Última actualização :
31/03/2026
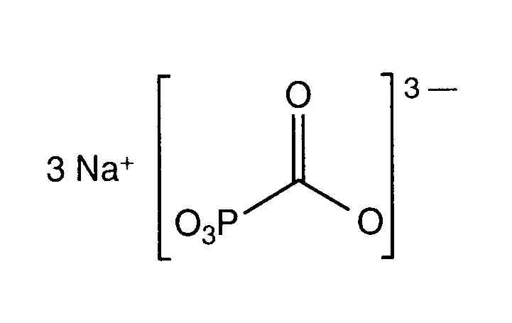
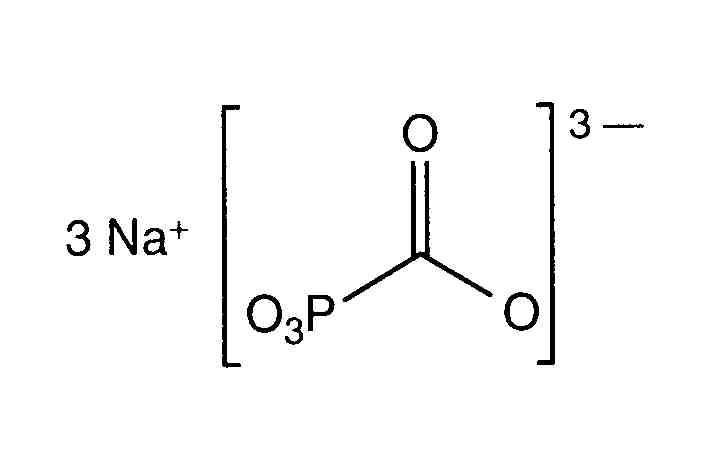
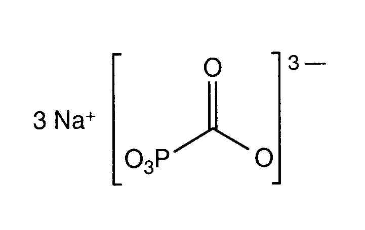
Antiviral   Foscarnet sodium  
injetável
Estabilidade em soluções simples Estabilidade em misturas Factores que afectam a sua estabilidade Compatibilidade Método de administração Bibliografía pdf
   estrutura química  

Nomes comerciais nos diversos países   Nomes comerciais nos diversos países     

OS NOMES COMERCIAIS SÃO INDICATIVOS E OS EXCIPIENTES DA FORMULAÇÃO PODEM SER DIFERENTES CONFORME O PAÍS E FABRICANTE.

Foscarnet Argentina, Chilli, Colômbia, Equator, Espanha, Estados Unidos de América, México, Peru, Portugal
Foscavir Alemanha, Australia, Austria, Bélgica, Espanha, Estados Unidos de América, França, Gran-bretanha, Grècia, Hungria, Itália, Luxemburgo, nova Zelândia, Países Baixos, Suècia, Suicia
Compatibilidade   injetável   Compatibilidade : Foscarnet sodium              
Este ecrã indica as compatibilidades ou incompatibilidades com, neste caso, o tipo de incompatibilidade (precipitação, mudança de cor, modificação de uma emulsão, etc.). As compatibilidades mostradas aqui são principalmente físicas, com a estabilidade química de cada molécula raramente sendo avaliada. A avaliação dessas misturas foi estudada para considerar a possibilidade de administração do local Y ao paciente. Estes dados não podem ser usados para fazer misturas antecipadamente em sacos ou seringas. Este tipo de informação está disponível na tela “Estabilidade na mistura».
