisert inkompatibilitet Uforenlig
Injeksjon Erythromycin lactobionate
Injeksjon Cefonicid sodium
3674
Uspesifisert inkompatibilitet Uforenlig
Injeksjon Erythromycin lactobionate
Injeksjon Cefoperazone sodium
3674
Uspesifisert inkompatibilitet Uforenlig
Injeksjon Erythromycin lactobionate
Injeksjon Ceforanide
3674
Uspesifisert inkompatibilitet Uforenlig
Injeksjon Erythromycin lactobionate
Injeksjon Cefotaxime sodium
3674
Uspesifisert inkompatibilitet Uforenlig
Injeksjon Erythromycin lactobionate
Injeksjon Cefoxitin sodium
3674
Uspesifisert inkompatibilitet Uforenlig
Injeksjon Erythromycin lactobionate
Injeksjon Cefpirome sulfate
3674
Uspesifisert inkompatibilitet Uforenlig
Injeksjon Erythromycin lactobionate
Injeksjon Ceftaroline fosamil
3674
Umiddelbar nedbør Uforenlig
Injeksjon Erythromycin lactobionate 5 mg/ml
Injeksjon Ceftazidime 125 mg/ml
Vann til injeksjon 2141
Uspesifisert inkompatibilitet Uforenlig
Injeksjon Erythromycin lactobionate
Injeksjon Ceftazidime
3674
Umiddelbar nedbør Uforenlig
Injeksjon Erythromycin lactobionate 10 & 50 mg/ml
Injeksjon Ceftazidime 83.3 mg/ml
1759
Uspesifisert inkompatibilitet Uforenlig
Injeksjon Erythromycin lactobionate
Injeksjon Ceftazidime Avibactam
3674
Uspesifisert inkompatibilitet Uforenlig
Injeksjon Erythromycin lactobionate
Injeksjon Ceftizoxime sodium
3674
Uspesifisert inkompatibilitet Uforenlig
Injeksjon Erythromycin lactobionate
Injeksjon Ceftobiprole medocaril sodium
3674
Uspesifisert inkompatibilitet Uforenlig
Injeksjon Erythromycin lactobionate
Injeksjon Ceftolozane / tazobactam
3674
Uspesifisert inkompatibilitet Uforenlig
Injeksjon Erythromycin lactobionate
Injeksjon Ceftriaxone disodium
3674
Uspesifisert inkompatibilitet Uforenlig
Injeksjon Erythromycin lactobionate
Injeksjon Cefuroxime sodium
3674
Uspesifisert inkompatibilitet Uforenlig
Injeksjon Erythromycin lactobionate
Injeksjon Cefuzonam
3674
Uspesifisert inkompatibilitet Uforenlig
Injeksjon Erythromycin lactobionate
Injeksjon Chloramphenicol sodium succinate
3674
Uspesifisert inkompatibilitet Uforenlig
Injeksjon Erythromycin lactobionate
Injeksjon Chlorpromazine hydrochloride
3674
Kompatibel
Injeksjon Erythromycin lactobionate 5 & 50 mg/ml
Injeksjon Diltiazem hydrochloride 5 mg/ml
Natriumklorid 0,9 % 198
Uspesifisert inkompatibilitet Uforenlig
Injeksjon Erythromycin lactobionate
Injeksjon Doripenem
3674
Kompatibel
Injeksjon Erythromycin lactobionate 10 mg/ml
Parenteral ernæring(lipid-free) 939
Kompatibel
Injeksjon Erythromycin lactobionate 5 mg/ml
Injeksjon Cimetidine hydrochloride 3 mg/ml
Natriumklorid 0,9 % 1201
Umiddelbar nedbør Uforenlig
Injeksjon Erythromycin lactobionate 50 mg/ml
Injeksjon Cloxacillin sodium 100 mg/ml
Vann til injeksjon 3012
Uspesifisert inkompatibilitet Uforenlig
Injeksjon Erythromycin lactobionate
Injeksjon Cloxacillin sodium
3674
Uspesifisert inkompatibilitet Uforenlig
Injeksjon Erythromycin lactobionate
Injeksjon Colistin mesilate sodium
3674
Kompatibel
Injeksjon Erythromycin lactobionate 5 mg/ml
Injeksjon Dexmedetomidine 4 µg/ml
