Seneste opdatering :
18/03/2026
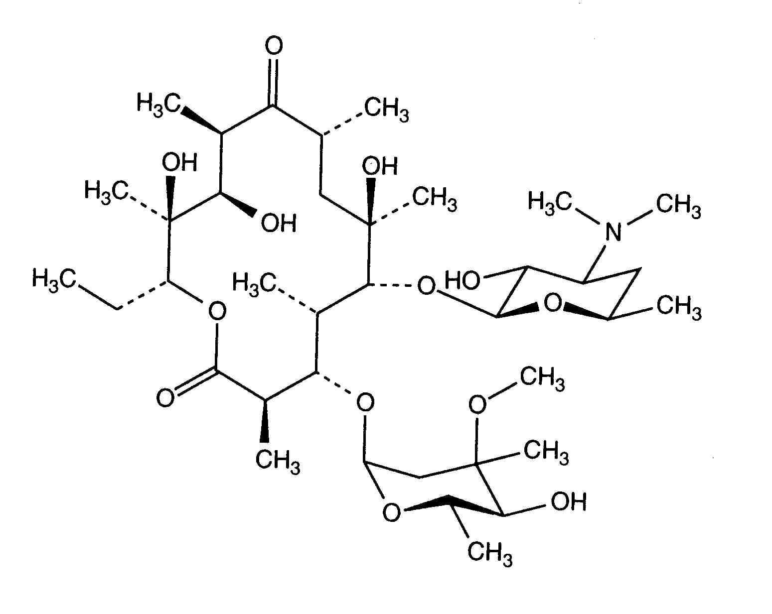
Antibiotisk   Erythromycin lactobionate  
Injektion
Stabilitet i (vandige) opløsninger Stabilitet i blandinger Faktorer der påvirker stabiliteten Kompatibilitet Administrationsvej Bibliografi pdf
   Kemisk struktur  

Handelsnavn   Handelsnavn     

Handel navne er vejledende og hjælpestoffer sammensætning kan være forskellig afhængigt af landet og laboratorier

Abboticin Danmark, Finland, Norge, Sverige
Eristin Argentina
Erithromicina Chile
Erycinum Tyskland
Erythrocin Australien, Canada, Irland, New Zealand, Saudi-Arabien, Storbritanien, Tyskland, USA, Østrig
Erythrocin lactobionat ADD Vantage Australien, Østrig
Erythrocine Belgien, Frankrig, Holland, Luxemborg, Tunesien
Erythromycin Saudi-Arabien, Storbritanien, Tyskland, Ungarn, USA
Erythromycine Luxemborg
Erythromycinum Polen
Pantomicina Chile, Spanien
Kompatibilitet   Injektion   Kompatibilitet : Erythromycin lactobionate              
Denne skærm viser kompatibilitet eller uforenelighed med, i dette tilfælde typen af inkompatibilitet (udfældning, farveændring, ændring af en emulsion osv.). Kompatibiliteterne vist her er for det meste kun fysiske, idet den kemiske stabilitet af hvert molekyle sjældent vurderes. Evalueringen af disse blandinger blev undersøgt for at overveje muligheden for Y-sted-administration til patienten. Disse data kan ikke bruges til at fremstille blandinger på forhånd i poser eller sprøjter. Denne type information findes på skærmen "Stabilitet i blanding".
