Son güncelleme :
31/03/2026
Antiviral   Foscarnet sodium  
Enjeksiyon
Çözeltilerin stabilitesi Karışımlardaki stabilitesi Stabiliteyi etkileyen faktörler Uyumluluk Uygulama yöntemi Kaynaklar pdf
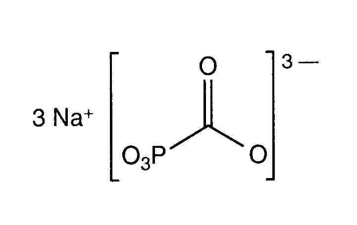
   Kimyasal yapı   

Ticari isim   Ticari isim     

Trade names are indicative and excipients composition can be different depending on the country and manufacturers

Foscarnet Amerika Birleşik Devletleri, Arjantin, Ekvador, İspanya, Kolombiya, Meksika, Peru, Portekiz, Şili
Foscavir Almanya, Amerika Birleşik Devletleri, Avustralya, Avusturya, Belçika, Büyük Britanya, Fransa, Hollanda, İspanya, İsveç, İsviçre, İtalya, Lüksemburg, Macaristan, yeni Zelanda, Yunanistan
Uyumluluk   Enjeksiyon    Uyumluluk : Foscarnet sodium              
Bu ekran, bu durumda uyumsuzluk tipiyle (çökelme, renk değişimi, bir emülsiyonun modifikasyonu, vb.) Uyumlulukları veya uyumsuzlukları gösterir. Burada gösterilen uyumluluklar çoğunlukla yalnızca fizikseldir ve her molekülün kimyasal stabilitesi nadiren değerlendirilir. Bu karışımların değerlendirilmesi, hastaya Y bölgesi uygulama olasılığını göz önünde bulundurmak için çalışıldı. Bu veriler önceden torba veya şırıngalarda karışım yapmak için kullanılamaz. Bu tür bilgiler "Karışımda stabilite" ekranında mevcuttur.
Bileşik Çözücü Kaynaklar
Belirtilmemiş uyumsuzluk uyumsuz
Enjeksiyon Foscarnet sodium
Enjeksiyon Aciclovir sodium
3595
Acil yağış uyumsuz
Enjeksiyon Foscarnet sodium 24 mg/ml
Enjeksiyon Aciclovir sodium 7 mg/ml
Glukoz %5 1135
Acil yağış uyumsuz
Enjeksiyon Foscarnet sodium 24 mg/ml
Enjeksiyon Aciclovir sodium 7 mg/ml
Sodyum klorür % 0,9 1135
Belirtilmemiş uyumsuzluk uyumsuz
Enjeksiyon Foscarnet sodium
Enjeksiyon Aciclovir sodium
3662
Acil yağış uyumsuz
Enjeksiyon Foscarnet sodium 24 mg/ml
Enjeksiyon Aciclovir sodium 10 mg/ml
Yok 73
Uyumlu
Enjeksiyon Foscarnet sodium 24 mg/ml
Enjeksiyon Aldesleukin 0.0338 MUI/ml
Glukoz %5 36
Uyumlu
Enjeksiyon Foscarnet sodium 24 mg/ml
Enjeksiyon Amikacin sulfate 20 mg/ml
Yok 73
Uyumlu
Enjeksiyon Foscarnet sodium 24 mg/ml
Enjeksiyon Aminophylline 25 mg/ml
Yok 73
Anında bulanıklık uyumsuz
Enjeksiyon Foscarnet sodium 24 mg/ml
Enjeksiyon Amphotericin B 0.6 mg/ml
Glukoz %5 1135
Belirtilmemiş uyumsuzluk uyumsuz
Enjeksiyon Foscarnet sodium
Enjeksiyon Amphotericin B
3662
Acil yağış uyumsuz
Enjeksiyon Foscarnet sodium 24 mg/ml
Enjeksiyon Amphotericin B 5 mg/ml
