Última actualización :
18/03/2026
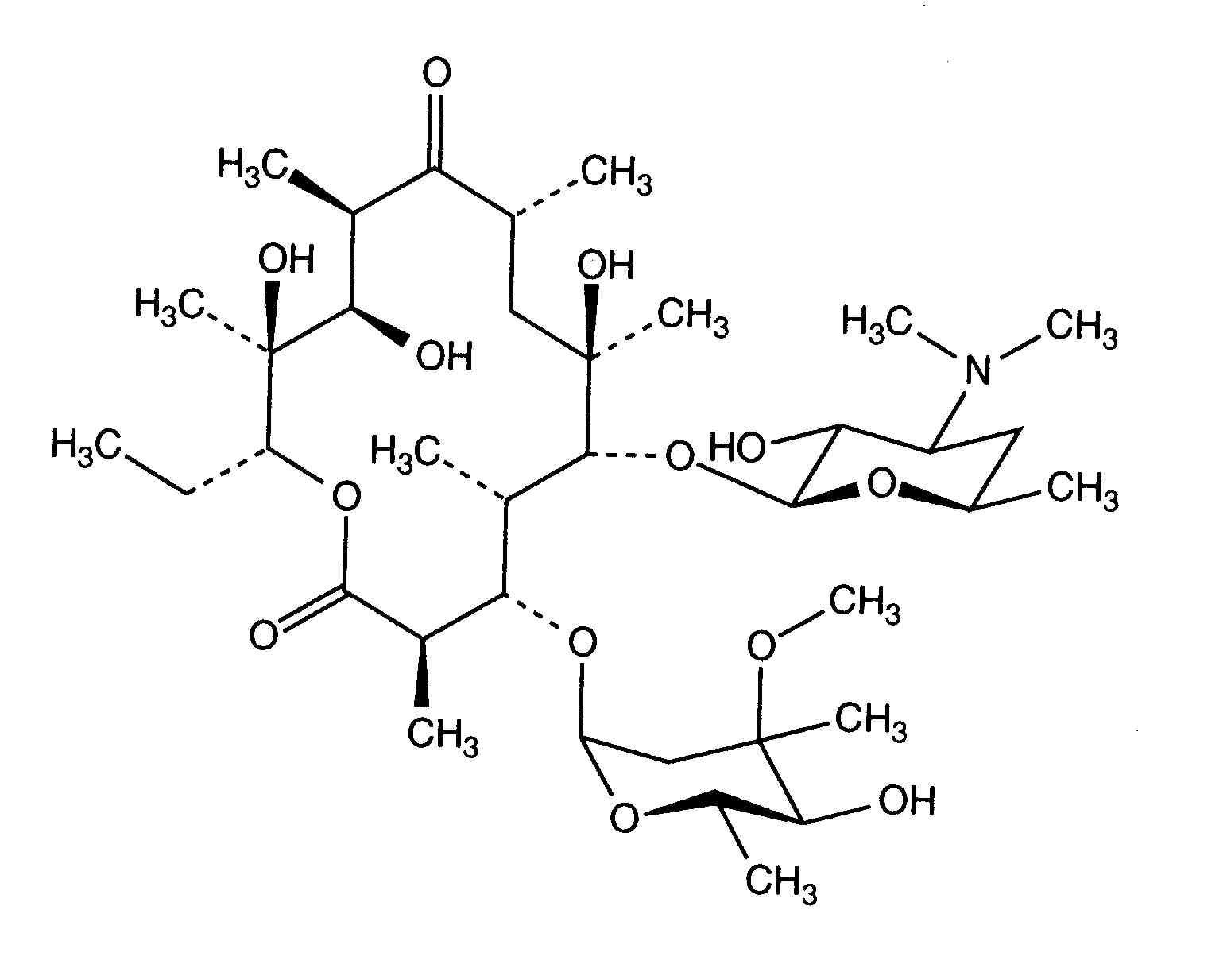
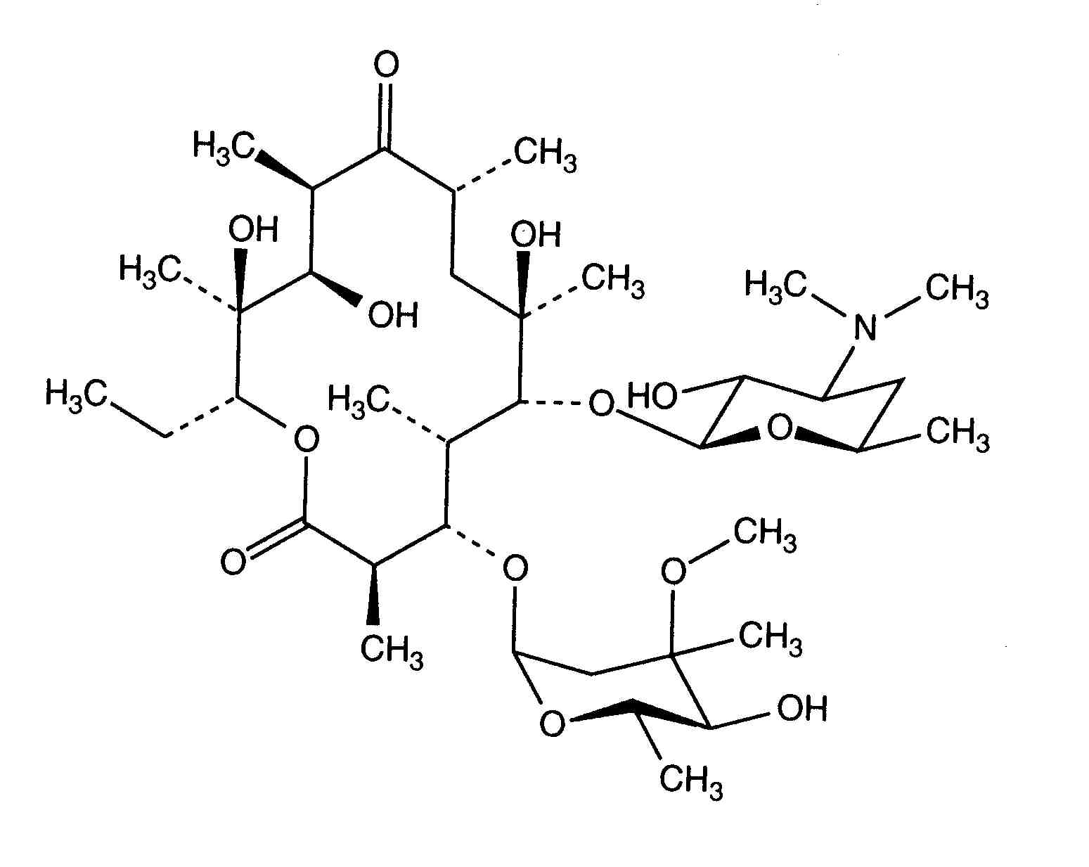
Antibiótico   Erythromycin lactobionate  
Inyectables
Estabilidad en solucion Estabilidad en mezcla Factores que influyen sobre la estabilidad Compatibilidades método de inyección Bibliografía pdf
   Estructura química  

Nombre comercial   Nombre comercial     

Los nombres comerciales son orientativos y los excipientes de la formulación pueden ser distintos dependiendo del país y del laboratorio fabricante.

Abboticin Dinamarca, Finlandia, Noruega, Suecia
Eristin Argentina
Erithromicina Chile
Erycinum Alemania
Erythrocin Alemania, Arabia Saudita, Australia, Austria, Canadá, Estados Unidos de América, Gran Bretaña, Irlanda, Nueva Zelanda
Erythrocin lactobionat ADD Vantage Australia, Austria
Erythrocine Bélgica, Francia, Luxemburgo, Países Bajos, Túnez
Erythromycin Alemania, Arabia Saudita, Estados Unidos de América, Gran Bretaña, Hungría
Erythromycine Luxemburgo
Erythromycinum Polonia
Pantomicina Chile, España
Compatibilidades   Inyectables   Compatibilidades : Erythromycin lactobionate              
Esta pantalla muestra las compatibilidades o incompatibilidades, así como el tipo de incompatibilidad (precipitación, cambio de color, modificación de una emulsión, etc). Las compatibilidades que se recogen aquí son fundamentalmente físicas, mostrando raramente la estabilidad química de la molécula. La evaluación de estas mezclas se estudió con el fin de de comprobar la posibilidad de administración en Y al paciente. Estos datos no pueden utilizarse en el caso de la preparación de mezclas dentro de bolsas o jeringas. Este tipo de información está disponible en la pantalla “Estabilidad en mezcla”.
