Letztes “update” :
31/03/2026
Antiviral   Foscarnet sodium  
Injektion
Stabilität der Lösung Gemengestabilität Stabilitätbeeinflussende Faktoren Kompatibilitäten Applikationsart Literaturverzeichnis pdf
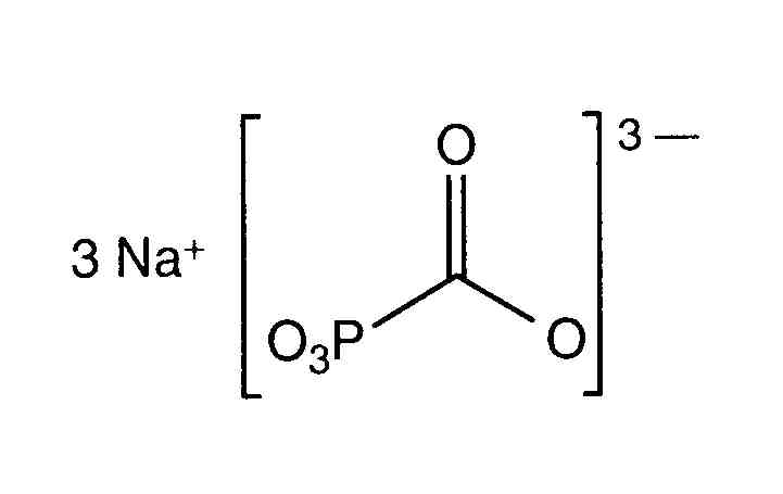
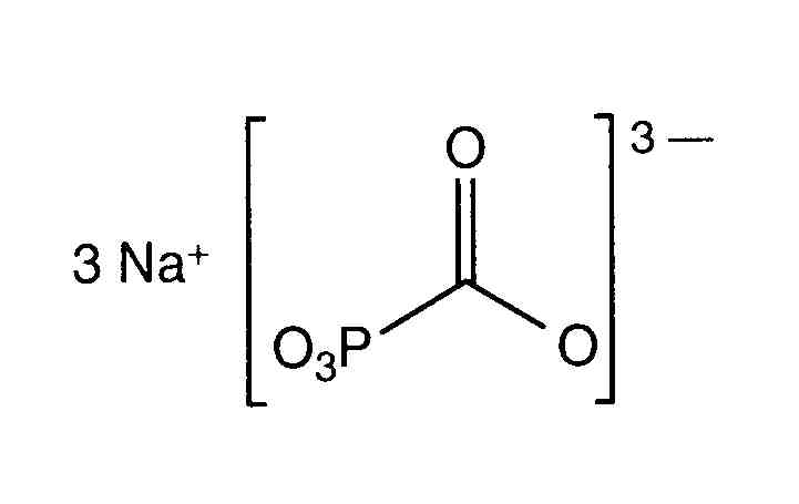
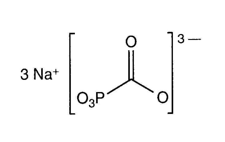
   Chemische Struktur  

Handelsmarke   Handelsmarke     

Handelsnamen sind als beispielhaft anzusehen. Sonstige Bestandteile können je nach Hersteller oder Land verschieden sein

Foscarnet Argentinien, Chile, Ecuador, Kolumbien, Mexiko, Peru, Portugal, Spanien, Vereinigte Staaten von Amerika
Foscavir Australien, Belgien, Deutschland, Frankreich, Griechenland, Großbritannien, Italien, Luxemburg, Neuseeland, Niederlande, Österreich, Schweden, Schweiz, Spanien, Ungarn, Vereinigte Staaten von Amerika
Kompatibilitäten   Injektion   Kompatibilitäten : Foscarnet sodium              
Dieser Bildschirm zeigt die Kompatibilitäten oder Inkompatibilitäten mit der Art der Inkompatibilität (hier: Ausfällung, Farbänderung, Modifikation einer Emulsion usw.) an. Die hier gezeigten Kompatibilitäten sind meist nur physikalisch, wobei die chemische Stabilität jedes Moleküls selten bewertet wird. Die Bewertung dieser Gemische wurde untersucht, um die Möglichkeit einer Verabreichung über eine Y-Verbindung zu berücksichtigen. Diese Daten können daher nicht zur Herstellung von Mischungen im Voraus in Beuteln oder Spritzen verwendet werden. Sie finden diese Informationen auf dem Bildschirm "Stabilität in Mischung».