Natriumklorid 0,9 % 1712
Kompatibel
Injeksjon Erythromycin lactobionate 5 mg/ml
Injeksjon Doxapram hydrochloride 2 mg/ml
Glukose 5 % 1802
Uspesifisert inkompatibilitet Uforenlig
Injeksjon Erythromycin lactobionate
Injeksjon Doxycycline hyclate
3674
Kompatibel
Injeksjon Erythromycin lactobionate 5 mg/ml
Injeksjon Enalaprilate 0.05 mg/ml
Natriumklorid 0,9 % 1315
Uspesifisert inkompatibilitet Uforenlig
Injeksjon Erythromycin lactobionate
Injeksjon Ertapenem
3674
Kompatibel
Injeksjon Erythromycin lactobionate 5 mg/ml
Injeksjon Esmolol hydrochloride 10 mg/ml
Glukose 5 % 384
Kompatibel
Injeksjon Erythromycin lactobionate 2 mg/ml
Injeksjon Famotidine
Glukose 5 % 397
Kompatibel
Injeksjon Erythromycin lactobionate
Glukose 5 % 3674
Kompatibel
Injeksjon Erythromycin lactobionate 5 mg/ml
Injeksjon Fenoldopam mesylate 80 µg/ml
Natriumklorid 0,9 % 1803
Uspesifisert inkompatibilitet Uforenlig
Injeksjon Erythromycin lactobionate
Injeksjon Flucloxacillin sodium
3674
Umiddelbar nedbør Uforenlig
Injeksjon Erythromycin lactobionate 5 mg/ml
Injeksjon Flucloxacillin sodium 20 mg/ml
Natriumklorid 0,9 % 1232
Umiddelbar nedbør Uforenlig
Injeksjon Erythromycin lactobionate 20 mg/ml
Injeksjon Fluconazole 2 mg/ml
Natriumklorid 0,9 % 496
Kompatibel
Injeksjon Erythromycin lactobionate 20 mg/ml
Injeksjon Foscarnet sodium 24 mg/ml
Natriumklorid 0,9 % 1135
Kompatibel
Injeksjon Erythromycin lactobionate 20 mg/ml
Injeksjon Foscarnet sodium 24 mg/ml
Ingen 73
Umiddelbar nedbør Uforenlig
Injeksjon Erythromycin lactobionate 5 mg/ml
Injeksjon Furosemide 1 mg/ml
Natriumklorid 0,9 % 1232
Uspesifisert inkompatibilitet Uforenlig
Injeksjon Erythromycin lactobionate
Injeksjon Gentamicin sulfate
3643
Uspesifisert inkompatibilitet Uforenlig
Injeksjon Erythromycin lactobionate
Injeksjon Gentamicin sulfate
3520
Uspesifisert inkompatibilitet Uforenlig
Injeksjon Erythromycin lactobionate
Injeksjon Gentamicin sulfate
3674
Uspesifisert inkompatibilitet Uforenlig
Injeksjon Erythromycin lactobionate
Injeksjon Heparin sodium
3674
Kompatibel
Injeksjon Erythromycin lactobionate 50 mg/ml
Ringers laktatoppløsning 4603
Kompatibel
Injeksjon Erythromycin lactobionate 3.3 mg/ml
Injeksjon Heparin sodium 50 UI/ml
Ingen 317
Kompatibel
Injeksjon Erythromycin lactobionate 50 mg/ml
Parenteral ernæring(lipid-free) 999
Uspesifisert inkompatibilitet Uforenlig
Injeksjon Erythromycin lactobionate
Injeksjon Heparin sodium
3540
Kompatibel
Injeksjon Erythromycin lactobionate 5 mg/ml
Injeksjon Hetastarch 60 mg/ml
spesifikk løsemiddel 1721
Kompatibel
Injeksjon Erythromycin lactobionate 5 mg/ml
Injeksjon Hydromorphone hydrochloride 0.2 mg/ml
Glukose 5 % 405
Kompatibel
Injeksjon Erythromycin lactobionate 2 mg/ml
Injeksjon Idarubicin hydrochloride 1 mg/ml
Natriumklorid 0,9 % 491
Uspesifisert inkompatibilitet Uforenlig
Injeksjon Erythromycin lactobionate
Injeksjon Imipenem - cilastatin sodium
3674
Uspesifisert inkompatibilitet Uforenlig
Injeksjon Erythromycin lactobionate
Injeksjon Kanamycin sulfate
3674
Kompatibel
