Τελευταία ενημέρωση :
31/03/2026
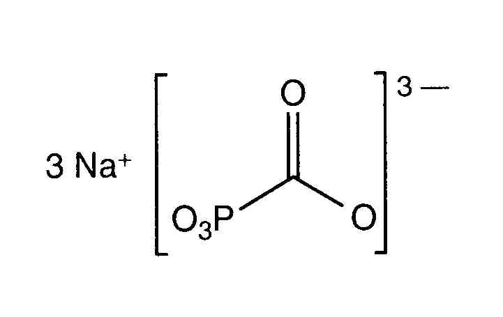
Αντιιικό   Foscarnet sodium  
Ενέσιμο
Σταθερότητα διαλυμάτων Σταθερότητα σε μίγματα Παράγοντας που επηρεάζει τη σταθερότητα Συμβατότητες Τρόπος χορήγησης Βιβλιογραφία pdf
   χημική δομή  

Εμπορική ονομασία   Εμπορική ονομασία     

Οι εμπορικές ονομασίες είναι ενδεικτικές και η σύνθεση των εκδόχων μπορεί να διαφέρει ανάλογα με τη χώρα και τα εργαστήρια

Foscarnet Αργεντινή, Εκουαδόρ, Η.Π.Α., Ισπανία, Κολομβία, Μεξικό, Περού, Πορτογαλία, Χιλή
Foscavir Αυστραλία, Αυστρία, Βέλγιο, Γαλλία, Γερμανία, Ελβετία, Ελλάδα, Η.Π.Α., Ισπανία, Ιταλία, Λουξεμβούργο, Μεγάλη Βρετανία, νέα Ζηλανδία, Ολλανδία, Ουγγαρία, Σουηδία
Συμβατότητες    Ενέσιμο   Συμβατότητες : Foscarnet sodium              
Σε αυτή την οθόνη εμφανίζονται οι συμβατότητες ή ασυμβατότητες. Σε αυτή την περίπτωση εμφανίζονται το είδος της ασυμβατότητας (ίζημα, αλλαγή χρώματος, μεταβολή γαλακτώματος, κλπ). Οι συμβατότητες που παρουσιάζονται εδώ είναι κυρίως φυσικές, ενώ η χημική σταθερότητα κάθε μορίου σπάνια περιλαμβάνεται. Η αξιολόγηση αυτών των μιγμάτων μελετήθηκε προκειμένου να εκτιμηθεί η πιθανότητα χορήγησης στον ασθενή στο Υ κέντρο. Τα δεδομένα αυτά δεν μπορούν να χρησιμοποιηθούν για την εκ των προτέρων δημιουργία μιγμάτων σε ασκούς ή σύριγγες. Αυτό το είδος πληροφορίας υπάρχει και μπορεί να αναζητηθεί στην οθόνη «Σταθερότητα σε μίγμα».