molécula Solvente Bibliografia
Incompatibilidade não especificada Incompatível
injetável Foscarnet sodium
injetável Aciclovir sodium
3595
Precipitação imediata Incompatível
injetável Foscarnet sodium 24 mg/ml
injetável Aciclovir sodium 7 mg/ml
Glucose 5% 1135
Precipitação imediata Incompatível
injetável Foscarnet sodium 24 mg/ml
injetável Aciclovir sodium 7 mg/ml
cloreto de sódio 0,9% 1135
Incompatibilidade não especificada Incompatível
injetável Foscarnet sodium
injetável Aciclovir sodium
3662
Precipitação imediata Incompatível
injetável Foscarnet sodium 24 mg/ml
injetável Aciclovir sodium 10 mg/ml
nenhum 73
Compatível
injetável Foscarnet sodium 24 mg/ml
injetável Aldesleukin 0.0338 MUI/ml
Glucose 5% 36
Compatível
injetável Foscarnet sodium 24 mg/ml
injetável Amikacin sulfate 20 mg/ml
nenhum 73
Compatível
injetável Foscarnet sodium 24 mg/ml
injetável Aminophylline 25 mg/ml
nenhum 73
Turvação imediata Incompatível
injetável Foscarnet sodium 24 mg/ml
injetável Amphotericin B 0.6 mg/ml
Glucose 5% 1135
Incompatibilidade não especificada Incompatível
injetável Foscarnet sodium
injetável Amphotericin B
3662
Precipitação imediata Incompatível
injetável Foscarnet sodium 24 mg/ml
injetável Amphotericin B 5 mg/ml
nenhum 73
Compatível
injetável Foscarnet sodium 24 mg/ml
injetável Ampicillin sodium 20 mg/ml
nenhum 73
Compatível
injetável Foscarnet sodium 24 mg/ml
injetável Aztreonam 40 mg/ml
cloreto de sódio 0,9% 1135
Compatível
injetável Foscarnet sodium 24 mg/ml
injetável Aztreonam 40 mg/ml
Glucose 5% 1135
Compatível
injetável Foscarnet sodium 24 mg/ml
injetável Aztreonam 40 mg/ml
nenhum 73
Incompatibilidade não especificada Incompatível
injetável Foscarnet sodium
injetável Calcium chloride
3662
Incompatibilidade não especificada Incompatível
injetável Foscarnet sodium
injetável Calcium glucoheptonate
3662
Incompatibilidade não especificada Incompatível
injetável Foscarnet sodium
injetável Calcium gluconate
3662
Compatível
injetável Foscarnet sodium 24 mg/ml
injetável Cefazolin sodium 40 mg/ml
nenhum 73
Compatível
injetável Foscarnet sodium 24 mg/ml
injetável Cefoperazone sodium 40 mg/ml
nenhum 73
Compatível
injetável Foscarnet sodium 24 mg/ml
injetável Cefoxitin sodium 40 mg/ml
nenhum 73
Compatível
injetável Foscarnet sodium 24 mg/ml
injetável Ceftazidime 20 mg/ml
Glucose 5% 1135
Compatível
injetável Foscarnet sodium 24 mg/ml
injetável Ceftazidime 20 mg/ml
nenhum 73
Compatível
injetável Foscarnet sodium 24 mg/ml
injetável Ceftazidime 20 mg/ml
cloreto de sódio 0,9% 1135
Compatível
injetável Foscarnet sodium
injetável Ceftazidime
3883
Compatível
injetável Foscarnet sodium 24 mg/ml
injetável Ceftizoxime sodium 40 mg/ml
nenhum 73
Compatível
injetável Foscarnet sodium 24 mg/ml
injetável Ceftriaxone disodium 20 mg/ml
Glucose 5% 1135
Compatível
injetável Foscarnet sodium 24 mg/ml
injetável Ceftriaxone disodium 20 mg/ml