Yok 73
Uyumlu
Enjeksiyon Foscarnet sodium 24 mg/ml
Enjeksiyon Ampicillin sodium 20 mg/ml
Yok 73
Uyumlu
Enjeksiyon Foscarnet sodium 24 mg/ml
Enjeksiyon Aztreonam 40 mg/ml
Sodyum klorür % 0,9 1135
Uyumlu
Enjeksiyon Foscarnet sodium 24 mg/ml
Enjeksiyon Aztreonam 40 mg/ml
Glukoz %5 1135
Uyumlu
Enjeksiyon Foscarnet sodium 24 mg/ml
Enjeksiyon Aztreonam 40 mg/ml
Yok 73
Belirtilmemiş uyumsuzluk uyumsuz
Enjeksiyon Foscarnet sodium
Enjeksiyon Calcium chloride
3662
Belirtilmemiş uyumsuzluk uyumsuz
Enjeksiyon Foscarnet sodium
Enjeksiyon Calcium glucoheptonate
3662
Belirtilmemiş uyumsuzluk uyumsuz
Enjeksiyon Foscarnet sodium
Enjeksiyon Calcium gluconate
3662
Uyumlu
Enjeksiyon Foscarnet sodium 24 mg/ml
Enjeksiyon Cefazolin sodium 40 mg/ml
Yok 73
Uyumlu
Enjeksiyon Foscarnet sodium 24 mg/ml
Enjeksiyon Cefoperazone sodium 40 mg/ml
Yok 73
Uyumlu
Enjeksiyon Foscarnet sodium 24 mg/ml
Enjeksiyon Cefoxitin sodium 40 mg/ml
Yok 73
Uyumlu
Enjeksiyon Foscarnet sodium 24 mg/ml
Enjeksiyon Ceftazidime 20 mg/ml
Glukoz %5 1135
Uyumlu
Enjeksiyon Foscarnet sodium 24 mg/ml
Enjeksiyon Ceftazidime 20 mg/ml
Yok 73
Uyumlu
Enjeksiyon Foscarnet sodium 24 mg/ml
Enjeksiyon Ceftazidime 20 mg/ml
Sodyum klorür % 0,9 1135
Uyumlu
Enjeksiyon Foscarnet sodium
Enjeksiyon Ceftazidime
3883
Uyumlu
Enjeksiyon Foscarnet sodium 24 mg/ml
Enjeksiyon Ceftizoxime sodium 40 mg/ml
Yok 73
Uyumlu
Enjeksiyon Foscarnet sodium 24 mg/ml
Enjeksiyon Ceftriaxone disodium 20 mg/ml
Glukoz %5 1135
Uyumlu
Enjeksiyon Foscarnet sodium 24 mg/ml
Enjeksiyon Ceftriaxone disodium 20 mg/ml
Sodyum klorür % 0,9 1135
Uyumlu
Enjeksiyon Foscarnet sodium 24 mg/ml
Enjeksiyon Cefuroxime sodium 30 mg/ml
Yok 73
Uyumlu
Enjeksiyon Foscarnet sodium 24 mg/ml
Enjeksiyon Chloramphenicol sodium succinate 20 mg/ml
Yok 73
Uyumlu
Enjeksiyon Foscarnet sodium 24 mg/ml
Enjeksiyon Cimetidine hydrochloride 150 mg/ml
Yok 73
Uyumlu
Enjeksiyon Foscarnet sodium 24 mg/ml
Enjeksiyon Clindamycin phosphate 24 mg/ml
Yok 73
Uyumlu
Enjeksiyon Foscarnet sodium 24 mg/ml
Enjeksiyon Clindamycin phosphate 12 mg/ml
Glukoz %5 1135
Uyumlu
Enjeksiyon Foscarnet sodium 24 mg/ml
Enjeksiyon Clindamycin phosphate 12 mg/ml
Sodyum klorür % 0,9 1135
Belirtilmemiş uyumsuzluk uyumsuz
Enjeksiyon Foscarnet sodium
Enjeksiyon Co-trimoxazole
3662
Uyumlu
Enjeksiyon Foscarnet sodium 24 mg/ml
Enjeksiyon Co-trimoxazole 2,6/0,53 mg/ml
Glukoz %5 1135
Acil yağış uyumsuz
Enjeksiyon Foscarnet sodium 24 mg/ml