Συστατικό Διαλυτικό Βιβλιογραφία
Απροσδιόριστη ασυμβατότητα Ασύμβατες
Ενέσιμο Foscarnet sodium
Ενέσιμο Aciclovir sodium
3595
Άμεση βροχόπτωση Ασύμβατες
Ενέσιμο Foscarnet sodium 24 mg/ml
Ενέσιμο Aciclovir sodium 7 mg/ml
Γλυκόζη 5% 1135
Άμεση βροχόπτωση Ασύμβατες
Ενέσιμο Foscarnet sodium 24 mg/ml
Ενέσιμο Aciclovir sodium 7 mg/ml
Χλωριούχο νάτριο 0,9% 1135
Απροσδιόριστη ασυμβατότητα Ασύμβατες
Ενέσιμο Foscarnet sodium
Ενέσιμο Aciclovir sodium
3662
Άμεση βροχόπτωση Ασύμβατες
Ενέσιμο Foscarnet sodium 24 mg/ml
Ενέσιμο Aciclovir sodium 10 mg/ml
Ουδέν 73
Σύμφωνος
Ενέσιμο Foscarnet sodium 24 mg/ml
Ενέσιμο Aldesleukin 0.0338 MUI/ml
Γλυκόζη 5% 36
Σύμφωνος
Ενέσιμο Foscarnet sodium 24 mg/ml
Ενέσιμο Amikacin sulfate 20 mg/ml
Ουδέν 73
Σύμφωνος
Ενέσιμο Foscarnet sodium 24 mg/ml
Ενέσιμο Aminophylline 25 mg/ml
Ουδέν 73
Άμεση θολότητα Ασύμβατες
Ενέσιμο Foscarnet sodium 24 mg/ml
Ενέσιμο Amphotericin B 0.6 mg/ml
Γλυκόζη 5% 1135
Απροσδιόριστη ασυμβατότητα Ασύμβατες
Ενέσιμο Foscarnet sodium
Ενέσιμο Amphotericin B
3662
Άμεση βροχόπτωση Ασύμβατες
Ενέσιμο Foscarnet sodium 24 mg/ml
Ενέσιμο Amphotericin B 5 mg/ml
Ουδέν 73
Σύμφωνος
Ενέσιμο Foscarnet sodium 24 mg/ml
Ενέσιμο Ampicillin sodium 20 mg/ml
Ουδέν 73
Σύμφωνος
Ενέσιμο Foscarnet sodium 24 mg/ml
Ενέσιμο Aztreonam 40 mg/ml
Χλωριούχο νάτριο 0,9% 1135
Σύμφωνος
Ενέσιμο Foscarnet sodium 24 mg/ml
Ενέσιμο Aztreonam 40 mg/ml
Γλυκόζη 5% 1135
Σύμφωνος
Ενέσιμο Foscarnet sodium 24 mg/ml
Ενέσιμο Aztreonam 40 mg/ml
Ουδέν 73
Απροσδιόριστη ασυμβατότητα Ασύμβατες
Ενέσιμο Foscarnet sodium
Ενέσιμο Calcium chloride
3662
Απροσδιόριστη ασυμβατότητα Ασύμβατες
Ενέσιμο Foscarnet sodium
Ενέσιμο Calcium glucoheptonate
3662
Απροσδιόριστη ασυμβατότητα Ασύμβατες
Ενέσιμο Foscarnet sodium
Ενέσιμο Calcium gluconate
3662
Σύμφωνος
Ενέσιμο Foscarnet sodium 24 mg/ml
Ενέσιμο Cefazolin sodium 40 mg/ml
Ουδέν 73
Σύμφωνος
Ενέσιμο Foscarnet sodium 24 mg/ml
Ενέσιμο Cefoperazone sodium 40 mg/ml
Ουδέν 73
Σύμφωνος
Ενέσιμο Foscarnet sodium 24 mg/ml
Ενέσιμο Cefoxitin sodium 40 mg/ml
Ουδέν 73
Σύμφωνος
Ενέσιμο Foscarnet sodium 24 mg/ml
Ενέσιμο Ceftazidime 20 mg/ml
Γλυκόζη 5% 1135
Σύμφωνος
