Viimeisin päivitys :
31/03/2026
Viruslääkkeet   Foscarnet sodium  
Injektioneste
Stabilius liuoksessa Stabilius seoksissa Tekijät, jotka vaikuttavat stabiliuteen Yhteensopivuus Antotapa Viitteet pdf
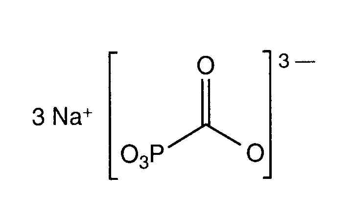
   Kemiallinen rakenne  

Kauppanimi   Kauppanimi     

Trade names are indicative and excipients composition can be different depending on the country and manufacturers

Foscarnet Argentiina, Chile, Ecuador, Espanja, Kolumbia, Marokko, Meksiko, Portugali, Yhdysvallat
Foscavir Australia, Belgia, Espanja, Hollanti, Iso-Britannia, Italia, Itävalta, Kreikka, Luxemburg, New Zealand, Ranska, Ruotsi, Saksa, Sveitsi, Unkari, Yhdysvallat
Yhteensopivuus   Injektioneste   Yhteensopivuus : Foscarnet sodium              
Tämä näyttö osoittaa yhteensopivuuden tai yhteensopimattomuuden yhteensopimattomuuden tyypin kanssa (saostuminen, värinmuutos, emulsiomuutos jne.). Tässä esitetty yhteensopivuus on useimmissa tapauksissa vain fysikaalinen, ja kunkin molekyylin kemiallista stabiilisuutta arvioidaan harvoin. Näiden seosten arviointia tutkittiin mahdollisuuden antaa Y-kohta potilaalle. Näitä tietoja ei voida käyttää seosten valmistamiseen etukäteen pusseissa tai ruiskuissa. Tämäntyyppiset tiedot ovat saatavilla "Stabiilisuus seoksessa" -näytössä.
Yhdiste Liuotin Viitteet
Määrittelemätön yhteensopimattomuus yhteensopimaton
Injektioneste Foscarnet sodium
Injektioneste Aciclovir sodium
3595
Välittömät sateet yhteensopimaton
Injektioneste Foscarnet sodium 24 mg/ml
Injektioneste Aciclovir sodium 7 mg/ml
Glukoosi 5% 1135
Välittömät sateet yhteensopimaton
Injektioneste Foscarnet sodium 24 mg/ml
Injektioneste Aciclovir sodium 7 mg/ml
Natriumkloridi 0,9% 1135
Määrittelemätön yhteensopimattomuus yhteensopimaton
Injektioneste Foscarnet sodium
Injektioneste Aciclovir sodium
3662
Välittömät sateet yhteensopimaton
Injektioneste Foscarnet sodium 24 mg/ml
Injektioneste Aciclovir sodium 10 mg/ml
Ei mikään 73
Yhteensopiva
Injektioneste Foscarnet sodium 24 mg/ml
Injektioneste Aldesleukin 0.0338 MUI/ml
Glukoosi 5% 36
Yhteensopiva
Injektioneste Foscarnet sodium 24 mg/ml
Injektioneste Amikacin sulfate 20 mg/ml
Ei mikään 73
Yhteensopiva
Injektioneste Foscarnet sodium 24 mg/ml
Injektioneste Aminophylline 25 mg/ml
Ei mikään 73
Välitön sameus yhteensopimaton
Injektioneste Foscarnet sodium 24 mg/ml
Injektioneste Amphotericin B 0.6 mg/ml
Glukoosi 5% 1135
Määrittelemätön yhteensopimattomuus yhteensopimaton
Injektioneste Foscarnet sodium
Injektioneste Amphotericin B
3662
Välittömät sateet yhteensopimaton
Injektioneste Foscarnet sodium 24 mg/ml
Injektioneste Amphotericin B 5 mg/ml
Ei mikään 73
Yhteensopiva
Injektioneste Foscarnet sodium 24 mg/ml
Injektioneste Ampicillin sodium 20 mg/ml
Ei mikään 73
Yhteensopiva
Injektioneste Foscarnet sodium 24 mg/ml