Molekül Lösungsmittel Literaturverzeichnis
Nicht spezifizierte Inkompatibilität nicht kompatibel
Injektion Foscarnet sodium
Injektion Aciclovir sodium
3595
Sofortiger Niederschlag nicht kompatibel
Injektion Foscarnet sodium 24 mg/ml
Injektion Aciclovir sodium 7 mg/ml
5% Glucose 1135
Sofortiger Niederschlag nicht kompatibel
Injektion Foscarnet sodium 24 mg/ml
Injektion Aciclovir sodium 7 mg/ml
0,9% Natriumchlorid 1135
Nicht spezifizierte Inkompatibilität nicht kompatibel
Injektion Foscarnet sodium
Injektion Aciclovir sodium
3662
Sofortiger Niederschlag nicht kompatibel
Injektion Foscarnet sodium 24 mg/ml
Injektion Aciclovir sodium 10 mg/ml
Kein 73
kompatibel
Injektion Foscarnet sodium 24 mg/ml
Injektion Aldesleukin 0.0338 MUI/ml
5% Glucose 36
kompatibel
Injektion Foscarnet sodium 24 mg/ml
Injektion Amikacin sulfate 20 mg/ml
Kein 73
kompatibel
Injektion Foscarnet sodium 24 mg/ml
Injektion Aminophylline 25 mg/ml
Kein 73
Sofortige Trübung nicht kompatibel
Injektion Foscarnet sodium 24 mg/ml
Injektion Amphotericin B 0.6 mg/ml
5% Glucose 1135
Nicht spezifizierte Inkompatibilität nicht kompatibel
Injektion Foscarnet sodium
Injektion Amphotericin B
3662
Sofortiger Niederschlag nicht kompatibel
Injektion Foscarnet sodium 24 mg/ml
Injektion Amphotericin B 5 mg/ml
Kein 73
kompatibel
Injektion Foscarnet sodium 24 mg/ml
Injektion Ampicillin sodium 20 mg/ml
Kein 73
kompatibel
Injektion Foscarnet sodium 24 mg/ml
Injektion Aztreonam 40 mg/ml
0,9% Natriumchlorid 1135
kompatibel
Injektion Foscarnet sodium 24 mg/ml
Injektion Aztreonam 40 mg/ml
5% Glucose 1135
kompatibel
Injektion Foscarnet sodium 24 mg/ml
Injektion Aztreonam 40 mg/ml
Kein 73
Nicht spezifizierte Inkompatibilität nicht kompatibel
Injektion Foscarnet sodium
Injektion Calcium chloride
3662
Nicht spezifizierte Inkompatibilität nicht kompatibel
Injektion Foscarnet sodium
Injektion Calcium glucoheptonate
3662
Nicht spezifizierte Inkompatibilität nicht kompatibel
Injektion Foscarnet sodium
Injektion Calcium gluconate
3662
kompatibel
Injektion Foscarnet sodium 24 mg/ml
Injektion Cefazolin sodium 40 mg/ml
Kein 73
kompatibel
Injektion Foscarnet sodium 24 mg/ml
Injektion Cefoperazone sodium 40 mg/ml
Kein 73
kompatibel
Injektion Foscarnet sodium 24 mg/ml
Injektion Cefoxitin sodium 40 mg/ml
Kein 73
kompatibel
Injektion Foscarnet sodium 24 mg/ml
Injektion Ceftazidime 20 mg/ml
5% Glucose 1135
kompatibel
Injektion Foscarnet sodium 24 mg/ml
Injektion Ceftazidime 20 mg/ml
Kein 73
kompatibel
Injektion Foscarnet sodium 24 mg/ml
Injektion Ceftazidime 20 mg/ml
0,9% Natriumchlorid 1135
kompatibel
Injektion Foscarnet sodium
Injektion Ceftazidime
3883
kompatibel
Injektion Foscarnet sodium 24 mg/ml
Injektion Ceftizoxime sodium 40 mg/ml
Kein 73
kompatibel
Injektion Foscarnet sodium 24 mg/ml
Injektion Ceftriaxone disodium 20 mg/ml
5% Glucose 1135
kompatibel
Injektion Foscarnet sodium 24 mg/ml