Ενέσιμο Foscarnet sodium 24 mg/ml
Ενέσιμο Ceftazidime 20 mg/ml
Ουδέν 73
Σύμφωνος
Ενέσιμο Foscarnet sodium 24 mg/ml
Ενέσιμο Ceftazidime 20 mg/ml
Χλωριούχο νάτριο 0,9% 1135
Σύμφωνος
Ενέσιμο Foscarnet sodium
Ενέσιμο Ceftazidime
3883
Σύμφωνος
Ενέσιμο Foscarnet sodium 24 mg/ml
Ενέσιμο Ceftizoxime sodium 40 mg/ml
Ουδέν 73
Σύμφωνος
Ενέσιμο Foscarnet sodium 24 mg/ml
Ενέσιμο Ceftriaxone disodium 20 mg/ml
Γλυκόζη 5% 1135
Σύμφωνος
Ενέσιμο Foscarnet sodium 24 mg/ml
Ενέσιμο Ceftriaxone disodium 20 mg/ml
Χλωριούχο νάτριο 0,9% 1135
Σύμφωνος
Ενέσιμο Foscarnet sodium 24 mg/ml
Ενέσιμο Cefuroxime sodium 30 mg/ml
Ουδέν 73
Σύμφωνος
Ενέσιμο Foscarnet sodium 24 mg/ml
Ενέσιμο Chloramphenicol sodium succinate 20 mg/ml
Ουδέν 73
Σύμφωνος
Ενέσιμο Foscarnet sodium 24 mg/ml
Ενέσιμο Cimetidine hydrochloride 150 mg/ml
Ουδέν 73
Σύμφωνος
Ενέσιμο Foscarnet sodium 24 mg/ml
Ενέσιμο Clindamycin phosphate 24 mg/ml
Ουδέν 73
Σύμφωνος
Ενέσιμο Foscarnet sodium 24 mg/ml
Ενέσιμο Clindamycin phosphate 12 mg/ml
Γλυκόζη 5% 1135
Σύμφωνος
Ενέσιμο Foscarnet sodium 24 mg/ml
Ενέσιμο Clindamycin phosphate 12 mg/ml
Χλωριούχο νάτριο 0,9% 1135
Απροσδιόριστη ασυμβατότητα Ασύμβατες
Ενέσιμο Foscarnet sodium
Ενέσιμο Co-trimoxazole
3662
Σύμφωνος
Ενέσιμο Foscarnet sodium 24 mg/ml
Ενέσιμο Co-trimoxazole 2,6/0,53 mg/ml
Γλυκόζη 5% 1135
Άμεση βροχόπτωση Ασύμβατες
Ενέσιμο Foscarnet sodium 24 mg/ml
Ενέσιμο Co-trimoxazole
Ουδέν 73
Σύμφωνος
Ενέσιμο Foscarnet sodium 24 mg/ml
Ενέσιμο Defibrotide 8 mg/ml
Χλωριούχο νάτριο 0,9% 3728
Σύμφωνος
Ενέσιμο Foscarnet sodium 24 mg/ml
Ενέσιμο Dexamethasone sodium phosphate 10 mg/ml
Ουδέν 73
Παραγωγή φυσαλίδων αερίου Ασύμβατες
Ενέσιμο Foscarnet sodium 24 mg/ml
Ενέσιμο Diazepam 5 mg/ml
Ουδέν 73
Παραγωγή φυσαλίδων αερίου Ασύμβατες
Ενέσιμο Foscarnet sodium 24 mg/ml
Ενέσιμο Digoxin 250 µg/ml
Ουδέν 73
Άμεση θολότητα Ασύμβατες
Ενέσιμο Foscarnet sodium 24 mg/ml
Ενέσιμο Diphenhydramine hydrochloride 50 mg/ml
Ουδέν 73
Άμεση βροχόπτωση Ασύμβατες
Ενέσιμο Foscarnet sodium 24 mg/ml
Ενέσιμο Dobutamine hydrochloride 12.5 mg/ml
Ουδέν 73
Σύμφωνος
Ενέσιμο Foscarnet sodium 24 mg/ml
Ενέσιμο Dopamine hydrochloride 80 mg/ml