Molekyle Opløsningsmiddel Bibliografi
Kompatibel
Injektion Erythromycin lactobionate 4 mg/ml
Injektion Aciclovir sodium 5 mg/ml
5 % Glukose 336
Uspecificeret inkompatibilitet Uforenelig
Injektion Erythromycin lactobionate
Injektion Amikacin sulfate
3674
Uspecificeret inkompatibilitet Uforenelig
Injektion Erythromycin lactobionate
Injektion Amikacin sulfate
3549
Uspecificeret inkompatibilitet Uforenelig
Injektion Erythromycin lactobionate
Injektion Aminophylline
3674
Kompatibel
Injektion Erythromycin lactobionate 2 mg/ml
Injektion Amiodarone hydrochloride 4 mg/ml
0,9 % Natriumklorid 385
Kompatibel
Injektion Erythromycin lactobionate 2 mg/ml
Injektion Amiodarone hydrochloride 4 mg/ml
5 % Glukose 385
Uspecificeret inkompatibilitet Uforenelig
Injektion Erythromycin lactobionate
Injektion Amobarbital sodium
3674
Uspecificeret inkompatibilitet Uforenelig
Injektion Erythromycin lactobionate
Injektion Amoxicillin sodium
3674
Umiddelbar nedbør Uforenelig
Injektion Erythromycin lactobionate 50 mg/ml
Injektion Amoxicillin sodium / clavulanic acid 100/10 mg/ml
3824
Uspecificeret inkompatibilitet Uforenelig
Injektion Erythromycin lactobionate
Injektion Amoxicillin sodium / clavulanic acid
3674
Uspecificeret inkompatibilitet Uforenelig
Injektion Erythromycin lactobionate
Injektion Ampicillin sodium
3674
Uspecificeret inkompatibilitet Uforenelig
Injektion Erythromycin lactobionate
Injektion Ampicillin sodium - sulbactam sodium
3674
Kompatibel
Injektion Erythromycin lactobionate 5 mg/ml
Injektion Anidulafungin 0.5 mg/ml
5 % Glukose 1982
Uspecificeret inkompatibilitet Uforenelig
Injektion Erythromycin lactobionate
Injektion Ascorbic acid
5089
Uspecificeret inkompatibilitet Uforenelig
Injektion Erythromycin lactobionate
Injektion Ascorbic acid
3674
Uspecificeret inkompatibilitet Uforenelig
Injektion Erythromycin lactobionate
Injektion Aztreonam
3674
Kompatibel
Injektion Erythromycin lactobionate 5 mg/ml
Injektion Bivalirudin 5 mg/ml
5 % Glukose 1713
Kompatibel
Injektion Erythromycin lactobionate
0,9 % Natriumklorid 3674
Umiddelbar nedbør Uforenelig
Injektion Erythromycin lactobionate 50 mg/ml
Injektion Caffeine 10 mg/ml
Ingen 3964
Uspecificeret inkompatibilitet Uforenelig
Injektion Erythromycin lactobionate
Injektion Cefalotin sodium
3674
Uspecificeret inkompatibilitet Uforenelig
Injektion Erythromycin lactobionate
Injektion Cefamandole nafate
3674
Uspecificeret inkompatibilitet Uforenelig
Injektion Erythromycin lactobionate
Injektion Cefazolin sodium
3674
Turbiditet på en time Uforenelig
Injektion Erythromycin lactobionate 20 mg/ml
Injektion Cefazolin sodium 220 mg/ml
805
Uspecificeret inkompatibilitet Uforenelig
Injektion Erythromycin lactobionate
Injektion Cefepime dihydrochloride
3674
Kemisk ustabilitet Uforenelig
Injektion Erythromycin lactobionate 5 mg/ml
Injektion Cefepime dihydrochloride 125 mg/ml
Vand til injektion 2141
Uspecificeret inkompatibilitet Uforenelig
Injektion Erythromycin lactobionate
Injektion Cefmenoxime
3674
Uspecificeret inkompatibilitet Uforenelig
Injektion Erythromycin lactobionate
Injektion Cefmetazole sodium