Injektion Ceftriaxone disodium 20 mg/ml
0,9% Natriumchlorid 1135
kompatibel
Injektion Foscarnet sodium 24 mg/ml
Injektion Cefuroxime sodium 30 mg/ml
Kein 73
kompatibel
Injektion Foscarnet sodium 24 mg/ml
Injektion Chloramphenicol sodium succinate 20 mg/ml
Kein 73
kompatibel
Injektion Foscarnet sodium 24 mg/ml
Injektion Cimetidine hydrochloride 150 mg/ml
Kein 73
kompatibel
Injektion Foscarnet sodium 24 mg/ml
Injektion Clindamycin phosphate 24 mg/ml
Kein 73
kompatibel
Injektion Foscarnet sodium 24 mg/ml
Injektion Clindamycin phosphate 12 mg/ml
5% Glucose 1135
kompatibel
Injektion Foscarnet sodium 24 mg/ml
Injektion Clindamycin phosphate 12 mg/ml
0,9% Natriumchlorid 1135
Nicht spezifizierte Inkompatibilität nicht kompatibel
Injektion Foscarnet sodium
Injektion Co-trimoxazole
3662
kompatibel
Injektion Foscarnet sodium 24 mg/ml
Injektion Co-trimoxazole 2,6/0,53 mg/ml
5% Glucose 1135
Sofortiger Niederschlag nicht kompatibel
Injektion Foscarnet sodium 24 mg/ml
Injektion Co-trimoxazole
Kein 73
kompatibel
Injektion Foscarnet sodium 24 mg/ml
Injektion Defibrotide 8 mg/ml
0,9% Natriumchlorid 3728
kompatibel
Injektion Foscarnet sodium 24 mg/ml
Injektion Dexamethasone sodium phosphate 10 mg/ml
Kein 73
Produktion von Gasblasen nicht kompatibel
Injektion Foscarnet sodium 24 mg/ml
Injektion Diazepam 5 mg/ml
Kein 73
Produktion von Gasblasen nicht kompatibel
Injektion Foscarnet sodium 24 mg/ml
Injektion Digoxin 250 µg/ml
Kein 73
Sofortige Trübung nicht kompatibel
Injektion Foscarnet sodium 24 mg/ml
Injektion Diphenhydramine hydrochloride 50 mg/ml
Kein 73
Sofortiger Niederschlag nicht kompatibel
Injektion Foscarnet sodium 24 mg/ml
Injektion Dobutamine hydrochloride 12.5 mg/ml
Kein 73
kompatibel
Injektion Foscarnet sodium 24 mg/ml
Injektion Dopamine hydrochloride 80 mg/ml
Kein 73
kompatibel
Injektion Foscarnet sodium 24 mg/ml
Injektion Doripenem 5 mg/ml
5% Glucose 2262
kompatibel
Injektion Foscarnet sodium 24 mg/ml
Injektion Doripenem 5 mg/ml
0,9% Natriumchlorid 2262
Sofortiger Niederschlag nicht kompatibel
Injektion Foscarnet sodium 24 mg/ml
Injektion Droperidol 2.5 mg/ml
Kein 73
kompatibel
Injektion Foscarnet sodium 24 mg/ml
Injektion Erythromycin lactobionate 20 mg/ml
0,9% Natriumchlorid 1135
kompatibel
Injektion Foscarnet sodium 24 mg/ml
Injektion Erythromycin lactobionate 20 mg/ml
Kein 73
kompatibel
Injektion Foscarnet sodium 24 mg/ml
Injektion Fluconazole 2 mg/ml
0,9% Natriumchlorid 496
Sofortige Trübung nicht kompatibel
Injektion Foscarnet sodium 24 mg/ml
Injektion Folinate calcium 10 mg/ml
Kein 73
kompatibel
Injektion Foscarnet sodium 24 mg/ml
Injektion Furosemide 10 mg/ml
Kein 73
Sofortiger Niederschlag nicht kompatibel
Injektion Foscarnet sodium 24 mg/ml
Injektion Ganciclovir sodium 50 mg/ml
Kein 73
Nicht spezifizierte Inkompatibilität nicht kompatibel
Injektion Foscarnet sodium
Injektion Ganciclovir sodium
3662
kompatibel