Injeksjon Erythromycin lactobionate 5 mg/ml
Injeksjon Labetalol hydrochloride 1 mg/ml
Glukose 5 % 386
Uspesifisert inkompatibilitet Uforenlig
Injeksjon Erythromycin lactobionate
Injeksjon Levomepromazine
3674
Kjemisk ustabilitet Uforenlig
Injeksjon Erythromycin lactobionate 5 mg/ml
Injeksjon Linezolid 2 mg/ml
Ingen 1607
Uspesifisert inkompatibilitet Uforenlig
Injeksjon Erythromycin lactobionate
Injeksjon Linezolid
3560
Kompatibel
Injeksjon Erythromycin lactobionate 5 mg/ml
Injeksjon Linezolid 2 mg/ml
Ingen 1925
Kompatibel
Injeksjon Erythromycin lactobionate 5 mg/ml
Injeksjon Lorazepam 0.33 mg/ml
Natriumklorid 0,9 % 186
Kompatibel
Injeksjon Erythromycin lactobionate 5 mg/ml
Injeksjon Magnesium sulfate 16.67 >> 100 mg/ml
Glukose 5 % 1047
Kompatibel
Injeksjon Erythromycin lactobionate 50 mg/ml
Injeksjon Meropenem 50 mg/ml
Vann til injeksjon 4319
Uspesifisert inkompatibilitet Uforenlig
Injeksjon Erythromycin lactobionate
Injeksjon Meropenem
3674
Uspesifisert inkompatibilitet Uforenlig
Injeksjon Erythromycin lactobionate
Injeksjon Mesna
3602
Uspesifisert inkompatibilitet Uforenlig
Injeksjon Erythromycin lactobionate
Injeksjon Metaraminol
5046
Uspesifisert inkompatibilitet Uforenlig
Injeksjon Erythromycin lactobionate
Injeksjon Methohexital sodium
3674
Kompatibel
Injeksjon Erythromycin lactobionate 5 mg/ml
Injeksjon Midazolam hydrochloride 5 mg/ml
Ingen 186
Uspesifisert inkompatibilitet Uforenlig
Injeksjon Erythromycin lactobionate
Injeksjon Minocycline hydrochloride
3674
Kompatibel
Injeksjon Erythromycin lactobionate 5 mg/ml
Injeksjon Morphine sulfate 1 mg/ml
Glukose 5 % 405
Uspesifisert inkompatibilitet Uforenlig
Injeksjon Erythromycin lactobionate
Injeksjon Moxalactam
3674
Uspesifisert inkompatibilitet Uforenlig
Injeksjon Erythromycin lactobionate
Injeksjon N-acetylcysteine 200 mg/ml
Ingen 3766
Uspesifisert inkompatibilitet Uforenlig
Injeksjon Erythromycin lactobionate
Injeksjon Nafcillin sodium
3674
Kompatibel
Injeksjon Erythromycin lactobionate 50 mg/ml
Injeksjon Naloxone hydrochloride 0.4 mg/ml
Ingen 3408
Uspesifisert inkompatibilitet Uforenlig
Injeksjon Erythromycin lactobionate
Injeksjon Netilmicin sulfate
3674
Kompatibel
Injeksjon Erythromycin lactobionate 5 mg/ml
Injeksjon Nicardipine hydrochloride 0.1 mg/ml
Natriumklorid 0,9 % 1490
Kompatibel
Injeksjon Erythromycin lactobionate 5 mg/ml
Injeksjon Nicardipine hydrochloride 0.1 mg/ml
Glukose 5 % 1490
Uspesifisert inkompatibilitet Uforenlig
Injeksjon Erythromycin lactobionate
Injeksjon Oxacillin sodium
3674
Uspesifisert inkompatibilitet Uforenlig
Injeksjon Erythromycin lactobionate
Injeksjon Oxytetracycline hydrochloride
3674
Kompatibel
Injeksjon Erythromycin lactobionate 50 mg/ml
Injeksjon Paracetamol 10 mg/ml
4742
Uspesifisert inkompatibilitet Uforenlig
Injeksjon Erythromycin lactobionate
Injeksjon Penicillin G potassium
3674
Uspesifisert inkompatibilitet Uforenlig
Injeksjon Erythromycin lactobionate
Injeksjon Penicillin G sodium
3674
Uspesifisert inkompatibilitet Uforenlig
Injeksjon Erythromycin lactobionate