Molécula Solvente Bibliografía
Compatible
Inyectables Erythromycin lactobionate 4 mg/ml
Inyectables Aciclovir sodium 5 mg/ml
Glucosa 5% 336
Incompatibilidad no especificada Incompatible
Inyectables Erythromycin lactobionate
Inyectables Amikacin sulfate
3674
Incompatibilidad no especificada Incompatible
Inyectables Erythromycin lactobionate
Inyectables Amikacin sulfate
3549
Incompatibilidad no especificada Incompatible
Inyectables Erythromycin lactobionate
Inyectables Aminophylline
3674
Compatible
Inyectables Erythromycin lactobionate 2 mg/ml
Inyectables Amiodarone hydrochloride 4 mg/ml
Cloruro de sodio 0,9% 385
Compatible
Inyectables Erythromycin lactobionate 2 mg/ml
Inyectables Amiodarone hydrochloride 4 mg/ml
Glucosa 5% 385
Incompatibilidad no especificada Incompatible
Inyectables Erythromycin lactobionate
Inyectables Amobarbital sodium
3674
Incompatibilidad no especificada Incompatible
Inyectables Erythromycin lactobionate
Inyectables Amoxicillin sodium
3674
Precipitación inmediata Incompatible
Inyectables Erythromycin lactobionate 50 mg/ml
Inyectables Amoxicillin sodium / clavulanic acid 100/10 mg/ml
3824
Incompatibilidad no especificada Incompatible
Inyectables Erythromycin lactobionate
Inyectables Amoxicillin sodium / clavulanic acid
3674
Incompatibilidad no especificada Incompatible
Inyectables Erythromycin lactobionate
Inyectables Ampicillin sodium
3674
Incompatibilidad no especificada Incompatible
Inyectables Erythromycin lactobionate
Inyectables Ampicillin sodium - sulbactam sodium
3674
Compatible
Inyectables Erythromycin lactobionate 5 mg/ml
Inyectables Anidulafungin 0.5 mg/ml
Glucosa 5% 1982
Incompatibilidad no especificada Incompatible
Inyectables Erythromycin lactobionate
Inyectables Ascorbic acid
5089
Incompatibilidad no especificada Incompatible
Inyectables Erythromycin lactobionate
Inyectables Ascorbic acid
3674
Incompatibilidad no especificada Incompatible
Inyectables Erythromycin lactobionate
Inyectables Aztreonam
3674
Compatible
Inyectables Erythromycin lactobionate 5 mg/ml
Inyectables Bivalirudin 5 mg/ml
Glucosa 5% 1713
Compatible
Inyectables Erythromycin lactobionate
Cloruro de sodio 0,9% 3674
Precipitación inmediata Incompatible
Inyectables Erythromycin lactobionate 50 mg/ml
Inyectables Caffeine 10 mg/ml
Ninguno 3964
Incompatibilidad no especificada Incompatible
Inyectables Erythromycin lactobionate
Inyectables Cefalotin sodium
3674
Incompatibilidad no especificada Incompatible
Inyectables Erythromycin lactobionate
Inyectables Cefamandole nafate
3674
Incompatibilidad no especificada Incompatible
Inyectables Erythromycin lactobionate
Inyectables Cefazolin sodium
3674
Turbidez en una hora Incompatible
Inyectables Erythromycin lactobionate 20 mg/ml
Inyectables Cefazolin sodium 220 mg/ml
805
Incompatibilidad no especificada Incompatible
Inyectables Erythromycin lactobionate
Inyectables Cefepime dihydrochloride
3674
Inestabilidad química Incompatible
Inyectables Erythromycin lactobionate 5 mg/ml
Inyectables Cefepime dihydrochloride 125 mg/ml
Agua para preparación inyectable 2141
Incompatibilidad no especificada Incompatible
Inyectables Erythromycin lactobionate
Inyectables Cefmenoxime
3674
Incompatibilidad no especificada Incompatible
Inyectables Erythromycin lactobionate
Inyectables Cefmetazole sodium
3674