Enjeksiyon Co-trimoxazole
Yok 73
Uyumlu
Enjeksiyon Foscarnet sodium 24 mg/ml
Enjeksiyon Defibrotide 8 mg/ml
Sodyum klorür % 0,9 3728
Uyumlu
Enjeksiyon Foscarnet sodium 24 mg/ml
Enjeksiyon Dexamethasone sodium phosphate 10 mg/ml
Yok 73
Gaz kabarcığı üretimi uyumsuz
Enjeksiyon Foscarnet sodium 24 mg/ml
Enjeksiyon Diazepam 5 mg/ml
Yok 73
Gaz kabarcığı üretimi uyumsuz
Enjeksiyon Foscarnet sodium 24 mg/ml
Enjeksiyon Digoxin 250 µg/ml
Yok 73
Anında bulanıklık uyumsuz
Enjeksiyon Foscarnet sodium 24 mg/ml
Enjeksiyon Diphenhydramine hydrochloride 50 mg/ml
Yok 73
Acil yağış uyumsuz
Enjeksiyon Foscarnet sodium 24 mg/ml
Enjeksiyon Dobutamine hydrochloride 12.5 mg/ml
Yok 73
Uyumlu
Enjeksiyon Foscarnet sodium 24 mg/ml
Enjeksiyon Dopamine hydrochloride 80 mg/ml
Yok 73
Uyumlu
Enjeksiyon Foscarnet sodium 24 mg/ml
Enjeksiyon Doripenem 5 mg/ml
Glukoz %5 2262
Uyumlu
Enjeksiyon Foscarnet sodium 24 mg/ml
Enjeksiyon Doripenem 5 mg/ml
Sodyum klorür % 0,9 2262
Acil yağış uyumsuz
Enjeksiyon Foscarnet sodium 24 mg/ml
Enjeksiyon Droperidol 2.5 mg/ml
Yok 73
Uyumlu
Enjeksiyon Foscarnet sodium 24 mg/ml
Enjeksiyon Erythromycin lactobionate 20 mg/ml
Sodyum klorür % 0,9 1135
Uyumlu
Enjeksiyon Foscarnet sodium 24 mg/ml
Enjeksiyon Erythromycin lactobionate 20 mg/ml
Yok 73
Uyumlu
Enjeksiyon Foscarnet sodium 24 mg/ml
Enjeksiyon Fluconazole 2 mg/ml
Sodyum klorür % 0,9 496
Anında bulanıklık uyumsuz
Enjeksiyon Foscarnet sodium 24 mg/ml
Enjeksiyon Folinate calcium 10 mg/ml
Yok 73
Uyumlu
Enjeksiyon Foscarnet sodium 24 mg/ml
Enjeksiyon Furosemide 10 mg/ml
Yok 73
Acil yağış uyumsuz
Enjeksiyon Foscarnet sodium 24 mg/ml
Enjeksiyon Ganciclovir sodium 50 mg/ml
Yok 73
Belirtilmemiş uyumsuzluk uyumsuz
Enjeksiyon Foscarnet sodium
Enjeksiyon Ganciclovir sodium
3662
Uyumlu
Enjeksiyon Foscarnet sodium 24 mg/ml
Enjeksiyon Gentamicin sulfate 4 mg/ml
Yok 73
Uyumlu
Enjeksiyon Foscarnet sodium 24 mg/ml
Enjeksiyon Gentamicin sulfate 2 mg/ml
Sodyum klorür % 0,9 1135
Uyumlu
Enjeksiyon Foscarnet sodium 24 mg/ml
Enjeksiyon Gentamicin sulfate 2 mg/ml
Glukoz %5 1135
Acil yağış uyumsuz
Enjeksiyon Foscarnet sodium 24 mg/ml
Enjeksiyon Haloperidol lactate 5 mg/ml
Yok 73
Uyumlu
Enjeksiyon Foscarnet sodium 24 mg/ml
Enjeksiyon Heparin sodium 100 UI/ml
Sodyum klorür % 0,9 1135
Uyumlu
Enjeksiyon Foscarnet sodium 24 mg/ml
Enjeksiyon Heparin sodium 1000 UI/ml
Yok 73
Uyumlu
Enjeksiyon Foscarnet sodium 24 mg/ml