Ουδέν 73
Σύμφωνος
Ενέσιμο Foscarnet sodium 24 mg/ml
Ενέσιμο Doripenem 5 mg/ml
Γλυκόζη 5% 2262
Σύμφωνος
Ενέσιμο Foscarnet sodium 24 mg/ml
Ενέσιμο Doripenem 5 mg/ml
Χλωριούχο νάτριο 0,9% 2262
Άμεση βροχόπτωση Ασύμβατες
Ενέσιμο Foscarnet sodium 24 mg/ml
Ενέσιμο Droperidol 2.5 mg/ml
Ουδέν 73
Σύμφωνος
Ενέσιμο Foscarnet sodium 24 mg/ml
Ενέσιμο Erythromycin lactobionate 20 mg/ml
Χλωριούχο νάτριο 0,9% 1135
Σύμφωνος
Ενέσιμο Foscarnet sodium 24 mg/ml
Ενέσιμο Erythromycin lactobionate 20 mg/ml
Ουδέν 73
Σύμφωνος
Ενέσιμο Foscarnet sodium 24 mg/ml
Ενέσιμο Fluconazole 2 mg/ml
Χλωριούχο νάτριο 0,9% 496
Άμεση θολότητα Ασύμβατες
Ενέσιμο Foscarnet sodium 24 mg/ml
Ενέσιμο Folinate calcium 10 mg/ml
Ουδέν 73
Σύμφωνος
Ενέσιμο Foscarnet sodium 24 mg/ml
Ενέσιμο Furosemide 10 mg/ml
Ουδέν 73
Άμεση βροχόπτωση Ασύμβατες
Ενέσιμο Foscarnet sodium 24 mg/ml
Ενέσιμο Ganciclovir sodium 50 mg/ml
Ουδέν 73
Απροσδιόριστη ασυμβατότητα Ασύμβατες
Ενέσιμο Foscarnet sodium
Ενέσιμο Ganciclovir sodium
3662
Σύμφωνος
Ενέσιμο Foscarnet sodium 24 mg/ml
Ενέσιμο Gentamicin sulfate 4 mg/ml
Ουδέν 73
Σύμφωνος
Ενέσιμο Foscarnet sodium 24 mg/ml
Ενέσιμο Gentamicin sulfate 2 mg/ml
Χλωριούχο νάτριο 0,9% 1135
Σύμφωνος
Ενέσιμο Foscarnet sodium 24 mg/ml
Ενέσιμο Gentamicin sulfate 2 mg/ml
Γλυκόζη 5% 1135
Άμεση βροχόπτωση Ασύμβατες
Ενέσιμο Foscarnet sodium 24 mg/ml
Ενέσιμο Haloperidol lactate 5 mg/ml
Ουδέν 73
Σύμφωνος
Ενέσιμο Foscarnet sodium 24 mg/ml
Ενέσιμο Heparin sodium 100 UI/ml
Χλωριούχο νάτριο 0,9% 1135
Σύμφωνος
Ενέσιμο Foscarnet sodium 24 mg/ml
Ενέσιμο Heparin sodium 1000 UI/ml
Ουδέν 73
Σύμφωνος
Ενέσιμο Foscarnet sodium 24 mg/ml
Ενέσιμο Heparin sodium 100 UI/ml
Γλυκόζη 5% 1135
Σύμφωνος
Ενέσιμο Foscarnet sodium 24 mg/ml
Ενέσιμο Hydrocortisone sodium succinate 50 mg/ml
Ουδέν 73
Σύμφωνος
Ενέσιμο Foscarnet sodium 24 mg/ml
Ενέσιμο Hydromorphone hydrochloride 10 mg/ml
Ουδέν 73
Σύμφωνος
Ενέσιμο Foscarnet sodium 24 mg/ml
Ενέσιμο Hydroxyzine dihydrochloride 50 mg/ml
Ουδέν 73
Σύμφωνος
Ενέσιμο Foscarnet sodium 24 mg/ml
Ενέσιμο Imipenem - cilastatin sodium 5 mg/ml
Γλυκόζη 5% 1135
Σύμφωνος
Ενέσιμο Foscarnet sodium 24 mg/ml