Injektioneste Aztreonam 40 mg/ml
Natriumkloridi 0,9% 1135
Yhteensopiva
Injektioneste Foscarnet sodium 24 mg/ml
Injektioneste Aztreonam 40 mg/ml
Glukoosi 5% 1135
Yhteensopiva
Injektioneste Foscarnet sodium 24 mg/ml
Injektioneste Aztreonam 40 mg/ml
Ei mikään 73
Määrittelemätön yhteensopimattomuus yhteensopimaton
Injektioneste Foscarnet sodium
Injektioneste Calcium chloride
3662
Määrittelemätön yhteensopimattomuus yhteensopimaton
Injektioneste Foscarnet sodium
Injektioneste Calcium glucoheptonate
3662
Määrittelemätön yhteensopimattomuus yhteensopimaton
Injektioneste Foscarnet sodium
Injektioneste Calcium gluconate
3662
Yhteensopiva
Injektioneste Foscarnet sodium 24 mg/ml
Injektioneste Cefazolin sodium 40 mg/ml
Ei mikään 73
Yhteensopiva
Injektioneste Foscarnet sodium 24 mg/ml
Injektioneste Cefoperazone sodium 40 mg/ml
Ei mikään 73
Yhteensopiva
Injektioneste Foscarnet sodium 24 mg/ml
Injektioneste Cefoxitin sodium 40 mg/ml
Ei mikään 73
Yhteensopiva
Injektioneste Foscarnet sodium 24 mg/ml
Injektioneste Ceftazidime 20 mg/ml
Glukoosi 5% 1135
Yhteensopiva
Injektioneste Foscarnet sodium 24 mg/ml
Injektioneste Ceftazidime 20 mg/ml
Ei mikään 73
Yhteensopiva
Injektioneste Foscarnet sodium 24 mg/ml
Injektioneste Ceftazidime 20 mg/ml
Natriumkloridi 0,9% 1135
Yhteensopiva
Injektioneste Foscarnet sodium
Injektioneste Ceftazidime
3883
Yhteensopiva
Injektioneste Foscarnet sodium 24 mg/ml
Injektioneste Ceftizoxime sodium 40 mg/ml
Ei mikään 73
Yhteensopiva
Injektioneste Foscarnet sodium 24 mg/ml
Injektioneste Ceftriaxone disodium 20 mg/ml
Glukoosi 5% 1135
Yhteensopiva
Injektioneste Foscarnet sodium 24 mg/ml
Injektioneste Ceftriaxone disodium 20 mg/ml
Natriumkloridi 0,9% 1135
Yhteensopiva
Injektioneste Foscarnet sodium 24 mg/ml
Injektioneste Cefuroxime sodium 30 mg/ml
Ei mikään 73
Yhteensopiva
Injektioneste Foscarnet sodium 24 mg/ml
Injektioneste Chloramphenicol sodium succinate 20 mg/ml
Ei mikään 73
Yhteensopiva
Injektioneste Foscarnet sodium 24 mg/ml
Injektioneste Cimetidine hydrochloride 150 mg/ml
Ei mikään 73
Yhteensopiva
Injektioneste Foscarnet sodium 24 mg/ml
Injektioneste Clindamycin phosphate 24 mg/ml
Ei mikään 73
Yhteensopiva
Injektioneste Foscarnet sodium 24 mg/ml
Injektioneste Clindamycin phosphate 12 mg/ml
Glukoosi 5% 1135
Yhteensopiva
Injektioneste Foscarnet sodium 24 mg/ml
Injektioneste Clindamycin phosphate 12 mg/ml
Natriumkloridi 0,9% 1135
Määrittelemätön yhteensopimattomuus yhteensopimaton
Injektioneste Foscarnet sodium
Injektioneste Co-trimoxazole
3662
Yhteensopiva
Injektioneste Foscarnet sodium 24 mg/ml
Injektioneste Co-trimoxazole 2,6/0,53 mg/ml
Glukoosi 5% 1135
Välittömät sateet yhteensopimaton
Injektioneste Foscarnet sodium 24 mg/ml
Injektioneste Co-trimoxazole
Ei mikään 73
Yhteensopiva
Injektioneste Foscarnet sodium 24 mg/ml