Precipitación inmediata Incompatible
Inyectables Erythromycin lactobionate 10 & 50 mg/ml
Inyectables Cefmetazole sodium 100 mg/ml
Agua para preparación inyectable 93
Incompatibilidad no especificada Incompatible
Inyectables Erythromycin lactobionate
Inyectables Cefonicid sodium
3674
Incompatibilidad no especificada Incompatible
Inyectables Erythromycin lactobionate
Inyectables Cefoperazone sodium
3674
Incompatibilidad no especificada Incompatible
Inyectables Erythromycin lactobionate
Inyectables Ceforanide
3674
Incompatibilidad no especificada Incompatible
Inyectables Erythromycin lactobionate
Inyectables Cefotaxime sodium
3674
Incompatibilidad no especificada Incompatible
Inyectables Erythromycin lactobionate
Inyectables Cefoxitin sodium
3674
Incompatibilidad no especificada Incompatible
Inyectables Erythromycin lactobionate
Inyectables Cefpirome sulfate
3674
Incompatibilidad no especificada Incompatible
Inyectables Erythromycin lactobionate
Inyectables Ceftaroline fosamil
3674
Precipitación inmediata Incompatible
Inyectables Erythromycin lactobionate 5 mg/ml
Inyectables Ceftazidime 125 mg/ml
Agua para preparación inyectable 2141
Incompatibilidad no especificada Incompatible
Inyectables Erythromycin lactobionate
Inyectables Ceftazidime
3674
Precipitación inmediata Incompatible
Inyectables Erythromycin lactobionate 10 & 50 mg/ml
Inyectables Ceftazidime 83.3 mg/ml
1759
Incompatibilidad no especificada Incompatible
Inyectables Erythromycin lactobionate
Inyectables Ceftazidime Avibactam
3674
Incompatibilidad no especificada Incompatible
Inyectables Erythromycin lactobionate
Inyectables Ceftizoxime sodium
3674
Incompatibilidad no especificada Incompatible
Inyectables Erythromycin lactobionate
Inyectables Ceftobiprole medocaril sodium
3674
Incompatibilidad no especificada Incompatible
Inyectables Erythromycin lactobionate
Inyectables Ceftolozane / tazobactam
3674
Incompatibilidad no especificada Incompatible
Inyectables Erythromycin lactobionate
Inyectables Ceftriaxone disodium
3674
Incompatibilidad no especificada Incompatible
Inyectables Erythromycin lactobionate
Inyectables Cefuroxime sodium
3674
Incompatibilidad no especificada Incompatible
Inyectables Erythromycin lactobionate
Inyectables Cefuzonam
3674
Incompatibilidad no especificada Incompatible
Inyectables Erythromycin lactobionate
Inyectables Chloramphenicol sodium succinate
3674
Incompatibilidad no especificada Incompatible
Inyectables Erythromycin lactobionate
Inyectables Chlorpromazine hydrochloride
3674
Compatible
Inyectables Erythromycin lactobionate 5 & 50 mg/ml
Inyectables Diltiazem hydrochloride 5 mg/ml
Cloruro de sodio 0,9% 198
Incompatibilidad no especificada Incompatible
Inyectables Erythromycin lactobionate
Inyectables Doripenem
3674
Compatible
Inyectables Erythromycin lactobionate 10 mg/ml
Nutrición parenteral (libre de lípidos) 939
Compatible
Inyectables Erythromycin lactobionate 5 mg/ml
Inyectables Cimetidine hydrochloride 3 mg/ml
Cloruro de sodio 0,9% 1201
Precipitación inmediata Incompatible
Inyectables Erythromycin lactobionate 50 mg/ml
Inyectables Cloxacillin sodium 100 mg/ml
Agua para preparación inyectable 3012
Incompatibilidad no especificada Incompatible
Inyectables Erythromycin lactobionate
Inyectables Cloxacillin sodium
3674
Incompatibilidad no especificada Incompatible
