Ostatnia aktualizacja :
31/03/2026
Lek przeciwwirusowy   Foscarnet sodium  
Injekcje
Trwałość roztworów Trwałość w mieszaninie Czynnik wpływający na trwałość Zgodność Sposób podania Bibliografia pdf
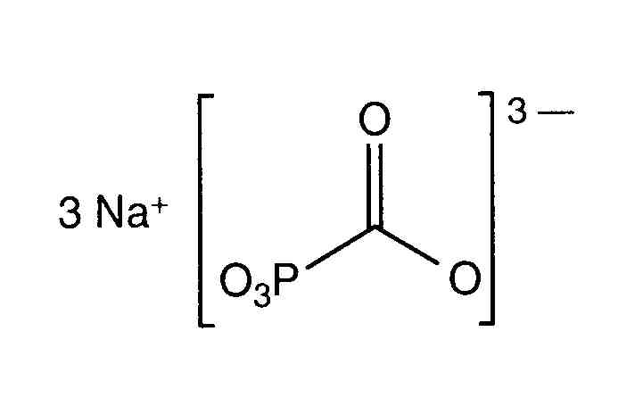
   Struktura chemiczna  

Nazwa handlowa   Nazwa handlowa     

Trade names are indicative and excipients composition can be different depending on the country and manufacturers

Foscarnet Argentyna, Chile, Ekwador, Hiszpania, KolumbiaKolumbia, Meksyk, Peru, Portugalia, Stany Zjednoczone Ameryki
Foscavir Australia, Austria, Belgia, Francja , Grecja, Hiszpania, Holandia, Luksemburg, Niemcy, nowa Zelandia, Stany Zjednoczone Ameryki, Szwajcaria, Szwecja, Węgry, Wielka Brytania, Włochy
Zgodność   Injekcje   Zgodność : Foscarnet sodium              
Ekran ten wskazuje na kompatybilności lub niezgodności z, w tym przypadku, rodzajem niezgodności (strącanie, zmiana koloru, modyfikacja emulsji, itp.). Przedstawione tutaj kompatybilności są głównie fizyczne, a stabilność chemiczna każdej cząsteczki jest rzadko oceniana. Ocenę tych mieszanin badano w celu rozważenia możliwości podania pacjentowi w miejscu Y. Dane te nie mogą być wykorzystywane do sporządzania mieszanin z wyprzedzeniem w workach lub strzykawkach. Tego typu informacje są dostępne na ekranie „Stabilność w mieszaninie”.
Związek Rozpuszczalnik Bibliografia
Nieokreślona niezgodność Niekompatybilny
Injekcje Foscarnet sodium
Injekcje Aciclovir sodium
3595
Natychmiastowe opady Niekompatybilny
Injekcje Foscarnet sodium 24 mg/ml
Injekcje Aciclovir sodium 7 mg/ml
Glukoza 5% 1135
Natychmiastowe opady Niekompatybilny
Injekcje Foscarnet sodium 24 mg/ml
Injekcje Aciclovir sodium 7 mg/ml
Chlorek sodu 0,9% 1135
Nieokreślona niezgodność Niekompatybilny
Injekcje Foscarnet sodium
Injekcje Aciclovir sodium
3662
Natychmiastowe opady Niekompatybilny
Injekcje Foscarnet sodium 24 mg/ml
Injekcje Aciclovir sodium 10 mg/ml
Żaden 73
Zgodny
Injekcje Foscarnet sodium 24 mg/ml
Injekcje Aldesleukin 0.0338 MUI/ml
Glukoza 5% 36
Zgodny
Injekcje Foscarnet sodium 24 mg/ml
Injekcje Amikacin sulfate 20 mg/ml
Żaden 73
Zgodny
Injekcje Foscarnet sodium 24 mg/ml
Injekcje Aminophylline 25 mg/ml
Żaden 73
Natychmiastowe zmętnienie Niekompatybilny
Injekcje Foscarnet sodium 24 mg/ml
Injekcje Amphotericin B 0.6 mg/ml
Glukoza 5% 1135
Nieokreślona niezgodność Niekompatybilny
Injekcje Foscarnet sodium
Injekcje Amphotericin B
3662