cloreto de sódio 0,9% 1135
Compatível
injetável Foscarnet sodium 24 mg/ml
injetável Cefuroxime sodium 30 mg/ml
nenhum 73
Compatível
injetável Foscarnet sodium 24 mg/ml
injetável Chloramphenicol sodium succinate 20 mg/ml
nenhum 73
Compatível
injetável Foscarnet sodium 24 mg/ml
injetável Cimetidine hydrochloride 150 mg/ml
nenhum 73
Compatível
injetável Foscarnet sodium 24 mg/ml
injetável Clindamycin phosphate 24 mg/ml
nenhum 73
Compatível
injetável Foscarnet sodium 24 mg/ml
injetável Clindamycin phosphate 12 mg/ml
Glucose 5% 1135
Compatível
injetável Foscarnet sodium 24 mg/ml
injetável Clindamycin phosphate 12 mg/ml
cloreto de sódio 0,9% 1135
Incompatibilidade não especificada Incompatível
injetável Foscarnet sodium
injetável Co-trimoxazole
3662
Compatível
injetável Foscarnet sodium 24 mg/ml
injetável Co-trimoxazole 2,6/0,53 mg/ml
Glucose 5% 1135
Precipitação imediata Incompatível
injetável Foscarnet sodium 24 mg/ml
injetável Co-trimoxazole
nenhum 73
Compatível
injetável Foscarnet sodium 24 mg/ml
injetável Defibrotide 8 mg/ml
cloreto de sódio 0,9% 3728
Compatível
injetável Foscarnet sodium 24 mg/ml
injetável Dexamethasone sodium phosphate 10 mg/ml
nenhum 73
Produção de bolhas de gás Incompatível
injetável Foscarnet sodium 24 mg/ml
injetável Diazepam 5 mg/ml
nenhum 73
Produção de bolhas de gás Incompatível
injetável Foscarnet sodium 24 mg/ml
injetável Digoxin 250 µg/ml
nenhum 73
Turvação imediata Incompatível
injetável Foscarnet sodium 24 mg/ml
injetável Diphenhydramine hydrochloride 50 mg/ml
nenhum 73
Precipitação imediata Incompatível
injetável Foscarnet sodium 24 mg/ml
injetável Dobutamine hydrochloride 12.5 mg/ml
nenhum 73
Compatível
injetável Foscarnet sodium 24 mg/ml
injetável Dopamine hydrochloride 80 mg/ml
nenhum 73
Compatível
injetável Foscarnet sodium 24 mg/ml
injetável Doripenem 5 mg/ml
Glucose 5% 2262
Compatível
injetável Foscarnet sodium 24 mg/ml
injetável Doripenem 5 mg/ml
cloreto de sódio 0,9% 2262
Precipitação imediata Incompatível
injetável Foscarnet sodium 24 mg/ml
injetável Droperidol 2.5 mg/ml
nenhum 73
Compatível
injetável Foscarnet sodium 24 mg/ml
injetável Erythromycin lactobionate 20 mg/ml
cloreto de sódio 0,9% 1135
Compatível
injetável Foscarnet sodium 24 mg/ml
injetável Erythromycin lactobionate 20 mg/ml
nenhum 73
Compatível
injetável Foscarnet sodium 24 mg/ml
injetável Fluconazole 2 mg/ml
cloreto de sódio 0,9% 496
Turvação imediata Incompatível
injetável Foscarnet sodium 24 mg/ml
injetável Folinate calcium 10 mg/ml
nenhum 73
Compatível
injetável Foscarnet sodium 24 mg/ml
injetável Furosemide 10 mg/ml
nenhum 73
Precipitação imediata Incompatível
injetável Foscarnet sodium 24 mg/ml
injetável Ganciclovir sodium 50 mg/ml
nenhum 73
Incompatibilidade não especificada Incompatível
injetável Foscarnet sodium
injetável Ganciclovir sodium
3662
Compatível
injetável Foscarnet sodium 24 mg/ml