Enjeksiyon Heparin sodium 100 UI/ml
Glukoz %5 1135
Uyumlu
Enjeksiyon Foscarnet sodium 24 mg/ml
Enjeksiyon Hydrocortisone sodium succinate 50 mg/ml
Yok 73
Uyumlu
Enjeksiyon Foscarnet sodium 24 mg/ml
Enjeksiyon Hydromorphone hydrochloride 10 mg/ml
Yok 73
Uyumlu
Enjeksiyon Foscarnet sodium 24 mg/ml
Enjeksiyon Hydroxyzine dihydrochloride 50 mg/ml
Yok 73
Uyumlu
Enjeksiyon Foscarnet sodium 24 mg/ml
Enjeksiyon Imipenem - cilastatin sodium 5 mg/ml
Glukoz %5 1135
Uyumlu
Enjeksiyon Foscarnet sodium 24 mg/ml
Enjeksiyon Imipenem - cilastatin sodium 10 mg/ml
Yok 73
Belirtilmemiş uyumsuzluk uyumsuz
Enjeksiyon Foscarnet sodium
Enjeksiyon Levofolinate calcium
3662
Uyumlu
Enjeksiyon Foscarnet sodium 24 mg/ml
Enjeksiyon Lorazepam 0,08 mg/ml
Sodyum klorür % 0,9 1135
Uyumlu
Enjeksiyon Foscarnet sodium 24 mg/ml
Enjeksiyon Lorazepam 0,08 mg/ml
Glukoz %5 1135
Gaz kabarcığı üretimi uyumsuz
Enjeksiyon Foscarnet sodium 24 mg/ml
Enjeksiyon Lorazepam 4 mg/ml
Yok 73
Uyumlu
Enjeksiyon Foscarnet sodium 24 mg/ml
Enjeksiyon Meropenem 50 mg/ml
Enjeksiyonluk su 4319
Uyumlu
Enjeksiyon Foscarnet sodium 24 mg/ml
Enjeksiyon Metoclopramide hydrochloride 2 mg/ml
Sodyum klorür % 0,9 1135
Uyumlu
Enjeksiyon Foscarnet sodium 24 mg/ml
Enjeksiyon Metoclopramide hydrochloride 4 mg/ml
Yok 73
Uyumlu
Enjeksiyon Foscarnet sodium 24 mg/ml
Enjeksiyon Metoclopramide hydrochloride 2 mg/ml
Glukoz %5 1135
Uyumlu
Enjeksiyon Foscarnet sodium 24 mg/ml
Enjeksiyon Metronidazole 5 mg/ml
Sodyum klorür % 0,9 1135
Uyumlu
Enjeksiyon Foscarnet sodium 24 mg/ml
Enjeksiyon Metronidazole 5 mg/ml
Yok 73
Gaz kabarcığı üretimi uyumsuz
Enjeksiyon Foscarnet sodium 24 mg/ml
Enjeksiyon Midazolam hydrochloride 5 mg/ml
Yok 73
Uyumlu
Enjeksiyon Foscarnet sodium 24 mg/ml
Enjeksiyon Morphine sulfate 1 mg/ml
Sodyum klorür % 0,9 1135
Uyumlu
Enjeksiyon Foscarnet sodium 24 mg/ml
Enjeksiyon Morphine sulfate 15 mg/ml
Yok 64
Uyumlu
Enjeksiyon Foscarnet sodium 24 mg/ml
Enjeksiyon Morphine sulfate 5 mg/ml
Sodyum klorür % 0,9 64
Uyumlu
Enjeksiyon Foscarnet sodium 24 mg/ml
Enjeksiyon Morphine sulfate 1 mg/ml
Glukoz %5 1135
Uyumlu
Enjeksiyon Foscarnet sodium 24 mg/ml
Enjeksiyon Morphine sulfate 1 mg/ml
Yok 73
Uyumlu
Enjeksiyon Foscarnet sodium 24 mg/ml
Enjeksiyon Nafcillin sodium 20 mg/ml
Glukoz %5 1135
Uyumlu
Enjeksiyon Foscarnet sodium 24 mg/ml
Enjeksiyon Nafcillin sodium 20 mg/ml
Sodyum klorür % 0,9 1135
Uyumlu
Enjeksiyon Foscarnet sodium 24 mg/ml