Injeksjon Pentobarbital sodium
3674
Kompatibel
Injeksjon Erythromycin lactobionate 5 mg/ml
Injeksjon Pethidine hydrochloride 10 mg/ml
Glukose 5 % 405
Uspesifisert inkompatibilitet Uforenlig
Injeksjon Erythromycin lactobionate
Injeksjon Phenobarbital sodium
3674
Uspesifisert inkompatibilitet Uforenlig
Injeksjon Erythromycin lactobionate
Injeksjon Phenytoin sodium
3674
Uspesifisert inkompatibilitet Uforenlig
Injeksjon Erythromycin lactobionate
Injeksjon Piperacillin sodium
3674
Uspesifisert inkompatibilitet Uforenlig
Injeksjon Erythromycin lactobionate
Injeksjon Piperacillin sodium / tazobactam
3674
Uspesifisert inkompatibilitet Uforenlig
Injeksjon Erythromycin lactobionate
Injeksjon Plazomicin sulfate
3674
Uspesifisert inkompatibilitet Uforenlig
Injeksjon Erythromycin lactobionate
Injeksjon Prochlorperazine edysilate
3674
Uspesifisert inkompatibilitet Uforenlig
Injeksjon Erythromycin lactobionate
Injeksjon Promethazine hydrochloride
3674
Uspesifisert inkompatibilitet Uforenlig
Injeksjon Erythromycin lactobionate
Injeksjon Pyridoxine hydrochloride
3674
Uspesifisert inkompatibilitet Uforenlig
Injeksjon Erythromycin lactobionate
Injeksjon Rocuronium bromide
3564
Kompatibel
Injeksjon Erythromycin lactobionate 50 mg/ml
Injeksjon Salbutamol sulfate 1 mg/ml
Ingen 3216
Uspesifisert inkompatibilitet Uforenlig
Injeksjon Erythromycin lactobionate
Injeksjon Streptomycin sulfate
3674
Kompatibel
Injeksjon Erythromycin lactobionate 20 mg/ml
Injeksjon Tacrolimus 1000 µg/ml
Natriumklorid 0,9 % 479
Uspesifisert inkompatibilitet Uforenlig
Injeksjon Erythromycin lactobionate
Injeksjon Temocilline
3674
Kompatibel
Injeksjon Erythromycin lactobionate 5 mg/ml
Injeksjon Temocilline 83.33 mg/ml
Vann til injeksjon 2231
Kompatibel
Injeksjon Erythromycin lactobionate 3.3 mg/ml
Injeksjon Theophylline 4 mg/ml
Ingen 317
Umiddelbar nedbør Uforenlig
Injeksjon Erythromycin lactobionate 50 mg/ml
Injeksjon Thiopental sodium 25 mg/ml
Natriumklorid 0,9 % 3767
Uspesifisert inkompatibilitet Uforenlig
Injeksjon Erythromycin lactobionate
Injeksjon Thiopental sodium
3674
Uspesifisert inkompatibilitet Uforenlig
Injeksjon Erythromycin lactobionate
Injeksjon Ticarcillin / clavulanic acid
3674
Uspesifisert inkompatibilitet Uforenlig
Injeksjon Erythromycin lactobionate
Injeksjon Tigecycline
3674
Uspesifisert inkompatibilitet Uforenlig
Injeksjon Erythromycin lactobionate
Injeksjon Tobramycin sulfate
3674
Uspesifisert inkompatibilitet Uforenlig
Injeksjon Erythromycin lactobionate
Injeksjon Triflupromazine hydrochloride
3674
Kompatibel
Injeksjon Erythromycin lactobionate 5 mg/ml
Injeksjon Vancomycin hydrochloride 10 mg/ml
Glukose 5 % 3385
Kompatibel
Injeksjon Erythromycin lactobionate 2 mg/ml
Injeksjon Verapamil hydrochloride 0.08 mg/ml
Natriumklorid 0,9 % 1057
Kompatibel
Injeksjon Erythromycin lactobionate 2 mg/ml
Injeksjon Verapamil hydrochloride 0.08 mg/ml
Glukose 5 % 1057
Kompatibel
Injeksjon Erythromycin lactobionate 20 mg/ml
Injeksjon Zidovudine 4 mg/ml
Glukose 5 % 337

  Mentions Légales