Ενέσιμο Imipenem - cilastatin sodium 10 mg/ml
Ουδέν 73
Απροσδιόριστη ασυμβατότητα Ασύμβατες
Ενέσιμο Foscarnet sodium
Ενέσιμο Levofolinate calcium
3662
Σύμφωνος
Ενέσιμο Foscarnet sodium 24 mg/ml
Ενέσιμο Lorazepam 0,08 mg/ml
Χλωριούχο νάτριο 0,9% 1135
Σύμφωνος
Ενέσιμο Foscarnet sodium 24 mg/ml
Ενέσιμο Lorazepam 0,08 mg/ml
Γλυκόζη 5% 1135
Παραγωγή φυσαλίδων αερίου Ασύμβατες
Ενέσιμο Foscarnet sodium 24 mg/ml
Ενέσιμο Lorazepam 4 mg/ml
Ουδέν 73
Σύμφωνος
Ενέσιμο Foscarnet sodium 24 mg/ml
Ενέσιμο Meropenem 50 mg/ml
Ενέσιμο ύδωρ 4319
Σύμφωνος
Ενέσιμο Foscarnet sodium 24 mg/ml
Ενέσιμο Metoclopramide hydrochloride 2 mg/ml
Χλωριούχο νάτριο 0,9% 1135
Σύμφωνος
Ενέσιμο Foscarnet sodium 24 mg/ml
Ενέσιμο Metoclopramide hydrochloride 4 mg/ml
Ουδέν 73
Σύμφωνος
Ενέσιμο Foscarnet sodium 24 mg/ml
Ενέσιμο Metoclopramide hydrochloride 2 mg/ml
Γλυκόζη 5% 1135
Σύμφωνος
Ενέσιμο Foscarnet sodium 24 mg/ml
Ενέσιμο Metronidazole 5 mg/ml
Χλωριούχο νάτριο 0,9% 1135
Σύμφωνος
Ενέσιμο Foscarnet sodium 24 mg/ml
Ενέσιμο Metronidazole 5 mg/ml
Ουδέν 73
Παραγωγή φυσαλίδων αερίου Ασύμβατες
Ενέσιμο Foscarnet sodium 24 mg/ml
Ενέσιμο Midazolam hydrochloride 5 mg/ml
Ουδέν 73
Σύμφωνος
Ενέσιμο Foscarnet sodium 24 mg/ml
Ενέσιμο Morphine sulfate 1 mg/ml
Χλωριούχο νάτριο 0,9% 1135
Σύμφωνος
Ενέσιμο Foscarnet sodium 24 mg/ml
Ενέσιμο Morphine sulfate 15 mg/ml
Ουδέν 64
Σύμφωνος
Ενέσιμο Foscarnet sodium 24 mg/ml
Ενέσιμο Morphine sulfate 5 mg/ml
Χλωριούχο νάτριο 0,9% 64
Σύμφωνος
Ενέσιμο Foscarnet sodium 24 mg/ml
Ενέσιμο Morphine sulfate 1 mg/ml
Γλυκόζη 5% 1135
Σύμφωνος
Ενέσιμο Foscarnet sodium 24 mg/ml
Ενέσιμο Morphine sulfate 1 mg/ml
Ουδέν 73
Σύμφωνος
Ενέσιμο Foscarnet sodium 24 mg/ml
Ενέσιμο Nafcillin sodium 20 mg/ml
Γλυκόζη 5% 1135
Σύμφωνος
Ενέσιμο Foscarnet sodium 24 mg/ml
Ενέσιμο Nafcillin sodium 20 mg/ml
Χλωριούχο νάτριο 0,9% 1135
Σύμφωνος
Ενέσιμο Foscarnet sodium 24 mg/ml
Ενέσιμο Oxacillin sodium 40 mg/ml
Ουδέν 73
Σύμφωνος
Ενέσιμο Foscarnet sodium 24 mg/ml
Ενέσιμο Oxacillin sodium 20 mg/ml
Γλυκόζη 5% 1135
Απροσδιόριστη ασυμβατότητα Ασύμβατες
Ενέσιμο Foscarnet sodium
Γλυκόζη 30% 3662
Σύμφωνος
Ενέσιμο Foscarnet sodium 24 mg/ml