Injektion Foscarnet sodium 24 mg/ml
Injektion Gentamicin sulfate 4 mg/ml
Kein 73
kompatibel
Injektion Foscarnet sodium 24 mg/ml
Injektion Gentamicin sulfate 2 mg/ml
0,9% Natriumchlorid 1135
kompatibel
Injektion Foscarnet sodium 24 mg/ml
Injektion Gentamicin sulfate 2 mg/ml
5% Glucose 1135
Sofortiger Niederschlag nicht kompatibel
Injektion Foscarnet sodium 24 mg/ml
Injektion Haloperidol lactate 5 mg/ml
Kein 73
kompatibel
Injektion Foscarnet sodium 24 mg/ml
Injektion Heparin sodium 100 UI/ml
0,9% Natriumchlorid 1135
kompatibel
Injektion Foscarnet sodium 24 mg/ml
Injektion Heparin sodium 1000 UI/ml
Kein 73
kompatibel
Injektion Foscarnet sodium 24 mg/ml
Injektion Heparin sodium 100 UI/ml
5% Glucose 1135
kompatibel
Injektion Foscarnet sodium 24 mg/ml
Injektion Hydrocortisone sodium succinate 50 mg/ml
Kein 73
kompatibel
Injektion Foscarnet sodium 24 mg/ml
Injektion Hydromorphone hydrochloride 10 mg/ml
Kein 73
kompatibel
Injektion Foscarnet sodium 24 mg/ml
Injektion Hydroxyzine dihydrochloride 50 mg/ml
Kein 73
kompatibel
Injektion Foscarnet sodium 24 mg/ml
Injektion Imipenem - cilastatin sodium 5 mg/ml
5% Glucose 1135
kompatibel
Injektion Foscarnet sodium 24 mg/ml
Injektion Imipenem - cilastatin sodium 10 mg/ml
Kein 73
Nicht spezifizierte Inkompatibilität nicht kompatibel
Injektion Foscarnet sodium
Injektion Levofolinate calcium
3662
kompatibel
Injektion Foscarnet sodium 24 mg/ml
Injektion Lorazepam 0,08 mg/ml
0,9% Natriumchlorid 1135
kompatibel
Injektion Foscarnet sodium 24 mg/ml
Injektion Lorazepam 0,08 mg/ml
5% Glucose 1135
Produktion von Gasblasen nicht kompatibel
Injektion Foscarnet sodium 24 mg/ml
Injektion Lorazepam 4 mg/ml
Kein 73
kompatibel
Injektion Foscarnet sodium 24 mg/ml
Injektion Meropenem 50 mg/ml
Wasser für injektable präparate 4319
kompatibel
Injektion Foscarnet sodium 24 mg/ml
Injektion Metoclopramide hydrochloride 2 mg/ml
0,9% Natriumchlorid 1135
kompatibel
Injektion Foscarnet sodium 24 mg/ml
Injektion Metoclopramide hydrochloride 4 mg/ml
Kein 73
kompatibel
Injektion Foscarnet sodium 24 mg/ml
Injektion Metoclopramide hydrochloride 2 mg/ml
5% Glucose 1135
kompatibel
Injektion Foscarnet sodium 24 mg/ml
Injektion Metronidazole 5 mg/ml
0,9% Natriumchlorid 1135
kompatibel
Injektion Foscarnet sodium 24 mg/ml
Injektion Metronidazole 5 mg/ml
Kein 73
Produktion von Gasblasen nicht kompatibel
Injektion Foscarnet sodium 24 mg/ml
Injektion Midazolam hydrochloride 5 mg/ml
Kein 73
kompatibel
Injektion Foscarnet sodium 24 mg/ml
Injektion Morphine sulfate 1 mg/ml
0,9% Natriumchlorid 1135
kompatibel
Injektion Foscarnet sodium 24 mg/ml
Injektion Morphine sulfate 15 mg/ml
Kein 64
kompatibel
Injektion Foscarnet sodium 24 mg/ml
Injektion Morphine sulfate 5 mg/ml
0,9% Natriumchlorid 64
kompatibel
Injektion Foscarnet sodium 24 mg/ml
Injektion Morphine sulfate 1 mg/ml
5% Glucose 1135
kompatibel
Injektion Foscarnet sodium 24 mg/ml
Injektion Morphine sulfate 1 mg/ml