Injektioneste Defibrotide 8 mg/ml
Natriumkloridi 0,9% 3728
Yhteensopiva
Injektioneste Foscarnet sodium 24 mg/ml
Injektioneste Dexamethasone sodium phosphate 10 mg/ml
Ei mikään 73
Kaasukuplien tuotanto yhteensopimaton
Injektioneste Foscarnet sodium 24 mg/ml
Injektioneste Diazepam 5 mg/ml
Ei mikään 73
Kaasukuplien tuotanto yhteensopimaton
Injektioneste Foscarnet sodium 24 mg/ml
Injektioneste Digoxin 250 µg/ml
Ei mikään 73
Välitön sameus yhteensopimaton
Injektioneste Foscarnet sodium 24 mg/ml
Injektioneste Diphenhydramine hydrochloride 50 mg/ml
Ei mikään 73
Välittömät sateet yhteensopimaton
Injektioneste Foscarnet sodium 24 mg/ml
Injektioneste Dobutamine hydrochloride 12.5 mg/ml
Ei mikään 73
Yhteensopiva
Injektioneste Foscarnet sodium 24 mg/ml
Injektioneste Dopamine hydrochloride 80 mg/ml
Ei mikään 73
Yhteensopiva
Injektioneste Foscarnet sodium 24 mg/ml
Injektioneste Doripenem 5 mg/ml
Glukoosi 5% 2262
Yhteensopiva
Injektioneste Foscarnet sodium 24 mg/ml
Injektioneste Doripenem 5 mg/ml
Natriumkloridi 0,9% 2262
Välittömät sateet yhteensopimaton
Injektioneste Foscarnet sodium 24 mg/ml
Injektioneste Droperidol 2.5 mg/ml
Ei mikään 73
Yhteensopiva
Injektioneste Foscarnet sodium 24 mg/ml
Injektioneste Erythromycin lactobionate 20 mg/ml
Natriumkloridi 0,9% 1135
Yhteensopiva
Injektioneste Foscarnet sodium 24 mg/ml
Injektioneste Erythromycin lactobionate 20 mg/ml
Ei mikään 73
Yhteensopiva
Injektioneste Foscarnet sodium 24 mg/ml
Injektioneste Fluconazole 2 mg/ml
Natriumkloridi 0,9% 496
Välitön sameus yhteensopimaton
Injektioneste Foscarnet sodium 24 mg/ml
Injektioneste Folinate calcium 10 mg/ml
Ei mikään 73
Yhteensopiva
Injektioneste Foscarnet sodium 24 mg/ml
Injektioneste Furosemide 10 mg/ml
Ei mikään 73
Välittömät sateet yhteensopimaton
Injektioneste Foscarnet sodium 24 mg/ml
Injektioneste Ganciclovir sodium 50 mg/ml
Ei mikään 73
Määrittelemätön yhteensopimattomuus yhteensopimaton
Injektioneste Foscarnet sodium
Injektioneste Ganciclovir sodium
3662
Yhteensopiva
Injektioneste Foscarnet sodium 24 mg/ml
Injektioneste Gentamicin sulfate 4 mg/ml
Ei mikään 73
Yhteensopiva
Injektioneste Foscarnet sodium 24 mg/ml
Injektioneste Gentamicin sulfate 2 mg/ml
Natriumkloridi 0,9% 1135
Yhteensopiva
Injektioneste Foscarnet sodium 24 mg/ml
Injektioneste Gentamicin sulfate 2 mg/ml
Glukoosi 5% 1135
Välittömät sateet yhteensopimaton
Injektioneste Foscarnet sodium 24 mg/ml
Injektioneste Haloperidol lactate 5 mg/ml
Ei mikään 73
Yhteensopiva
Injektioneste Foscarnet sodium 24 mg/ml
Injektioneste Heparin sodium 100 UI/ml
Natriumkloridi 0,9% 1135
Yhteensopiva
Injektioneste Foscarnet sodium 24 mg/ml
Injektioneste Heparin sodium 1000 UI/ml
Ei mikään 73
Yhteensopiva
Injektioneste Foscarnet sodium 24 mg/ml
Injektioneste Heparin sodium 100 UI/ml