3674
Umiddelbar nedbør Uforenelig
Injektion Erythromycin lactobionate 10 & 50 mg/ml
Injektion Cefmetazole sodium 100 mg/ml
Vand til injektion 93
Uspecificeret inkompatibilitet Uforenelig
Injektion Erythromycin lactobionate
Injektion Cefonicid sodium
3674
Uspecificeret inkompatibilitet Uforenelig
Injektion Erythromycin lactobionate
Injektion Cefoperazone sodium
3674
Uspecificeret inkompatibilitet Uforenelig
Injektion Erythromycin lactobionate
Injektion Ceforanide
3674
Uspecificeret inkompatibilitet Uforenelig
Injektion Erythromycin lactobionate
Injektion Cefotaxime sodium
3674
Uspecificeret inkompatibilitet Uforenelig
Injektion Erythromycin lactobionate
Injektion Cefoxitin sodium
3674
Uspecificeret inkompatibilitet Uforenelig
Injektion Erythromycin lactobionate
Injektion Cefpirome sulfate
3674
Uspecificeret inkompatibilitet Uforenelig
Injektion Erythromycin lactobionate
Injektion Ceftaroline fosamil
3674
Umiddelbar nedbør Uforenelig
Injektion Erythromycin lactobionate 5 mg/ml
Injektion Ceftazidime 125 mg/ml
Vand til injektion 2141
Uspecificeret inkompatibilitet Uforenelig
Injektion Erythromycin lactobionate
Injektion Ceftazidime
3674
Umiddelbar nedbør Uforenelig
Injektion Erythromycin lactobionate 10 & 50 mg/ml
Injektion Ceftazidime 83.3 mg/ml
1759
Uspecificeret inkompatibilitet Uforenelig
Injektion Erythromycin lactobionate
Injektion Ceftazidime Avibactam
3674
Uspecificeret inkompatibilitet Uforenelig
Injektion Erythromycin lactobionate
Injektion Ceftizoxime sodium
3674
Uspecificeret inkompatibilitet Uforenelig
Injektion Erythromycin lactobionate
Injektion Ceftobiprole medocaril sodium
3674
Uspecificeret inkompatibilitet Uforenelig
Injektion Erythromycin lactobionate
Injektion Ceftolozane / tazobactam
3674
Uspecificeret inkompatibilitet Uforenelig
Injektion Erythromycin lactobionate
Injektion Ceftriaxone disodium
3674
Uspecificeret inkompatibilitet Uforenelig
Injektion Erythromycin lactobionate
Injektion Cefuroxime sodium
3674
Uspecificeret inkompatibilitet Uforenelig
Injektion Erythromycin lactobionate
Injektion Cefuzonam
3674
Uspecificeret inkompatibilitet Uforenelig
Injektion Erythromycin lactobionate
Injektion Chloramphenicol sodium succinate
3674
Uspecificeret inkompatibilitet Uforenelig
Injektion Erythromycin lactobionate
Injektion Chlorpromazine hydrochloride
3674
Kompatibel
Injektion Erythromycin lactobionate 5 & 50 mg/ml
Injektion Diltiazem hydrochloride 5 mg/ml
0,9 % Natriumklorid 198
Uspecificeret inkompatibilitet Uforenelig
Injektion Erythromycin lactobionate
Injektion Doripenem
3674
Kompatibel
Injektion Erythromycin lactobionate 10 mg/ml
Parenteral ernæring (lipid-fri) 939
Kompatibel
Injektion Erythromycin lactobionate 5 mg/ml
Injektion Cimetidine hydrochloride 3 mg/ml
0,9 % Natriumklorid 1201
Umiddelbar nedbør Uforenelig
Injektion Erythromycin lactobionate 50 mg/ml
Injektion Cloxacillin sodium 100 mg/ml
Vand til injektion 3012
Uspecificeret inkompatibilitet Uforenelig
Injektion Erythromycin lactobionate
Injektion Cloxacillin sodium
3674
Uspecificeret inkompatibilitet Uforenelig
Injektion Erythromycin lactobionate
