Última actualización :
31/03/2026
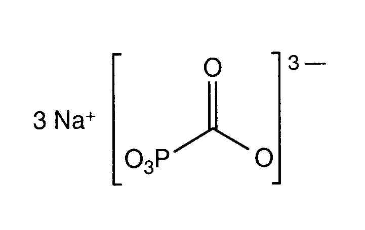
Antiviral   Foscarnet sodium  
Inyectables
Estabilidad en solucion Estabilidad en mezcla Factores que influyen sobre la estabilidad Compatibilidades método de inyección Bibliografía pdf
   Estructura química  

Nombre comercial   Nombre comercial     

Los nombres comerciales son orientativos y los excipientes de la formulación pueden ser distintos dependiendo del país y del laboratorio fabricante.

Foscarnet Argentina, Chile, Colombia, Ecuador, España, Estados Unidos de América, Marruecos, México, Portugal
Foscavir Alemania, Australia, Austria, Bélgica, España, Estados Unidos de América, Francia, Gran Bretaña, Grecia, Hungría, Italia, Luxemburgo, Nueva Zelanda, Países Bajos, Suecia, Suiza
Compatibilidades   Inyectables   Compatibilidades : Foscarnet sodium              
Esta pantalla muestra las compatibilidades o incompatibilidades, así como el tipo de incompatibilidad (precipitación, cambio de color, modificación de una emulsión, etc). Las compatibilidades que se recogen aquí son fundamentalmente físicas, mostrando raramente la estabilidad química de la molécula. La evaluación de estas mezclas se estudió con el fin de de comprobar la posibilidad de administración en Y al paciente. Estos datos no pueden utilizarse en el caso de la preparación de mezclas dentro de bolsas o jeringas. Este tipo de información está disponible en la pantalla “Estabilidad en mezcla”.
Molécula Solvente Bibliografía
Incompatibilidad no especificada Incompatible
Inyectables Foscarnet sodium
Inyectables Aciclovir sodium
3595
Precipitación inmediata Incompatible
Inyectables Foscarnet sodium 24 mg/ml
Inyectables Aciclovir sodium 7 mg/ml
Glucosa 5% 1135
Precipitación inmediata Incompatible
Inyectables Foscarnet sodium 24 mg/ml
Inyectables Aciclovir sodium 7 mg/ml
Cloruro de sodio 0,9% 1135
Incompatibilidad no especificada Incompatible
Inyectables Foscarnet sodium
Inyectables Aciclovir sodium
3662
Precipitación inmediata Incompatible
Inyectables Foscarnet sodium 24 mg/ml
Inyectables Aciclovir sodium 10 mg/ml
Ninguno 73
Compatible
Inyectables Foscarnet sodium 24 mg/ml
Inyectables Aldesleukin 0.0338 MUI/ml
Glucosa 5% 36
Compatible
Inyectables Foscarnet sodium 24 mg/ml
Inyectables Amikacin sulfate 20 mg/ml
Ninguno 73
Compatible
Inyectables Foscarnet sodium 24 mg/ml
Inyectables Aminophylline 25 mg/ml
Ninguno 73
Turbidez inmediata Incompatible
Inyectables Foscarnet sodium 24 mg/ml
Inyectables Amphotericin B 0.6 mg/ml
Glucosa 5% 1135
Incompatibilidad no especificada Incompatible
Inyectables Foscarnet sodium
Inyectables Amphotericin B
3662
Precipitación inmediata Incompatible
Inyectables Foscarnet sodium 24 mg/ml
Inyectables Amphotericin B 5 mg/ml
Ninguno 73
Compatible
Inyectables Foscarnet sodium 24 mg/ml
Inyectables Ampicillin sodium 20 mg/ml
Ninguno 73
Compatible
Inyectables Foscarnet sodium 24 mg/ml
Inyectables Aztreonam 40 mg/ml
Cloruro de sodio 0,9% 1135
Compatible
Inyectables Foscarnet sodium 24 mg/ml
Inyectables Aztreonam 40 mg/ml
Glucosa 5% 1135
Compatible
Inyectables Foscarnet sodium 24 mg/ml
Inyectables Aztreonam 40 mg/ml
Ninguno 73
Incompatibilidad no especificada Incompatible
Inyectables Foscarnet sodium
Inyectables Calcium chloride
3662
Incompatibilidad no especificada Incompatible
Inyectables Foscarnet sodium
Inyectables Calcium glucoheptonate