Glukoosi 5% 1135
Yhteensopiva
Injektioneste Foscarnet sodium 24 mg/ml
Injektioneste Hydrocortisone sodium succinate 50 mg/ml
Ei mikään 73
Yhteensopiva
Injektioneste Foscarnet sodium 24 mg/ml
Injektioneste Hydromorphone hydrochloride 10 mg/ml
Ei mikään 73
Yhteensopiva
Injektioneste Foscarnet sodium 24 mg/ml
Injektioneste Hydroxyzine dihydrochloride 50 mg/ml
Ei mikään 73
Yhteensopiva
Injektioneste Foscarnet sodium 24 mg/ml
Injektioneste Imipenem - cilastatin sodium 5 mg/ml
Glukoosi 5% 1135
Yhteensopiva
Injektioneste Foscarnet sodium 24 mg/ml
Injektioneste Imipenem - cilastatin sodium 10 mg/ml
Ei mikään 73
Määrittelemätön yhteensopimattomuus yhteensopimaton
Injektioneste Foscarnet sodium
Injektioneste Levofolinate calcium
3662
Yhteensopiva
Injektioneste Foscarnet sodium 24 mg/ml
Injektioneste Lorazepam 0,08 mg/ml
Natriumkloridi 0,9% 1135
Yhteensopiva
Injektioneste Foscarnet sodium 24 mg/ml
Injektioneste Lorazepam 0,08 mg/ml
Glukoosi 5% 1135
Kaasukuplien tuotanto yhteensopimaton
Injektioneste Foscarnet sodium 24 mg/ml
Injektioneste Lorazepam 4 mg/ml
Ei mikään 73
Yhteensopiva
Injektioneste Foscarnet sodium 24 mg/ml
Injektioneste Meropenem 50 mg/ml
Injektionesteisiin käytettävä vesi 4319
Yhteensopiva
Injektioneste Foscarnet sodium 24 mg/ml
Injektioneste Metoclopramide hydrochloride 2 mg/ml
Natriumkloridi 0,9% 1135
Yhteensopiva
Injektioneste Foscarnet sodium 24 mg/ml
Injektioneste Metoclopramide hydrochloride 4 mg/ml
Ei mikään 73
Yhteensopiva
Injektioneste Foscarnet sodium 24 mg/ml
Injektioneste Metoclopramide hydrochloride 2 mg/ml
Glukoosi 5% 1135
Yhteensopiva
Injektioneste Foscarnet sodium 24 mg/ml
Injektioneste Metronidazole 5 mg/ml
Natriumkloridi 0,9% 1135
Yhteensopiva
Injektioneste Foscarnet sodium 24 mg/ml
Injektioneste Metronidazole 5 mg/ml
Ei mikään 73
Kaasukuplien tuotanto yhteensopimaton
Injektioneste Foscarnet sodium 24 mg/ml
Injektioneste Midazolam hydrochloride 5 mg/ml
Ei mikään 73
Yhteensopiva
Injektioneste Foscarnet sodium 24 mg/ml
Injektioneste Morphine sulfate 1 mg/ml
Natriumkloridi 0,9% 1135
Yhteensopiva
Injektioneste Foscarnet sodium 24 mg/ml
Injektioneste Morphine sulfate 15 mg/ml
Ei mikään 64
Yhteensopiva
Injektioneste Foscarnet sodium 24 mg/ml
Injektioneste Morphine sulfate 5 mg/ml
Natriumkloridi 0,9% 64
Yhteensopiva
Injektioneste Foscarnet sodium 24 mg/ml
Injektioneste Morphine sulfate 1 mg/ml
Glukoosi 5% 1135
Yhteensopiva
Injektioneste Foscarnet sodium 24 mg/ml
Injektioneste Morphine sulfate 1 mg/ml
Ei mikään 73
Yhteensopiva
Injektioneste Foscarnet sodium 24 mg/ml
Injektioneste Nafcillin sodium 20 mg/ml
Glukoosi 5% 1135
Yhteensopiva
Injektioneste Foscarnet sodium 24 mg/ml
Injektioneste Nafcillin sodium 20 mg/ml
Natriumkloridi 0,9% 1135
Yhteensopiva
Injektioneste Foscarnet sodium 24 mg/ml
Injektioneste Oxacillin sodium 40 mg/ml