Injektion Colistin mesilate sodium
3674
Kompatibel
Injektion Erythromycin lactobionate 5 mg/ml
Injektion Dexmedetomidine 4 µg/ml
0,9 % Natriumklorid 1712
Kompatibel
Injektion Erythromycin lactobionate 5 mg/ml
Injektion Doxapram hydrochloride 2 mg/ml
5 % Glukose 1802
Uspecificeret inkompatibilitet Uforenelig
Injektion Erythromycin lactobionate
Injektion Doxycycline hyclate
3674
Kompatibel
Injektion Erythromycin lactobionate 5 mg/ml
Injektion Enalaprilate 0.05 mg/ml
0,9 % Natriumklorid 1315
Uspecificeret inkompatibilitet Uforenelig
Injektion Erythromycin lactobionate
Injektion Ertapenem
3674
Kompatibel
Injektion Erythromycin lactobionate 5 mg/ml
Injektion Esmolol hydrochloride 10 mg/ml
5 % Glukose 384
Kompatibel
Injektion Erythromycin lactobionate 2 mg/ml
Injektion Famotidine
5 % Glukose 397
Kompatibel
Injektion Erythromycin lactobionate
5 % Glukose 3674
Kompatibel
Injektion Erythromycin lactobionate 5 mg/ml
Injektion Fenoldopam mesylate 80 µg/ml
0,9 % Natriumklorid 1803
Uspecificeret inkompatibilitet Uforenelig
Injektion Erythromycin lactobionate
Injektion Flucloxacillin sodium
3674
Umiddelbar nedbør Uforenelig
Injektion Erythromycin lactobionate 5 mg/ml
Injektion Flucloxacillin sodium 20 mg/ml
0,9 % Natriumklorid 1232
Umiddelbar nedbør Uforenelig
Injektion Erythromycin lactobionate 20 mg/ml
Injektion Fluconazole 2 mg/ml
0,9 % Natriumklorid 496
Kompatibel
Injektion Erythromycin lactobionate 20 mg/ml
Injektion Foscarnet sodium 24 mg/ml
0,9 % Natriumklorid 1135
Kompatibel
Injektion Erythromycin lactobionate 20 mg/ml
Injektion Foscarnet sodium 24 mg/ml
Ingen 73
Umiddelbar nedbør Uforenelig
Injektion Erythromycin lactobionate 5 mg/ml
Injektion Furosemide 1 mg/ml
0,9 % Natriumklorid 1232
Uspecificeret inkompatibilitet Uforenelig
Injektion Erythromycin lactobionate
Injektion Gentamicin sulfate
3643
Uspecificeret inkompatibilitet Uforenelig
Injektion Erythromycin lactobionate
Injektion Gentamicin sulfate
3520
Uspecificeret inkompatibilitet Uforenelig
Injektion Erythromycin lactobionate
Injektion Gentamicin sulfate
3674
Uspecificeret inkompatibilitet Uforenelig
Injektion Erythromycin lactobionate
Injektion Heparin sodium
3674
Kompatibel
Injektion Erythromycin lactobionate 50 mg/ml
Ringer laktat 4603
Kompatibel
Injektion Erythromycin lactobionate 3.3 mg/ml
Injektion Heparin sodium 50 UI/ml
Ingen 317
Kompatibel
Injektion Erythromycin lactobionate 50 mg/ml
Parenteral ernæring (lipid-fri) 999
Uspecificeret inkompatibilitet Uforenelig
Injektion Erythromycin lactobionate
Injektion Heparin sodium
3540
Kompatibel
Injektion Erythromycin lactobionate 5 mg/ml
Injektion Hetastarch 60 mg/ml
specifikt opløsningsmiddel 1721
Kompatibel
Injektion Erythromycin lactobionate 5 mg/ml
Injektion Hydromorphone hydrochloride 0.2 mg/ml
5 % Glukose 405
Kompatibel
Injektion Erythromycin lactobionate 2 mg/ml
Injektion Idarubicin hydrochloride 1 mg/ml
0,9 % Natriumklorid 491
Uspecificeret inkompatibilitet Uforenelig
Injektion Erythromycin lactobionate
Injektion Imipenem - cilastatin sodium
3674
Uspecificeret inkompatibilitet Uforenelig