3662
Incompatibilidad no especificada Incompatible
Inyectables Foscarnet sodium
Inyectables Calcium gluconate
3662
Compatible
Inyectables Foscarnet sodium 24 mg/ml
Inyectables Cefazolin sodium 40 mg/ml
Ninguno 73
Compatible
Inyectables Foscarnet sodium 24 mg/ml
Inyectables Cefoperazone sodium 40 mg/ml
Ninguno 73
Compatible
Inyectables Foscarnet sodium 24 mg/ml
Inyectables Cefoxitin sodium 40 mg/ml
Ninguno 73
Compatible
Inyectables Foscarnet sodium 24 mg/ml
Inyectables Ceftazidime 20 mg/ml
Glucosa 5% 1135
Compatible
Inyectables Foscarnet sodium 24 mg/ml
Inyectables Ceftazidime 20 mg/ml
Ninguno 73
Compatible
Inyectables Foscarnet sodium 24 mg/ml
Inyectables Ceftazidime 20 mg/ml
Cloruro de sodio 0,9% 1135
Compatible
Inyectables Foscarnet sodium
Inyectables Ceftazidime
3883
Compatible
Inyectables Foscarnet sodium 24 mg/ml
Inyectables Ceftizoxime sodium 40 mg/ml
Ninguno 73
Compatible
Inyectables Foscarnet sodium 24 mg/ml
Inyectables Ceftriaxone disodium 20 mg/ml
Glucosa 5% 1135
Compatible
Inyectables Foscarnet sodium 24 mg/ml
Inyectables Ceftriaxone disodium 20 mg/ml
Cloruro de sodio 0,9% 1135
Compatible
Inyectables Foscarnet sodium 24 mg/ml
Inyectables Cefuroxime sodium 30 mg/ml
Ninguno 73
Compatible
Inyectables Foscarnet sodium 24 mg/ml
Inyectables Chloramphenicol sodium succinate 20 mg/ml
Ninguno 73
Compatible
Inyectables Foscarnet sodium 24 mg/ml
Inyectables Cimetidine hydrochloride 150 mg/ml
Ninguno 73
Compatible
Inyectables Foscarnet sodium 24 mg/ml
Inyectables Clindamycin phosphate 24 mg/ml
Ninguno 73
Compatible
Inyectables Foscarnet sodium 24 mg/ml
Inyectables Clindamycin phosphate 12 mg/ml
Glucosa 5% 1135
Compatible
Inyectables Foscarnet sodium 24 mg/ml
Inyectables Clindamycin phosphate 12 mg/ml
Cloruro de sodio 0,9% 1135
Incompatibilidad no especificada Incompatible
Inyectables Foscarnet sodium
Inyectables Co-trimoxazole
3662
Compatible
Inyectables Foscarnet sodium 24 mg/ml
Inyectables Co-trimoxazole 2,6/0,53 mg/ml
Glucosa 5% 1135
Precipitación inmediata Incompatible
Inyectables Foscarnet sodium 24 mg/ml
Inyectables Co-trimoxazole
Ninguno 73
Compatible
Inyectables Foscarnet sodium 24 mg/ml
Inyectables Defibrotide 8 mg/ml
Cloruro de sodio 0,9% 3728
Compatible
Inyectables Foscarnet sodium 24 mg/ml
Inyectables Dexamethasone sodium phosphate 10 mg/ml
Ninguno 73
Producción de burbujas de gas. Incompatible
Inyectables Foscarnet sodium 24 mg/ml
Inyectables Diazepam 5 mg/ml
Ninguno 73
Producción de burbujas de gas. Incompatible
Inyectables Foscarnet sodium 24 mg/ml
Inyectables Digoxin 250 µg/ml
Ninguno 73
Turbidez inmediata Incompatible
Inyectables Foscarnet sodium 24 mg/ml
Inyectables Diphenhydramine hydrochloride 50 mg/ml
Ninguno 73
Precipitación inmediata Incompatible
Inyectables Foscarnet sodium 24 mg/ml
Inyectables Dobutamine hydrochloride 12.5 mg/ml
Ninguno 73
Compatible
Inyectables Foscarnet sodium 24 mg/ml
Inyectables Dopamine hydrochloride 80 mg/ml
Ninguno 73
Compatible
Inyectables Foscarnet sodium 24 mg/ml
Inyectables Doripenem 5 mg/ml
Glucosa 5% 2262
Compatible
Inyectables Foscarnet sodium 24 mg/ml
Inyectables Doripenem 5 mg/ml
Cloruro de sodio 0,9% 2262
Precipitación inmediata Incompatible
Inyectables Foscarnet sodium 24 mg/ml
Inyectables Droperidol 2.5 mg/ml
Ninguno 73
Compatible
Inyectables Foscarnet sodium 24 mg/ml
Inyectables Erythromycin lactobionate 20 mg/ml