Natychmiastowe opady Niekompatybilny
Injekcje Foscarnet sodium 24 mg/ml
Injekcje Amphotericin B 5 mg/ml
Żaden 73
Zgodny
Injekcje Foscarnet sodium 24 mg/ml
Injekcje Ampicillin sodium 20 mg/ml
Żaden 73
Zgodny
Injekcje Foscarnet sodium 24 mg/ml
Injekcje Aztreonam 40 mg/ml
Chlorek sodu 0,9% 1135
Zgodny
Injekcje Foscarnet sodium 24 mg/ml
Injekcje Aztreonam 40 mg/ml
Glukoza 5% 1135
Zgodny
Injekcje Foscarnet sodium 24 mg/ml
Injekcje Aztreonam 40 mg/ml
Żaden 73
Nieokreślona niezgodność Niekompatybilny
Injekcje Foscarnet sodium
Injekcje Calcium chloride
3662
Nieokreślona niezgodność Niekompatybilny
Injekcje Foscarnet sodium
Injekcje Calcium glucoheptonate
3662
Nieokreślona niezgodność Niekompatybilny
Injekcje Foscarnet sodium
Injekcje Calcium gluconate
3662
Zgodny
Injekcje Foscarnet sodium 24 mg/ml
Injekcje Cefazolin sodium 40 mg/ml
Żaden 73
Zgodny
Injekcje Foscarnet sodium 24 mg/ml
Injekcje Cefoperazone sodium 40 mg/ml
Żaden 73
Zgodny
Injekcje Foscarnet sodium 24 mg/ml
Injekcje Cefoxitin sodium 40 mg/ml
Żaden 73
Zgodny
Injekcje Foscarnet sodium 24 mg/ml
Injekcje Ceftazidime 20 mg/ml
Glukoza 5% 1135
Zgodny
Injekcje Foscarnet sodium 24 mg/ml
Injekcje Ceftazidime 20 mg/ml
Żaden 73
Zgodny
Injekcje Foscarnet sodium 24 mg/ml
Injekcje Ceftazidime 20 mg/ml
Chlorek sodu 0,9% 1135
Zgodny
Injekcje Foscarnet sodium
Injekcje Ceftazidime
3883
Zgodny
Injekcje Foscarnet sodium 24 mg/ml
Injekcje Ceftizoxime sodium 40 mg/ml
Żaden 73
Zgodny
Injekcje Foscarnet sodium 24 mg/ml
Injekcje Ceftriaxone disodium 20 mg/ml
Glukoza 5% 1135
Zgodny
Injekcje Foscarnet sodium 24 mg/ml
Injekcje Ceftriaxone disodium 20 mg/ml
Chlorek sodu 0,9% 1135
Zgodny
Injekcje Foscarnet sodium 24 mg/ml
Injekcje Cefuroxime sodium 30 mg/ml
Żaden 73
Zgodny
Injekcje Foscarnet sodium 24 mg/ml
Injekcje Chloramphenicol sodium succinate 20 mg/ml
Żaden 73
Zgodny
Injekcje Foscarnet sodium 24 mg/ml
Injekcje Cimetidine hydrochloride 150 mg/ml
Żaden 73
Zgodny
Injekcje Foscarnet sodium 24 mg/ml
Injekcje Clindamycin phosphate 24 mg/ml
Żaden 73
Zgodny
Injekcje Foscarnet sodium 24 mg/ml
Injekcje Clindamycin phosphate 12 mg/ml
Glukoza 5% 1135
Zgodny
Injekcje Foscarnet sodium 24 mg/ml
Injekcje Clindamycin phosphate 12 mg/ml
Chlorek sodu 0,9% 1135
Nieokreślona niezgodność Niekompatybilny
Injekcje Foscarnet sodium
Injekcje Co-trimoxazole
3662
Zgodny
Injekcje Foscarnet sodium 24 mg/ml
Injekcje Co-trimoxazole 2,6/0,53 mg/ml
Glukoza 5% 1135
Natychmiastowe opady Niekompatybilny