Injektion Erythromycin lactobionate
Injektion Kanamycin sulfate
3674
Kompatibel
Injektion Erythromycin lactobionate 5 mg/ml
Injektion Labetalol hydrochloride 1 mg/ml
5 % Glukose 386
Uspecificeret inkompatibilitet Uforenelig
Injektion Erythromycin lactobionate
Injektion Levomepromazine
3674
Kemisk ustabilitet Uforenelig
Injektion Erythromycin lactobionate 5 mg/ml
Injektion Linezolid 2 mg/ml
Ingen 1607
Uspecificeret inkompatibilitet Uforenelig
Injektion Erythromycin lactobionate
Injektion Linezolid
3560
Kompatibel
Injektion Erythromycin lactobionate 5 mg/ml
Injektion Linezolid 2 mg/ml
Ingen 1925
Kompatibel
Injektion Erythromycin lactobionate 5 mg/ml
Injektion Lorazepam 0.33 mg/ml
0,9 % Natriumklorid 186
Kompatibel
Injektion Erythromycin lactobionate 5 mg/ml
Injektion Magnesium sulfate 16.67 >> 100 mg/ml
5 % Glukose 1047
Kompatibel
Injektion Erythromycin lactobionate 50 mg/ml
Injektion Meropenem 50 mg/ml
Vand til injektion 4319
Uspecificeret inkompatibilitet Uforenelig
Injektion Erythromycin lactobionate
Injektion Meropenem
3674
Uspecificeret inkompatibilitet Uforenelig
Injektion Erythromycin lactobionate
Injektion Mesna
3602
Uspecificeret inkompatibilitet Uforenelig
Injektion Erythromycin lactobionate
Injektion Metaraminol
5046
Uspecificeret inkompatibilitet Uforenelig
Injektion Erythromycin lactobionate
Injektion Methohexital sodium
3674
Kompatibel
Injektion Erythromycin lactobionate 5 mg/ml
Injektion Midazolam hydrochloride 5 mg/ml
Ingen 186
Uspecificeret inkompatibilitet Uforenelig
Injektion Erythromycin lactobionate
Injektion Minocycline hydrochloride
3674
Kompatibel
Injektion Erythromycin lactobionate 5 mg/ml
Injektion Morphine sulfate 1 mg/ml
5 % Glukose 405
Uspecificeret inkompatibilitet Uforenelig
Injektion Erythromycin lactobionate
Injektion Moxalactam
3674
Uspecificeret inkompatibilitet Uforenelig
Injektion Erythromycin lactobionate
Injektion N-acetylcysteine 200 mg/ml
Ingen 3766
Uspecificeret inkompatibilitet Uforenelig
Injektion Erythromycin lactobionate
Injektion Nafcillin sodium
3674
Kompatibel
Injektion Erythromycin lactobionate 50 mg/ml
Injektion Naloxone hydrochloride 0.4 mg/ml
Ingen 3408
Uspecificeret inkompatibilitet Uforenelig
Injektion Erythromycin lactobionate
Injektion Netilmicin sulfate
3674
Kompatibel
Injektion Erythromycin lactobionate 5 mg/ml
Injektion Nicardipine hydrochloride 0.1 mg/ml
0,9 % Natriumklorid 1490
Kompatibel
Injektion Erythromycin lactobionate 5 mg/ml
Injektion Nicardipine hydrochloride 0.1 mg/ml
5 % Glukose 1490
Uspecificeret inkompatibilitet Uforenelig
Injektion Erythromycin lactobionate
Injektion Oxacillin sodium
3674
Uspecificeret inkompatibilitet Uforenelig
Injektion Erythromycin lactobionate
Injektion Oxytetracycline hydrochloride
3674
Kompatibel
Injektion Erythromycin lactobionate 50 mg/ml
Injektion Paracetamol 10 mg/ml
4742
Uspecificeret inkompatibilitet Uforenelig
Injektion Erythromycin lactobionate
Injektion Penicillin G potassium
3674
Uspecificeret inkompatibilitet Uforenelig
Injektion Erythromycin lactobionate
Injektion Penicillin G sodium
3674
Uspecificeret inkompatibilitet Uforenelig