Cloruro de sodio 0,9% 1135
Compatible
Inyectables Foscarnet sodium 24 mg/ml
Inyectables Erythromycin lactobionate 20 mg/ml
Ninguno 73
Compatible
Inyectables Foscarnet sodium 24 mg/ml
Inyectables Fluconazole 2 mg/ml
Cloruro de sodio 0,9% 496
Turbidez inmediata Incompatible
Inyectables Foscarnet sodium 24 mg/ml
Inyectables Folinate calcium 10 mg/ml
Ninguno 73
Compatible
Inyectables Foscarnet sodium 24 mg/ml
Inyectables Furosemide 10 mg/ml
Ninguno 73
Precipitación inmediata Incompatible
Inyectables Foscarnet sodium 24 mg/ml
Inyectables Ganciclovir sodium 50 mg/ml
Ninguno 73
Incompatibilidad no especificada Incompatible
Inyectables Foscarnet sodium
Inyectables Ganciclovir sodium
3662
Compatible
Inyectables Foscarnet sodium 24 mg/ml
Inyectables Gentamicin sulfate 4 mg/ml
Ninguno 73
Compatible
Inyectables Foscarnet sodium 24 mg/ml
Inyectables Gentamicin sulfate 2 mg/ml
Cloruro de sodio 0,9% 1135
Compatible
Inyectables Foscarnet sodium 24 mg/ml
Inyectables Gentamicin sulfate 2 mg/ml
Glucosa 5% 1135
Precipitación inmediata Incompatible
Inyectables Foscarnet sodium 24 mg/ml
Inyectables Haloperidol lactate 5 mg/ml
Ninguno 73
Compatible
Inyectables Foscarnet sodium 24 mg/ml
Inyectables Heparin sodium 100 UI/ml
Cloruro de sodio 0,9% 1135
Compatible
Inyectables Foscarnet sodium 24 mg/ml
Inyectables Heparin sodium 1000 UI/ml
Ninguno 73
Compatible
Inyectables Foscarnet sodium 24 mg/ml
Inyectables Heparin sodium 100 UI/ml
Glucosa 5% 1135
Compatible
Inyectables Foscarnet sodium 24 mg/ml
Inyectables Hydrocortisone sodium succinate 50 mg/ml
Ninguno 73
Compatible
Inyectables Foscarnet sodium 24 mg/ml
Inyectables Hydromorphone hydrochloride 10 mg/ml
Ninguno 73
Compatible
Inyectables Foscarnet sodium 24 mg/ml
Inyectables Hydroxyzine dihydrochloride 50 mg/ml
Ninguno 73
Compatible
Inyectables Foscarnet sodium 24 mg/ml
Inyectables Imipenem - cilastatin sodium 5 mg/ml
Glucosa 5% 1135
Compatible
Inyectables Foscarnet sodium 24 mg/ml
Inyectables Imipenem - cilastatin sodium 10 mg/ml
Ninguno 73
Incompatibilidad no especificada Incompatible
Inyectables Foscarnet sodium
Inyectables Levofolinate calcium
3662
Compatible
Inyectables Foscarnet sodium 24 mg/ml
Inyectables Lorazepam 0,08 mg/ml
Cloruro de sodio 0,9% 1135
Compatible
Inyectables Foscarnet sodium 24 mg/ml
Inyectables Lorazepam 0,08 mg/ml
Glucosa 5% 1135
Producción de burbujas de gas. Incompatible
Inyectables Foscarnet sodium 24 mg/ml
Inyectables Lorazepam 4 mg/ml
Ninguno 73
Compatible
Inyectables Foscarnet sodium 24 mg/ml
Inyectables Meropenem 50 mg/ml
Agua para preparación inyectable 4319
Compatible
Inyectables Foscarnet sodium 24 mg/ml
Inyectables Metoclopramide hydrochloride 2 mg/ml
Cloruro de sodio 0,9% 1135
Compatible
Inyectables Foscarnet sodium 24 mg/ml
Inyectables Metoclopramide hydrochloride 4 mg/ml
Ninguno 73
Compatible
Inyectables Foscarnet sodium 24 mg/ml
Inyectables Metoclopramide hydrochloride 2 mg/ml
Glucosa 5% 1135
Compatible
Inyectables Foscarnet sodium 24 mg/ml
Inyectables Metronidazole 5 mg/ml
Cloruro de sodio 0,9% 1135
Compatible
Inyectables Foscarnet sodium 24 mg/ml
Inyectables Metronidazole 5 mg/ml
Ninguno 73
Producción de burbujas de gas. Incompatible
Inyectables Foscarnet sodium 24 mg/ml
Inyectables Midazolam hydrochloride 5 mg/ml
Ninguno 73
Compatible
Inyectables Foscarnet sodium 24 mg/ml
Inyectables Morphine sulfate 1 mg/ml
Cloruro de sodio 0,9% 1135