Ενέσιμο Oxacillin sodium 20 mg/ml
Χλωριούχο νάτριο 0,9% 1135
Σύμφωνος
Ενέσιμο Foscarnet sodium 24 mg/ml
Ενέσιμο Penicillin G potassium 0.1 MUI/ml
Ουδέν 73
Άμεση βροχόπτωση Ασύμβατες
Ενέσιμο Foscarnet sodium 24 mg/ml
Ενέσιμο Pentamidine isetionate 6 mg/ml
Ουδέν 73
Άμεση βροχόπτωση Ασύμβατες
Ενέσιμο Foscarnet sodium 24 mg/ml
Ενέσιμο Pentamidine isetionate 6 mg/ml
Γλυκόζη 5% 1135
Απροσδιόριστη ασυμβατότητα Ασύμβατες
Ενέσιμο Foscarnet sodium
Ενέσιμο Pentamidine isetionate
3662
Άμεση βροχόπτωση Ασύμβατες
Ενέσιμο Foscarnet sodium 24 mg/ml
Ενέσιμο Pentamidine isetionate 6 mg/ml
Χλωριούχο νάτριο 0,9% 1135
Άμεση βροχόπτωση Ασύμβατες
Ενέσιμο Foscarnet sodium 24 mg/ml
Ενέσιμο Phenytoin sodium 50 mg/ml
Ουδέν 73
Σύμφωνος
Ενέσιμο Foscarnet sodium 24 mg/ml
Ενέσιμο Piperacillin sodium 80 mg/ml
Ουδέν 73
Άμεση θολότητα Ασύμβατες
Ενέσιμο Foscarnet sodium 24 mg/ml
Ενέσιμο Prochlorperazine edysilate 5 mg/ml
Ουδέν 73
Παραγωγή φυσαλίδων αερίου Ασύμβατες
Ενέσιμο Foscarnet sodium 24 mg/ml
Ενέσιμο Promethazine hydrochloride 50 mg/ml
Ουδέν 73
Σύμφωνος
Ενέσιμο Foscarnet sodium 24 mg/ml
Ενέσιμο Ranitidine hydrochloride 2 mg/ml
Χλωριούχο νάτριο 0,9% 1135
Σύμφωνος
Ενέσιμο Foscarnet sodium 24 mg/ml
Ενέσιμο Ranitidine hydrochloride 2 mg/ml
Γλυκόζη 5% 1135
Σύμφωνος
Ενέσιμο Foscarnet sodium 24 mg/ml
Ενέσιμο Ticarcillin / clavulanic acid 100 mg/ml
Χλωριούχο νάτριο 0,9% 1135
Σύμφωνος
Ενέσιμο Foscarnet sodium 24 mg/ml
Ενέσιμο Ticarcillin / clavulanic acid 100 mg/ml
Γλυκόζη 5% 1135
Σύμφωνος
Ενέσιμο Foscarnet sodium 24 mg/ml
Ενέσιμο Tobramycin sulfate 40 mg/ml
Ουδέν 73
Σύμφωνος
Ενέσιμο Foscarnet sodium 24 mg/ml
Ενέσιμο Vancomycin hydrochloride 10 mg/ml
Χλωριούχο νάτριο 0,9% 132
Απροσδιόριστη ασυμβατότητα Ασύμβατες
Ενέσιμο Foscarnet sodium
Ενέσιμο Vancomycin hydrochloride
3662
Σύμφωνος
Ενέσιμο Foscarnet sodium 24 mg/ml
Ενέσιμο Vancomycin hydrochloride 15 mg/ml
Χλωριούχο νάτριο 0,9% 1135
Σύμφωνος
Ενέσιμο Foscarnet sodium 24 mg/ml
Ενέσιμο Vancomycin hydrochloride 15 mg/ml
Γλυκόζη 5% 1135
Άμεση βροχόπτωση Ασύμβατες
Ενέσιμο Foscarnet sodium 24 mg/ml
Ενέσιμο Vancomycin hydrochloride 20 mg/ml
Ουδέν 73

  Mentions Légales