Injekcje Foscarnet sodium 24 mg/ml
Injekcje Co-trimoxazole
Żaden 73
Zgodny
Injekcje Foscarnet sodium 24 mg/ml
Injekcje Defibrotide 8 mg/ml
Chlorek sodu 0,9% 3728
Zgodny
Injekcje Foscarnet sodium 24 mg/ml
Injekcje Dexamethasone sodium phosphate 10 mg/ml
Żaden 73
Produkcja pęcherzyków gazu Niekompatybilny
Injekcje Foscarnet sodium 24 mg/ml
Injekcje Diazepam 5 mg/ml
Żaden 73
Produkcja pęcherzyków gazu Niekompatybilny
Injekcje Foscarnet sodium 24 mg/ml
Injekcje Digoxin 250 µg/ml
Żaden 73
Natychmiastowe zmętnienie Niekompatybilny
Injekcje Foscarnet sodium 24 mg/ml
Injekcje Diphenhydramine hydrochloride 50 mg/ml
Żaden 73
Natychmiastowe opady Niekompatybilny
Injekcje Foscarnet sodium 24 mg/ml
Injekcje Dobutamine hydrochloride 12.5 mg/ml
Żaden 73
Zgodny
Injekcje Foscarnet sodium 24 mg/ml
Injekcje Dopamine hydrochloride 80 mg/ml
Żaden 73
Zgodny
Injekcje Foscarnet sodium 24 mg/ml
Injekcje Doripenem 5 mg/ml
Glukoza 5% 2262
Zgodny
Injekcje Foscarnet sodium 24 mg/ml
Injekcje Doripenem 5 mg/ml
Chlorek sodu 0,9% 2262
Natychmiastowe opady Niekompatybilny
Injekcje Foscarnet sodium 24 mg/ml
Injekcje Droperidol 2.5 mg/ml
Żaden 73
Zgodny
Injekcje Foscarnet sodium 24 mg/ml
Injekcje Erythromycin lactobionate 20 mg/ml
Chlorek sodu 0,9% 1135
Zgodny
Injekcje Foscarnet sodium 24 mg/ml
Injekcje Erythromycin lactobionate 20 mg/ml
Żaden 73
Zgodny
Injekcje Foscarnet sodium 24 mg/ml
Injekcje Fluconazole 2 mg/ml
Chlorek sodu 0,9% 496
Natychmiastowe zmętnienie Niekompatybilny
Injekcje Foscarnet sodium 24 mg/ml
Injekcje Folinate calcium 10 mg/ml
Żaden 73
Zgodny
Injekcje Foscarnet sodium 24 mg/ml
Injekcje Furosemide 10 mg/ml
Żaden 73
Natychmiastowe opady Niekompatybilny
Injekcje Foscarnet sodium 24 mg/ml
Injekcje Ganciclovir sodium 50 mg/ml
Żaden 73
Nieokreślona niezgodność Niekompatybilny
Injekcje Foscarnet sodium
Injekcje Ganciclovir sodium
3662
Zgodny
Injekcje Foscarnet sodium 24 mg/ml
Injekcje Gentamicin sulfate 4 mg/ml
Żaden 73
Zgodny
Injekcje Foscarnet sodium 24 mg/ml
Injekcje Gentamicin sulfate 2 mg/ml
Chlorek sodu 0,9% 1135
Zgodny
Injekcje Foscarnet sodium 24 mg/ml
Injekcje Gentamicin sulfate 2 mg/ml
Glukoza 5% 1135
Natychmiastowe opady Niekompatybilny
Injekcje Foscarnet sodium 24 mg/ml
Injekcje Haloperidol lactate 5 mg/ml
Żaden 73
Zgodny
Injekcje Foscarnet sodium 24 mg/ml
Injekcje Heparin sodium 100 UI/ml
Chlorek sodu 0,9% 1135
Zgodny
Injekcje Foscarnet sodium 24 mg/ml
Injekcje Heparin sodium 1000 UI/ml