Inyectables Erythromycin lactobionate
Inyectables Colistin mesilate sodium
3674
Compatible
Inyectables Erythromycin lactobionate 5 mg/ml
Inyectables Dexmedetomidine 4 µg/ml
Cloruro de sodio 0,9% 1712
Compatible
Inyectables Erythromycin lactobionate 5 mg/ml
Inyectables Doxapram hydrochloride 2 mg/ml
Glucosa 5% 1802
Incompatibilidad no especificada Incompatible
Inyectables Erythromycin lactobionate
Inyectables Doxycycline hyclate
3674
Compatible
Inyectables Erythromycin lactobionate 5 mg/ml
Inyectables Enalaprilate 0.05 mg/ml
Cloruro de sodio 0,9% 1315
Incompatibilidad no especificada Incompatible
Inyectables Erythromycin lactobionate
Inyectables Ertapenem
3674
Compatible
Inyectables Erythromycin lactobionate 5 mg/ml
Inyectables Esmolol hydrochloride 10 mg/ml
Glucosa 5% 384
Compatible
Inyectables Erythromycin lactobionate 2 mg/ml
Inyectables Famotidine
Glucosa 5% 397
Compatible
Inyectables Erythromycin lactobionate
Glucosa 5% 3674
Compatible
Inyectables Erythromycin lactobionate 5 mg/ml
Inyectables Fenoldopam mesylate 80 µg/ml
Cloruro de sodio 0,9% 1803
Incompatibilidad no especificada Incompatible
Inyectables Erythromycin lactobionate
Inyectables Flucloxacillin sodium
3674
Precipitación inmediata Incompatible
Inyectables Erythromycin lactobionate 5 mg/ml
Inyectables Flucloxacillin sodium 20 mg/ml
Cloruro de sodio 0,9% 1232
Precipitación inmediata Incompatible
Inyectables Erythromycin lactobionate 20 mg/ml
Inyectables Fluconazole 2 mg/ml
Cloruro de sodio 0,9% 496
Compatible
Inyectables Erythromycin lactobionate 20 mg/ml
Inyectables Foscarnet sodium 24 mg/ml
Cloruro de sodio 0,9% 1135
Compatible
Inyectables Erythromycin lactobionate 20 mg/ml
Inyectables Foscarnet sodium 24 mg/ml
Ninguno 73
Precipitación inmediata Incompatible
Inyectables Erythromycin lactobionate 5 mg/ml
Inyectables Furosemide 1 mg/ml
Cloruro de sodio 0,9% 1232
Incompatibilidad no especificada Incompatible
Inyectables Erythromycin lactobionate
Inyectables Gentamicin sulfate
3643
Incompatibilidad no especificada Incompatible
Inyectables Erythromycin lactobionate
Inyectables Gentamicin sulfate
3520
Incompatibilidad no especificada Incompatible
Inyectables Erythromycin lactobionate
Inyectables Gentamicin sulfate
3674
Incompatibilidad no especificada Incompatible
Inyectables Erythromycin lactobionate
Inyectables Heparin sodium
3674
Compatible
Inyectables Erythromycin lactobionate 50 mg/ml
Ringer lactato 4603
Compatible
Inyectables Erythromycin lactobionate 3.3 mg/ml
Inyectables Heparin sodium 50 UI/ml
Ninguno 317
Compatible
Inyectables Erythromycin lactobionate 50 mg/ml
Nutrición parenteral (libre de lípidos) 999
Incompatibilidad no especificada Incompatible
Inyectables Erythromycin lactobionate
Inyectables Heparin sodium
3540
Compatible
Inyectables Erythromycin lactobionate 5 mg/ml
Inyectables Hetastarch 60 mg/ml
específico disolvente 1721
Compatible
Inyectables Erythromycin lactobionate 5 mg/ml
Inyectables Hydromorphone hydrochloride 0.2 mg/ml
Glucosa 5% 405
Compatible
Inyectables Erythromycin lactobionate 2 mg/ml
Inyectables Idarubicin hydrochloride 1 mg/ml
Cloruro de sodio 0,9% 491
Incompatibilidad no especificada Incompatible
Inyectables Erythromycin lactobionate
Inyectables Imipenem - cilastatin sodium
3674
Incompatibilidad no especificada Incompatible