Ei mikään 73
Yhteensopiva
Injektioneste Foscarnet sodium 24 mg/ml
Injektioneste Oxacillin sodium 20 mg/ml
Glukoosi 5% 1135
Määrittelemätön yhteensopimattomuus yhteensopimaton
Injektioneste Foscarnet sodium
Glukoosi 30% 3662
Yhteensopiva
Injektioneste Foscarnet sodium 24 mg/ml
Injektioneste Oxacillin sodium 20 mg/ml
Natriumkloridi 0,9% 1135
Yhteensopiva
Injektioneste Foscarnet sodium 24 mg/ml
Injektioneste Penicillin G potassium 0.1 MUI/ml
Ei mikään 73
Välittömät sateet yhteensopimaton
Injektioneste Foscarnet sodium 24 mg/ml
Injektioneste Pentamidine isetionate 6 mg/ml
Ei mikään 73
Välittömät sateet yhteensopimaton
Injektioneste Foscarnet sodium 24 mg/ml
Injektioneste Pentamidine isetionate 6 mg/ml
Glukoosi 5% 1135
Määrittelemätön yhteensopimattomuus yhteensopimaton
Injektioneste Foscarnet sodium
Injektioneste Pentamidine isetionate
3662
Välittömät sateet yhteensopimaton
Injektioneste Foscarnet sodium 24 mg/ml
Injektioneste Pentamidine isetionate 6 mg/ml
Natriumkloridi 0,9% 1135
Välittömät sateet yhteensopimaton
Injektioneste Foscarnet sodium 24 mg/ml
Injektioneste Phenytoin sodium 50 mg/ml
Ei mikään 73
Yhteensopiva
Injektioneste Foscarnet sodium 24 mg/ml
Injektioneste Piperacillin sodium 80 mg/ml
Ei mikään 73
Välitön sameus yhteensopimaton
Injektioneste Foscarnet sodium 24 mg/ml
Injektioneste Prochlorperazine edysilate 5 mg/ml
Ei mikään 73
Kaasukuplien tuotanto yhteensopimaton
Injektioneste Foscarnet sodium 24 mg/ml
Injektioneste Promethazine hydrochloride 50 mg/ml
Ei mikään 73
Yhteensopiva
Injektioneste Foscarnet sodium 24 mg/ml
Injektioneste Ranitidine hydrochloride 2 mg/ml
Natriumkloridi 0,9% 1135
Yhteensopiva
Injektioneste Foscarnet sodium 24 mg/ml
Injektioneste Ranitidine hydrochloride 2 mg/ml
Glukoosi 5% 1135
Yhteensopiva
Injektioneste Foscarnet sodium 24 mg/ml
Injektioneste Ticarcillin / clavulanic acid 100 mg/ml
Natriumkloridi 0,9% 1135
Yhteensopiva
Injektioneste Foscarnet sodium 24 mg/ml
Injektioneste Ticarcillin / clavulanic acid 100 mg/ml
Glukoosi 5% 1135
Yhteensopiva
Injektioneste Foscarnet sodium 24 mg/ml
Injektioneste Tobramycin sulfate 40 mg/ml
Ei mikään 73
Yhteensopiva
Injektioneste Foscarnet sodium 24 mg/ml
Injektioneste Vancomycin hydrochloride 10 mg/ml
Natriumkloridi 0,9% 132
Määrittelemätön yhteensopimattomuus yhteensopimaton
Injektioneste Foscarnet sodium
Injektioneste Vancomycin hydrochloride
3662
Yhteensopiva
Injektioneste Foscarnet sodium 24 mg/ml
Injektioneste Vancomycin hydrochloride 15 mg/ml
Natriumkloridi 0,9% 1135
Yhteensopiva
Injektioneste Foscarnet sodium 24 mg/ml
Injektioneste Vancomycin hydrochloride 15 mg/ml
Glukoosi 5% 1135
Välittömät sateet yhteensopimaton
Injektioneste Foscarnet sodium 24 mg/ml
Injektioneste Vancomycin hydrochloride 20 mg/ml
Ei mikään 73

  Mentions Légales