Żaden 73
Zgodny
Injekcje Foscarnet sodium 24 mg/ml
Injekcje Heparin sodium 100 UI/ml
Glukoza 5% 1135
Zgodny
Injekcje Foscarnet sodium 24 mg/ml
Injekcje Hydrocortisone sodium succinate 50 mg/ml
Żaden 73
Zgodny
Injekcje Foscarnet sodium 24 mg/ml
Injekcje Hydromorphone hydrochloride 10 mg/ml
Żaden 73
Zgodny
Injekcje Foscarnet sodium 24 mg/ml
Injekcje Hydroxyzine dihydrochloride 50 mg/ml
Żaden 73
Zgodny
Injekcje Foscarnet sodium 24 mg/ml
Injekcje Imipenem - cilastatin sodium 5 mg/ml
Glukoza 5% 1135
Zgodny
Injekcje Foscarnet sodium 24 mg/ml
Injekcje Imipenem - cilastatin sodium 10 mg/ml
Żaden 73
Nieokreślona niezgodność Niekompatybilny
Injekcje Foscarnet sodium
Injekcje Levofolinate calcium
3662
Zgodny
Injekcje Foscarnet sodium 24 mg/ml
Injekcje Lorazepam 0,08 mg/ml
Chlorek sodu 0,9% 1135
Zgodny
Injekcje Foscarnet sodium 24 mg/ml
Injekcje Lorazepam 0,08 mg/ml
Glukoza 5% 1135
Produkcja pęcherzyków gazu Niekompatybilny
Injekcje Foscarnet sodium 24 mg/ml
Injekcje Lorazepam 4 mg/ml
Żaden 73
Zgodny
Injekcje Foscarnet sodium 24 mg/ml
Injekcje Meropenem 50 mg/ml
Woda do wstrzyknięć 4319
Zgodny
Injekcje Foscarnet sodium 24 mg/ml
Injekcje Metoclopramide hydrochloride 2 mg/ml
Chlorek sodu 0,9% 1135
Zgodny
Injekcje Foscarnet sodium 24 mg/ml
Injekcje Metoclopramide hydrochloride 4 mg/ml
Żaden 73
Zgodny
Injekcje Foscarnet sodium 24 mg/ml
Injekcje Metoclopramide hydrochloride 2 mg/ml
Glukoza 5% 1135
Zgodny
Injekcje Foscarnet sodium 24 mg/ml
Injekcje Metronidazole 5 mg/ml
Chlorek sodu 0,9% 1135
Zgodny
Injekcje Foscarnet sodium 24 mg/ml
Injekcje Metronidazole 5 mg/ml
Żaden 73
Produkcja pęcherzyków gazu Niekompatybilny
Injekcje Foscarnet sodium 24 mg/ml
Injekcje Midazolam hydrochloride 5 mg/ml
Żaden 73
Zgodny
Injekcje Foscarnet sodium 24 mg/ml
Injekcje Morphine sulfate 1 mg/ml
Chlorek sodu 0,9% 1135
Zgodny
Injekcje Foscarnet sodium 24 mg/ml
Injekcje Morphine sulfate 15 mg/ml
Żaden 64
Zgodny
Injekcje Foscarnet sodium 24 mg/ml
Injekcje Morphine sulfate 5 mg/ml
Chlorek sodu 0,9% 64
Zgodny
Injekcje Foscarnet sodium 24 mg/ml
Injekcje Morphine sulfate 1 mg/ml
Glukoza 5% 1135
Zgodny
Injekcje Foscarnet sodium 24 mg/ml
Injekcje Morphine sulfate 1 mg/ml
Żaden 73
Zgodny
Injekcje Foscarnet sodium 24 mg/ml
Injekcje Nafcillin sodium 20 mg/ml
Glukoza 5% 1135
Zgodny
Injekcje Foscarnet sodium 24 mg/ml
Injekcje Nafcillin sodium 20 mg/ml
Chlorek sodu 0,9% 1135
Zgodny
Injekcje Foscarnet sodium 24 mg/ml
Injekcje Oxacillin sodium 40 mg/ml