injetável Gentamicin sulfate 4 mg/ml
nenhum 73
Compatível
injetável Foscarnet sodium 24 mg/ml
injetável Gentamicin sulfate 2 mg/ml
cloreto de sódio 0,9% 1135
Compatível
injetável Foscarnet sodium 24 mg/ml
injetável Gentamicin sulfate 2 mg/ml
Glucose 5% 1135
Precipitação imediata Incompatível
injetável Foscarnet sodium 24 mg/ml
injetável Haloperidol lactate 5 mg/ml
nenhum 73
Compatível
injetável Foscarnet sodium 24 mg/ml
injetável Heparin sodium 100 UI/ml
cloreto de sódio 0,9% 1135
Compatível
injetável Foscarnet sodium 24 mg/ml
injetável Heparin sodium 1000 UI/ml
nenhum 73
Compatível
injetável Foscarnet sodium 24 mg/ml
injetável Heparin sodium 100 UI/ml
Glucose 5% 1135
Compatível
injetável Foscarnet sodium 24 mg/ml
injetável Hydrocortisone sodium succinate 50 mg/ml
nenhum 73
Compatível
injetável Foscarnet sodium 24 mg/ml
injetável Hydromorphone hydrochloride 10 mg/ml
nenhum 73
Compatível
injetável Foscarnet sodium 24 mg/ml
injetável Hydroxyzine dihydrochloride 50 mg/ml
nenhum 73
Compatível
injetável Foscarnet sodium 24 mg/ml
injetável Imipenem - cilastatin sodium 5 mg/ml
Glucose 5% 1135
Compatível
injetável Foscarnet sodium 24 mg/ml
injetável Imipenem - cilastatin sodium 10 mg/ml
nenhum 73
Incompatibilidade não especificada Incompatível
injetável Foscarnet sodium
injetável Levofolinate calcium
3662
Compatível
injetável Foscarnet sodium 24 mg/ml
injetável Lorazepam 0,08 mg/ml
cloreto de sódio 0,9% 1135
Compatível
injetável Foscarnet sodium 24 mg/ml
injetável Lorazepam 0,08 mg/ml
Glucose 5% 1135
Produção de bolhas de gás Incompatível
injetável Foscarnet sodium 24 mg/ml
injetável Lorazepam 4 mg/ml
nenhum 73
Compatível
injetável Foscarnet sodium 24 mg/ml
injetável Meropenem 50 mg/ml
Agua para injectaveis 4319
Compatível
injetável Foscarnet sodium 24 mg/ml
injetável Metoclopramide hydrochloride 2 mg/ml
cloreto de sódio 0,9% 1135
Compatível
injetável Foscarnet sodium 24 mg/ml
injetável Metoclopramide hydrochloride 4 mg/ml
nenhum 73
Compatível
injetável Foscarnet sodium 24 mg/ml
injetável Metoclopramide hydrochloride 2 mg/ml
Glucose 5% 1135
Compatível
injetável Foscarnet sodium 24 mg/ml
injetável Metronidazole 5 mg/ml
cloreto de sódio 0,9% 1135
Compatível
injetável Foscarnet sodium 24 mg/ml
injetável Metronidazole 5 mg/ml
nenhum 73
Produção de bolhas de gás Incompatível
injetável Foscarnet sodium 24 mg/ml
injetável Midazolam hydrochloride 5 mg/ml
nenhum 73
Compatível
injetável Foscarnet sodium 24 mg/ml
injetável Morphine sulfate 1 mg/ml
cloreto de sódio 0,9% 1135
Compatível
injetável Foscarnet sodium 24 mg/ml
injetável Morphine sulfate 15 mg/ml
nenhum 64
Compatível
injetável Foscarnet sodium 24 mg/ml
injetável Morphine sulfate 5 mg/ml
cloreto de sódio 0,9% 64
Compatível
injetável Foscarnet sodium 24 mg/ml
injetável Morphine sulfate 1 mg/ml
Glucose 5% 1135
Compatível
injetável Foscarnet sodium 24 mg/ml