Compatible
Inyectables Foscarnet sodium 24 mg/ml
Inyectables Morphine sulfate 15 mg/ml
Ninguno 64
Compatible
Inyectables Foscarnet sodium 24 mg/ml
Inyectables Morphine sulfate 5 mg/ml
Cloruro de sodio 0,9% 64
Compatible
Inyectables Foscarnet sodium 24 mg/ml
Inyectables Morphine sulfate 1 mg/ml
Glucosa 5% 1135
Compatible
Inyectables Foscarnet sodium 24 mg/ml
Inyectables Morphine sulfate 1 mg/ml
Ninguno 73
Compatible
Inyectables Foscarnet sodium 24 mg/ml
Inyectables Nafcillin sodium 20 mg/ml
Glucosa 5% 1135
Compatible
Inyectables Foscarnet sodium 24 mg/ml
Inyectables Nafcillin sodium 20 mg/ml
Cloruro de sodio 0,9% 1135
Compatible
Inyectables Foscarnet sodium 24 mg/ml
Inyectables Oxacillin sodium 40 mg/ml
Ninguno 73
Compatible
Inyectables Foscarnet sodium 24 mg/ml
Inyectables Oxacillin sodium 20 mg/ml
Glucosa 5% 1135
Incompatibilidad no especificada Incompatible
Inyectables Foscarnet sodium
Glucosa 30% 3662
Compatible
Inyectables Foscarnet sodium 24 mg/ml
Inyectables Oxacillin sodium 20 mg/ml
Cloruro de sodio 0,9% 1135
Compatible
Inyectables Foscarnet sodium 24 mg/ml
Inyectables Penicillin G potassium 0.1 MUI/ml
Ninguno 73
Precipitación inmediata Incompatible
Inyectables Foscarnet sodium 24 mg/ml
Inyectables Pentamidine isetionate 6 mg/ml
Ninguno 73
Precipitación inmediata Incompatible
Inyectables Foscarnet sodium 24 mg/ml
Inyectables Pentamidine isetionate 6 mg/ml
Glucosa 5% 1135
Incompatibilidad no especificada Incompatible
Inyectables Foscarnet sodium
Inyectables Pentamidine isetionate
3662
Precipitación inmediata Incompatible
Inyectables Foscarnet sodium 24 mg/ml
Inyectables Pentamidine isetionate 6 mg/ml
Cloruro de sodio 0,9% 1135
Precipitación inmediata Incompatible
Inyectables Foscarnet sodium 24 mg/ml
Inyectables Phenytoin sodium 50 mg/ml
Ninguno 73
Compatible
Inyectables Foscarnet sodium 24 mg/ml
Inyectables Piperacillin sodium 80 mg/ml
Ninguno 73
Turbidez inmediata Incompatible
Inyectables Foscarnet sodium 24 mg/ml
Inyectables Prochlorperazine edysilate 5 mg/ml
Ninguno 73
Producción de burbujas de gas. Incompatible
Inyectables Foscarnet sodium 24 mg/ml
Inyectables Promethazine hydrochloride 50 mg/ml
Ninguno 73
Compatible
Inyectables Foscarnet sodium 24 mg/ml
Inyectables Ranitidine hydrochloride 2 mg/ml
Cloruro de sodio 0,9% 1135
Compatible
Inyectables Foscarnet sodium 24 mg/ml
Inyectables Ranitidine hydrochloride 2 mg/ml
Glucosa 5% 1135
Compatible
Inyectables Foscarnet sodium 24 mg/ml
Inyectables Ticarcillin / clavulanic acid 100 mg/ml
Cloruro de sodio 0,9% 1135
Compatible
Inyectables Foscarnet sodium 24 mg/ml
Inyectables Ticarcillin / clavulanic acid 100 mg/ml
Glucosa 5% 1135
Compatible
Inyectables Foscarnet sodium 24 mg/ml
Inyectables Tobramycin sulfate 40 mg/ml
Ninguno 73
Compatible
Inyectables Foscarnet sodium 24 mg/ml
Inyectables Vancomycin hydrochloride 10 mg/ml
Cloruro de sodio 0,9% 132
Incompatibilidad no especificada Incompatible
Inyectables Foscarnet sodium
Inyectables Vancomycin hydrochloride
3662
Compatible
Inyectables Foscarnet sodium 24 mg/ml
Inyectables Vancomycin hydrochloride 15 mg/ml
Cloruro de sodio 0,9% 1135
Compatible
Inyectables Foscarnet sodium 24 mg/ml
Inyectables Vancomycin hydrochloride 15 mg/ml
Glucosa 5% 1135
Precipitación inmediata Incompatible
Inyectables Foscarnet sodium 24 mg/ml
Inyectables Vancomycin hydrochloride 20 mg/ml
Ninguno 73

  Mentions Légales