Injektion Erythromycin lactobionate
Injektion Pentobarbital sodium
3674
Kompatibel
Injektion Erythromycin lactobionate 5 mg/ml
Injektion Pethidine hydrochloride 10 mg/ml
5 % Glukose 405
Uspecificeret inkompatibilitet Uforenelig
Injektion Erythromycin lactobionate
Injektion Phenobarbital sodium
3674
Uspecificeret inkompatibilitet Uforenelig
Injektion Erythromycin lactobionate
Injektion Phenytoin sodium
3674
Uspecificeret inkompatibilitet Uforenelig
Injektion Erythromycin lactobionate
Injektion Piperacillin sodium
3674
Uspecificeret inkompatibilitet Uforenelig
Injektion Erythromycin lactobionate
Injektion Piperacillin sodium / tazobactam
3674
Uspecificeret inkompatibilitet Uforenelig
Injektion Erythromycin lactobionate
Injektion Plazomicin sulfate
3674
Uspecificeret inkompatibilitet Uforenelig
Injektion Erythromycin lactobionate
Injektion Prochlorperazine edysilate
3674
Uspecificeret inkompatibilitet Uforenelig
Injektion Erythromycin lactobionate
Injektion Promethazine hydrochloride
3674
Uspecificeret inkompatibilitet Uforenelig
Injektion Erythromycin lactobionate
Injektion Pyridoxine hydrochloride
3674
Uspecificeret inkompatibilitet Uforenelig
Injektion Erythromycin lactobionate
Injektion Rocuronium bromide
3564
Kompatibel
Injektion Erythromycin lactobionate 50 mg/ml
Injektion Salbutamol sulfate 1 mg/ml
Ingen 3216
Uspecificeret inkompatibilitet Uforenelig
Injektion Erythromycin lactobionate
Injektion Streptomycin sulfate
3674
Kompatibel
Injektion Erythromycin lactobionate 20 mg/ml
Injektion Tacrolimus 1000 µg/ml
0,9 % Natriumklorid 479
Uspecificeret inkompatibilitet Uforenelig
Injektion Erythromycin lactobionate
Injektion Temocilline
3674
Kompatibel
Injektion Erythromycin lactobionate 5 mg/ml
Injektion Temocilline 83.33 mg/ml
Vand til injektion 2231
Kompatibel
Injektion Erythromycin lactobionate 3.3 mg/ml
Injektion Theophylline 4 mg/ml
Ingen 317
Umiddelbar nedbør Uforenelig
Injektion Erythromycin lactobionate 50 mg/ml
Injektion Thiopental sodium 25 mg/ml
0,9 % Natriumklorid 3767
Uspecificeret inkompatibilitet Uforenelig
Injektion Erythromycin lactobionate
Injektion Thiopental sodium
3674
Uspecificeret inkompatibilitet Uforenelig
Injektion Erythromycin lactobionate
Injektion Ticarcillin / clavulanic acid
3674
Uspecificeret inkompatibilitet Uforenelig
Injektion Erythromycin lactobionate
Injektion Tigecycline
3674
Uspecificeret inkompatibilitet Uforenelig
Injektion Erythromycin lactobionate
Injektion Tobramycin sulfate
3674
Uspecificeret inkompatibilitet Uforenelig
Injektion Erythromycin lactobionate
Injektion Triflupromazine hydrochloride
3674
Kompatibel
Injektion Erythromycin lactobionate 5 mg/ml
Injektion Vancomycin hydrochloride 10 mg/ml
5 % Glukose 3385
Kompatibel
Injektion Erythromycin lactobionate 2 mg/ml
Injektion Verapamil hydrochloride 0.08 mg/ml
0,9 % Natriumklorid 1057
Kompatibel
Injektion Erythromycin lactobionate 2 mg/ml
Injektion Verapamil hydrochloride 0.08 mg/ml
5 % Glukose 1057
Kompatibel
Injektion Erythromycin lactobionate 20 mg/ml
Injektion Zidovudine 4 mg/ml
5 % Glukose 337

  Mentions Légales