Inyectables Erythromycin lactobionate
Inyectables Kanamycin sulfate
3674
Compatible
Inyectables Erythromycin lactobionate 5 mg/ml
Inyectables Labetalol hydrochloride 1 mg/ml
Glucosa 5% 386
Incompatibilidad no especificada Incompatible
Inyectables Erythromycin lactobionate
Inyectables Levomepromazine
3674
Inestabilidad química Incompatible
Inyectables Erythromycin lactobionate 5 mg/ml
Inyectables Linezolid 2 mg/ml
Ninguno 1607
Incompatibilidad no especificada Incompatible
Inyectables Erythromycin lactobionate
Inyectables Linezolid
3560
Compatible
Inyectables Erythromycin lactobionate 5 mg/ml
Inyectables Linezolid 2 mg/ml
Ninguno 1925
Compatible
Inyectables Erythromycin lactobionate 5 mg/ml
Inyectables Lorazepam 0.33 mg/ml
Cloruro de sodio 0,9% 186
Compatible
Inyectables Erythromycin lactobionate 5 mg/ml
Inyectables Magnesium sulfate 16.67 >> 100 mg/ml
Glucosa 5% 1047
Compatible
Inyectables Erythromycin lactobionate 50 mg/ml
Inyectables Meropenem 50 mg/ml
Agua para preparación inyectable 4319
Incompatibilidad no especificada Incompatible
Inyectables Erythromycin lactobionate
Inyectables Meropenem
3674
Incompatibilidad no especificada Incompatible
Inyectables Erythromycin lactobionate
Inyectables Mesna
3602
Incompatibilidad no especificada Incompatible
Inyectables Erythromycin lactobionate
Inyectables Metaraminol
5046
Incompatibilidad no especificada Incompatible
Inyectables Erythromycin lactobionate
Inyectables Methohexital sodium
3674
Compatible
Inyectables Erythromycin lactobionate 5 mg/ml
Inyectables Midazolam hydrochloride 5 mg/ml
Ninguno 186
Incompatibilidad no especificada Incompatible
Inyectables Erythromycin lactobionate
Inyectables Minocycline hydrochloride
3674
Compatible
Inyectables Erythromycin lactobionate 5 mg/ml
Inyectables Morphine sulfate 1 mg/ml
Glucosa 5% 405
Incompatibilidad no especificada Incompatible
Inyectables Erythromycin lactobionate
Inyectables Moxalactam
3674
Incompatibilidad no especificada Incompatible
Inyectables Erythromycin lactobionate
Inyectables N-acetylcysteine 200 mg/ml
Ninguno 3766
Incompatibilidad no especificada Incompatible
Inyectables Erythromycin lactobionate
Inyectables Nafcillin sodium
3674
Compatible
Inyectables Erythromycin lactobionate 50 mg/ml
Inyectables Naloxone hydrochloride 0.4 mg/ml
Ninguno 3408
Incompatibilidad no especificada Incompatible
Inyectables Erythromycin lactobionate
Inyectables Netilmicin sulfate
3674
Compatible
Inyectables Erythromycin lactobionate 5 mg/ml
Inyectables Nicardipine hydrochloride 0.1 mg/ml
Cloruro de sodio 0,9% 1490
Compatible
Inyectables Erythromycin lactobionate 5 mg/ml
Inyectables Nicardipine hydrochloride 0.1 mg/ml
Glucosa 5% 1490
Incompatibilidad no especificada Incompatible
Inyectables Erythromycin lactobionate
Inyectables Oxacillin sodium
3674
Incompatibilidad no especificada Incompatible
Inyectables Erythromycin lactobionate
Inyectables Oxytetracycline hydrochloride
3674
Compatible
Inyectables Erythromycin lactobionate 50 mg/ml
Inyectables Paracetamol 10 mg/ml
4742
Incompatibilidad no especificada Incompatible
Inyectables Erythromycin lactobionate
Inyectables Penicillin G potassium
3674
Incompatibilidad no especificada Incompatible
Inyectables Erythromycin lactobionate
Inyectables Penicillin G sodium
3674
Incompatibilidad no especificada Incompatible