injetável Morphine sulfate 1 mg/ml
nenhum 73
Compatível
injetável Foscarnet sodium 24 mg/ml
injetável Nafcillin sodium 20 mg/ml
Glucose 5% 1135
Compatível
injetável Foscarnet sodium 24 mg/ml
injetável Nafcillin sodium 20 mg/ml
cloreto de sódio 0,9% 1135
Compatível
injetável Foscarnet sodium 24 mg/ml
injetável Oxacillin sodium 40 mg/ml
nenhum 73
Compatível
injetável Foscarnet sodium 24 mg/ml
injetável Oxacillin sodium 20 mg/ml
Glucose 5% 1135
Incompatibilidade não especificada Incompatível
injetável Foscarnet sodium
Glucose 30% 3662
Compatível
injetável Foscarnet sodium 24 mg/ml
injetável Oxacillin sodium 20 mg/ml
cloreto de sódio 0,9% 1135
Compatível
injetável Foscarnet sodium 24 mg/ml
injetável Penicillin G potassium 0.1 MUI/ml
nenhum 73
Precipitação imediata Incompatível
injetável Foscarnet sodium 24 mg/ml
injetável Pentamidine isetionate 6 mg/ml
nenhum 73
Precipitação imediata Incompatível
injetável Foscarnet sodium 24 mg/ml
injetável Pentamidine isetionate 6 mg/ml
Glucose 5% 1135
Incompatibilidade não especificada Incompatível
injetável Foscarnet sodium
injetável Pentamidine isetionate
3662
Precipitação imediata Incompatível
injetável Foscarnet sodium 24 mg/ml
injetável Pentamidine isetionate 6 mg/ml
cloreto de sódio 0,9% 1135
Precipitação imediata Incompatível
injetável Foscarnet sodium 24 mg/ml
injetável Phenytoin sodium 50 mg/ml
nenhum 73
Compatível
injetável Foscarnet sodium 24 mg/ml
injetável Piperacillin sodium 80 mg/ml
nenhum 73
Turvação imediata Incompatível
injetável Foscarnet sodium 24 mg/ml
injetável Prochlorperazine edysilate 5 mg/ml
nenhum 73
Produção de bolhas de gás Incompatível
injetável Foscarnet sodium 24 mg/ml
injetável Promethazine hydrochloride 50 mg/ml
nenhum 73
Compatível
injetável Foscarnet sodium 24 mg/ml
injetável Ranitidine hydrochloride 2 mg/ml
cloreto de sódio 0,9% 1135
Compatível
injetável Foscarnet sodium 24 mg/ml
injetável Ranitidine hydrochloride 2 mg/ml
Glucose 5% 1135
Compatível
injetável Foscarnet sodium 24 mg/ml
injetável Ticarcillin / clavulanic acid 100 mg/ml
cloreto de sódio 0,9% 1135
Compatível
injetável Foscarnet sodium 24 mg/ml
injetável Ticarcillin / clavulanic acid 100 mg/ml
Glucose 5% 1135
Compatível
injetável Foscarnet sodium 24 mg/ml
injetável Tobramycin sulfate 40 mg/ml
nenhum 73
Compatível
injetável Foscarnet sodium 24 mg/ml
injetável Vancomycin hydrochloride 10 mg/ml
cloreto de sódio 0,9% 132
Incompatibilidade não especificada Incompatível
injetável Foscarnet sodium
injetável Vancomycin hydrochloride
3662
Compatível
injetável Foscarnet sodium 24 mg/ml
injetável Vancomycin hydrochloride 15 mg/ml
cloreto de sódio 0,9% 1135
Compatível
injetável Foscarnet sodium 24 mg/ml
injetável Vancomycin hydrochloride 15 mg/ml
Glucose 5% 1135
Precipitação imediata Incompatível
injetável Foscarnet sodium 24 mg/ml
injetável Vancomycin hydrochloride 20 mg/ml
nenhum 73

  Mentions Légales