Kein 73
kompatibel
Injektion Foscarnet sodium 24 mg/ml
Injektion Nafcillin sodium 20 mg/ml
5% Glucose 1135
kompatibel
Injektion Foscarnet sodium 24 mg/ml
Injektion Nafcillin sodium 20 mg/ml
0,9% Natriumchlorid 1135
kompatibel
Injektion Foscarnet sodium 24 mg/ml
Injektion Oxacillin sodium 40 mg/ml
Kein 73
kompatibel
Injektion Foscarnet sodium 24 mg/ml
Injektion Oxacillin sodium 20 mg/ml
5% Glucose 1135
Nicht spezifizierte Inkompatibilität nicht kompatibel
Injektion Foscarnet sodium
30% Glucose 3662
kompatibel
Injektion Foscarnet sodium 24 mg/ml
Injektion Oxacillin sodium 20 mg/ml
0,9% Natriumchlorid 1135
kompatibel
Injektion Foscarnet sodium 24 mg/ml
Injektion Penicillin G potassium 0.1 MUI/ml
Kein 73
Sofortiger Niederschlag nicht kompatibel
Injektion Foscarnet sodium 24 mg/ml
Injektion Pentamidine isetionate 6 mg/ml
Kein 73
Sofortiger Niederschlag nicht kompatibel
Injektion Foscarnet sodium 24 mg/ml
Injektion Pentamidine isetionate 6 mg/ml
5% Glucose 1135
Nicht spezifizierte Inkompatibilität nicht kompatibel
Injektion Foscarnet sodium
Injektion Pentamidine isetionate
3662
Sofortiger Niederschlag nicht kompatibel
Injektion Foscarnet sodium 24 mg/ml
Injektion Pentamidine isetionate 6 mg/ml
0,9% Natriumchlorid 1135
Sofortiger Niederschlag nicht kompatibel
Injektion Foscarnet sodium 24 mg/ml
Injektion Phenytoin sodium 50 mg/ml
Kein 73
kompatibel
Injektion Foscarnet sodium 24 mg/ml
Injektion Piperacillin sodium 80 mg/ml
Kein 73
Sofortige Trübung nicht kompatibel
Injektion Foscarnet sodium 24 mg/ml
Injektion Prochlorperazine edysilate 5 mg/ml
Kein 73
Produktion von Gasblasen nicht kompatibel
Injektion Foscarnet sodium 24 mg/ml
Injektion Promethazine hydrochloride 50 mg/ml
Kein 73
kompatibel
Injektion Foscarnet sodium 24 mg/ml
Injektion Ranitidine hydrochloride 2 mg/ml
0,9% Natriumchlorid 1135
kompatibel
Injektion Foscarnet sodium 24 mg/ml
Injektion Ranitidine hydrochloride 2 mg/ml
5% Glucose 1135
kompatibel
Injektion Foscarnet sodium 24 mg/ml
Injektion Ticarcillin / clavulanic acid 100 mg/ml
0,9% Natriumchlorid 1135
kompatibel
Injektion Foscarnet sodium 24 mg/ml
Injektion Ticarcillin / clavulanic acid 100 mg/ml
5% Glucose 1135
kompatibel
Injektion Foscarnet sodium 24 mg/ml
Injektion Tobramycin sulfate 40 mg/ml
Kein 73
kompatibel
Injektion Foscarnet sodium 24 mg/ml
Injektion Vancomycin hydrochloride 10 mg/ml
0,9% Natriumchlorid 132
Nicht spezifizierte Inkompatibilität nicht kompatibel
Injektion Foscarnet sodium
Injektion Vancomycin hydrochloride
3662
kompatibel
Injektion Foscarnet sodium 24 mg/ml
Injektion Vancomycin hydrochloride 15 mg/ml
0,9% Natriumchlorid 1135
kompatibel
Injektion Foscarnet sodium 24 mg/ml
Injektion Vancomycin hydrochloride 15 mg/ml
5% Glucose 1135
Sofortiger Niederschlag nicht kompatibel
Injektion Foscarnet sodium 24 mg/ml
Injektion Vancomycin hydrochloride 20 mg/ml
Kein 73

  Mentions Légales