Enjeksiyon Oxacillin sodium 40 mg/ml
Yok 73
Uyumlu
Enjeksiyon Foscarnet sodium 24 mg/ml
Enjeksiyon Oxacillin sodium 20 mg/ml
Glukoz %5 1135
Belirtilmemiş uyumsuzluk uyumsuz
Enjeksiyon Foscarnet sodium
Glukoz %30 3662
Uyumlu
Enjeksiyon Foscarnet sodium 24 mg/ml
Enjeksiyon Oxacillin sodium 20 mg/ml
Sodyum klorür % 0,9 1135
Uyumlu
Enjeksiyon Foscarnet sodium 24 mg/ml
Enjeksiyon Penicillin G potassium 0.1 MUI/ml
Yok 73
Acil yağış uyumsuz
Enjeksiyon Foscarnet sodium 24 mg/ml
Enjeksiyon Pentamidine isetionate 6 mg/ml
Yok 73
Acil yağış uyumsuz
Enjeksiyon Foscarnet sodium 24 mg/ml
Enjeksiyon Pentamidine isetionate 6 mg/ml
Glukoz %5 1135
Belirtilmemiş uyumsuzluk uyumsuz
Enjeksiyon Foscarnet sodium
Enjeksiyon Pentamidine isetionate
3662
Acil yağış uyumsuz
Enjeksiyon Foscarnet sodium 24 mg/ml
Enjeksiyon Pentamidine isetionate 6 mg/ml
Sodyum klorür % 0,9 1135
Acil yağış uyumsuz
Enjeksiyon Foscarnet sodium 24 mg/ml
Enjeksiyon Phenytoin sodium 50 mg/ml
Yok 73
Uyumlu
Enjeksiyon Foscarnet sodium 24 mg/ml
Enjeksiyon Piperacillin sodium 80 mg/ml
Yok 73
Anında bulanıklık uyumsuz
Enjeksiyon Foscarnet sodium 24 mg/ml
Enjeksiyon Prochlorperazine edysilate 5 mg/ml
Yok 73
Gaz kabarcığı üretimi uyumsuz
Enjeksiyon Foscarnet sodium 24 mg/ml
Enjeksiyon Promethazine hydrochloride 50 mg/ml
Yok 73
Uyumlu
Enjeksiyon Foscarnet sodium 24 mg/ml
Enjeksiyon Ranitidine hydrochloride 2 mg/ml
Sodyum klorür % 0,9 1135
Uyumlu
Enjeksiyon Foscarnet sodium 24 mg/ml
Enjeksiyon Ranitidine hydrochloride 2 mg/ml
Glukoz %5 1135
Uyumlu
Enjeksiyon Foscarnet sodium 24 mg/ml
Enjeksiyon Ticarcillin / clavulanic acid 100 mg/ml
Sodyum klorür % 0,9 1135
Uyumlu
Enjeksiyon Foscarnet sodium 24 mg/ml
Enjeksiyon Ticarcillin / clavulanic acid 100 mg/ml
Glukoz %5 1135
Uyumlu
Enjeksiyon Foscarnet sodium 24 mg/ml
Enjeksiyon Tobramycin sulfate 40 mg/ml
Yok 73
Uyumlu
Enjeksiyon Foscarnet sodium 24 mg/ml
Enjeksiyon Vancomycin hydrochloride 10 mg/ml
Sodyum klorür % 0,9 132
Belirtilmemiş uyumsuzluk uyumsuz
Enjeksiyon Foscarnet sodium
Enjeksiyon Vancomycin hydrochloride
3662
Uyumlu
Enjeksiyon Foscarnet sodium 24 mg/ml
Enjeksiyon Vancomycin hydrochloride 15 mg/ml
Sodyum klorür % 0,9 1135
Uyumlu
Enjeksiyon Foscarnet sodium 24 mg/ml
Enjeksiyon Vancomycin hydrochloride 15 mg/ml
Glukoz %5 1135
Acil yağış uyumsuz
Enjeksiyon Foscarnet sodium 24 mg/ml
Enjeksiyon Vancomycin hydrochloride 20 mg/ml
Yok 73

  Mentions Légales