Żaden 73
Zgodny
Injekcje Foscarnet sodium 24 mg/ml
Injekcje Oxacillin sodium 20 mg/ml
Glukoza 5% 1135
Nieokreślona niezgodność Niekompatybilny
Injekcje Foscarnet sodium
Glukoza 30% 3662
Zgodny
Injekcje Foscarnet sodium 24 mg/ml
Injekcje Oxacillin sodium 20 mg/ml
Chlorek sodu 0,9% 1135
Zgodny
Injekcje Foscarnet sodium 24 mg/ml
Injekcje Penicillin G potassium 0.1 MUI/ml
Żaden 73
Natychmiastowe opady Niekompatybilny
Injekcje Foscarnet sodium 24 mg/ml
Injekcje Pentamidine isetionate 6 mg/ml
Żaden 73
Natychmiastowe opady Niekompatybilny
Injekcje Foscarnet sodium 24 mg/ml
Injekcje Pentamidine isetionate 6 mg/ml
Glukoza 5% 1135
Nieokreślona niezgodność Niekompatybilny
Injekcje Foscarnet sodium
Injekcje Pentamidine isetionate
3662
Natychmiastowe opady Niekompatybilny
Injekcje Foscarnet sodium 24 mg/ml
Injekcje Pentamidine isetionate 6 mg/ml
Chlorek sodu 0,9% 1135
Natychmiastowe opady Niekompatybilny
Injekcje Foscarnet sodium 24 mg/ml
Injekcje Phenytoin sodium 50 mg/ml
Żaden 73
Zgodny
Injekcje Foscarnet sodium 24 mg/ml
Injekcje Piperacillin sodium 80 mg/ml
Żaden 73
Natychmiastowe zmętnienie Niekompatybilny
Injekcje Foscarnet sodium 24 mg/ml
Injekcje Prochlorperazine edysilate 5 mg/ml
Żaden 73
Produkcja pęcherzyków gazu Niekompatybilny
Injekcje Foscarnet sodium 24 mg/ml
Injekcje Promethazine hydrochloride 50 mg/ml
Żaden 73
Zgodny
Injekcje Foscarnet sodium 24 mg/ml
Injekcje Ranitidine hydrochloride 2 mg/ml
Chlorek sodu 0,9% 1135
Zgodny
Injekcje Foscarnet sodium 24 mg/ml
Injekcje Ranitidine hydrochloride 2 mg/ml
Glukoza 5% 1135
Zgodny
Injekcje Foscarnet sodium 24 mg/ml
Injekcje Ticarcillin / clavulanic acid 100 mg/ml
Chlorek sodu 0,9% 1135
Zgodny
Injekcje Foscarnet sodium 24 mg/ml
Injekcje Ticarcillin / clavulanic acid 100 mg/ml
Glukoza 5% 1135
Zgodny
Injekcje Foscarnet sodium 24 mg/ml
Injekcje Tobramycin sulfate 40 mg/ml
Żaden 73
Zgodny
Injekcje Foscarnet sodium 24 mg/ml
Injekcje Vancomycin hydrochloride 10 mg/ml
Chlorek sodu 0,9% 132
Nieokreślona niezgodność Niekompatybilny
Injekcje Foscarnet sodium
Injekcje Vancomycin hydrochloride
3662
Zgodny
Injekcje Foscarnet sodium 24 mg/ml
Injekcje Vancomycin hydrochloride 15 mg/ml
Chlorek sodu 0,9% 1135
Zgodny
Injekcje Foscarnet sodium 24 mg/ml
Injekcje Vancomycin hydrochloride 15 mg/ml
Glukoza 5% 1135
Natychmiastowe opady Niekompatybilny
Injekcje Foscarnet sodium 24 mg/ml
Injekcje Vancomycin hydrochloride 20 mg/ml
Żaden 73

  Mentions Légales