Inyectables Erythromycin lactobionate
Inyectables Pentobarbital sodium
3674
Compatible
Inyectables Erythromycin lactobionate 5 mg/ml
Inyectables Pethidine hydrochloride 10 mg/ml
Glucosa 5% 405
Incompatibilidad no especificada Incompatible
Inyectables Erythromycin lactobionate
Inyectables Phenobarbital sodium
3674
Incompatibilidad no especificada Incompatible
Inyectables Erythromycin lactobionate
Inyectables Phenytoin sodium
3674
Incompatibilidad no especificada Incompatible
Inyectables Erythromycin lactobionate
Inyectables Piperacillin sodium
3674
Incompatibilidad no especificada Incompatible
Inyectables Erythromycin lactobionate
Inyectables Piperacillin sodium / tazobactam
3674
Incompatibilidad no especificada Incompatible
Inyectables Erythromycin lactobionate
Inyectables Plazomicin sulfate
3674
Incompatibilidad no especificada Incompatible
Inyectables Erythromycin lactobionate
Inyectables Prochlorperazine edysilate
3674
Incompatibilidad no especificada Incompatible
Inyectables Erythromycin lactobionate
Inyectables Promethazine hydrochloride
3674
Incompatibilidad no especificada Incompatible
Inyectables Erythromycin lactobionate
Inyectables Pyridoxine hydrochloride
3674
Incompatibilidad no especificada Incompatible
Inyectables Erythromycin lactobionate
Inyectables Rocuronium bromide
3564
Compatible
Inyectables Erythromycin lactobionate 50 mg/ml
Inyectables Salbutamol sulfate 1 mg/ml
Ninguno 3216
Incompatibilidad no especificada Incompatible
Inyectables Erythromycin lactobionate
Inyectables Streptomycin sulfate
3674
Compatible
Inyectables Erythromycin lactobionate 20 mg/ml
Inyectables Tacrolimus 1000 µg/ml
Cloruro de sodio 0,9% 479
Incompatibilidad no especificada Incompatible
Inyectables Erythromycin lactobionate
Inyectables Temocilline
3674
Compatible
Inyectables Erythromycin lactobionate 5 mg/ml
Inyectables Temocilline 83.33 mg/ml
Agua para preparación inyectable 2231
Compatible
Inyectables Erythromycin lactobionate 3.3 mg/ml
Inyectables Theophylline 4 mg/ml
Ninguno 317
Precipitación inmediata Incompatible
Inyectables Erythromycin lactobionate 50 mg/ml
Inyectables Thiopental sodium 25 mg/ml
Cloruro de sodio 0,9% 3767
Incompatibilidad no especificada Incompatible
Inyectables Erythromycin lactobionate
Inyectables Thiopental sodium
3674
Incompatibilidad no especificada Incompatible
Inyectables Erythromycin lactobionate
Inyectables Ticarcillin / clavulanic acid
3674
Incompatibilidad no especificada Incompatible
Inyectables Erythromycin lactobionate
Inyectables Tigecycline
3674
Incompatibilidad no especificada Incompatible
Inyectables Erythromycin lactobionate
Inyectables Tobramycin sulfate
3674
Incompatibilidad no especificada Incompatible
Inyectables Erythromycin lactobionate
Inyectables Triflupromazine hydrochloride
3674
Compatible
Inyectables Erythromycin lactobionate 5 mg/ml
Inyectables Vancomycin hydrochloride 10 mg/ml
Glucosa 5% 3385
Compatible
Inyectables Erythromycin lactobionate 2 mg/ml
Inyectables Verapamil hydrochloride 0.08 mg/ml
Cloruro de sodio 0,9% 1057
Compatible
Inyectables Erythromycin lactobionate 2 mg/ml
Inyectables Verapamil hydrochloride 0.08 mg/ml
Glucosa 5% 1057
Compatible
Inyectables Erythromycin lactobionate 20 mg/ml
Inyectables Zidovudine 4 mg/ml
Glucosa 5% 337

  Mentions Légales