Последно актуализиране :
03/02/2026
Противовирусно средство   Foscarnet sodium  
Инжекция/Инжекционен
Стабилност на разтвори Стабилност на смеси Фактори, повлияващи стабилността Съвместимост Път на въвеждане Библиография Pdf
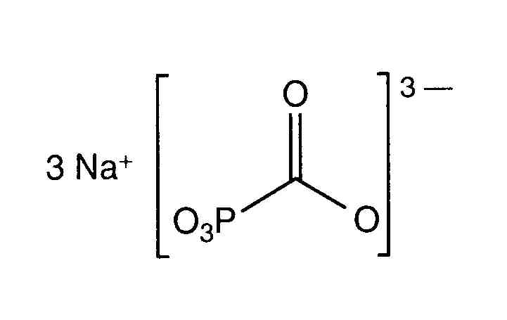
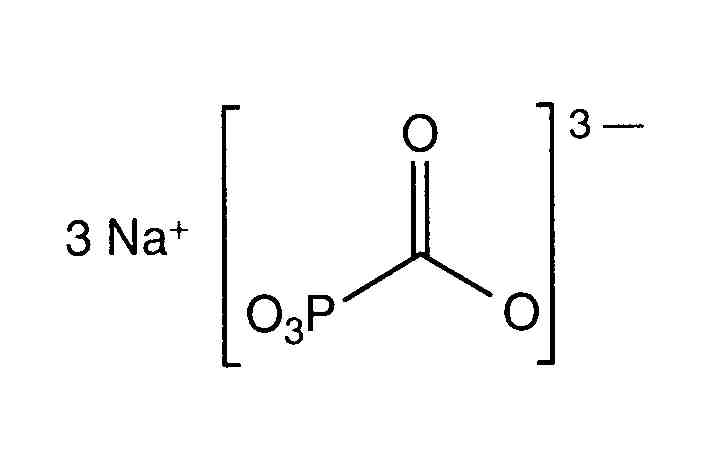
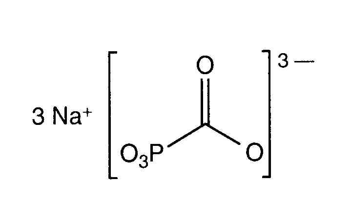
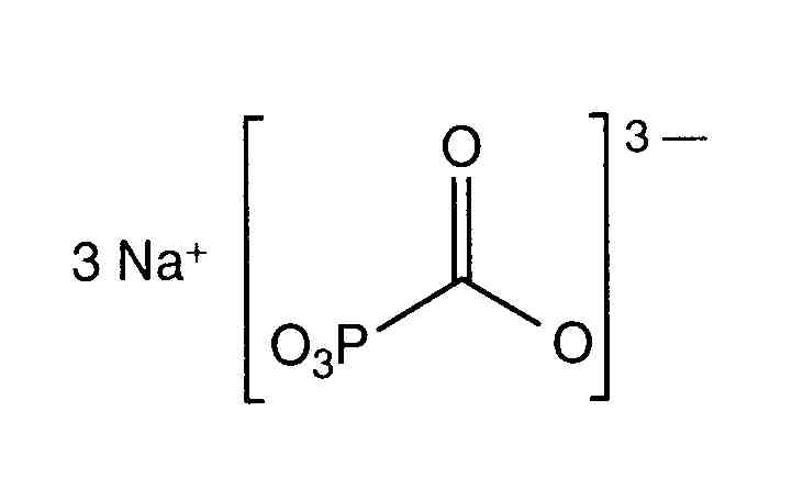
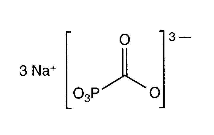
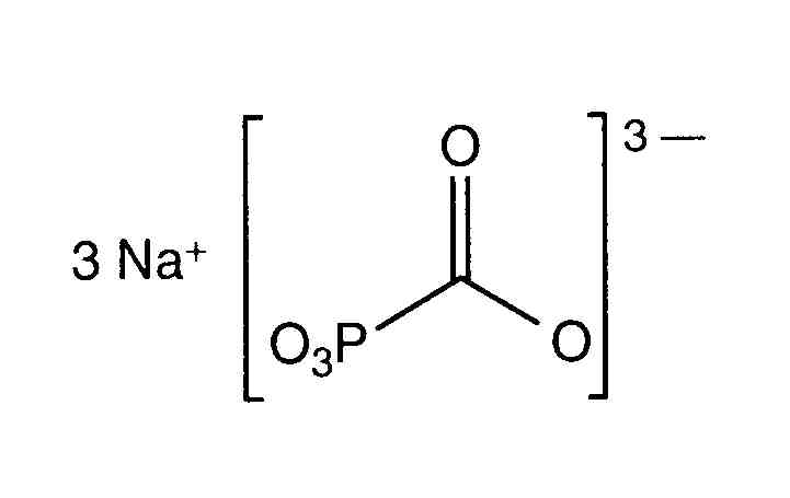
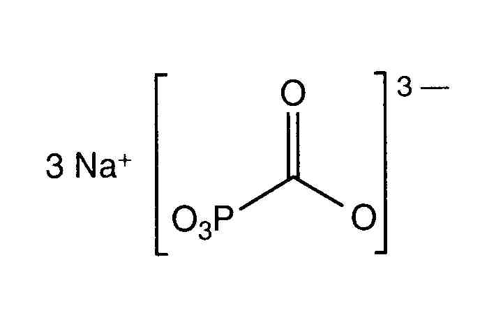
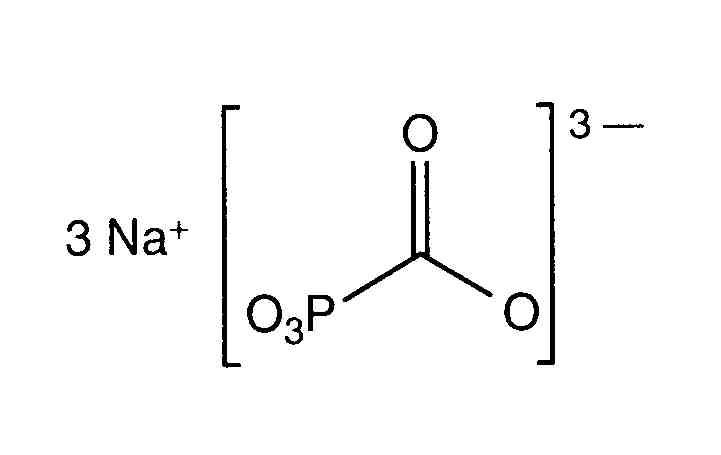
   Химична структура  

Търговско наименование   Търговско наименование     

Търговските имена са примерни и съставът на помощните вещества може да бъде различен в зависимост от държавата и лабораториите

Foscarnet Аржентина, Еквадор, Испания, Колумбия, Мексико, Перу, Португалия, Съединени Американски щати / САЩ, Чили
Foscavir Австралия, Австрия, Белгия, Великобритания, Германия, Гърция, Испания, Италия, Люксенбург, нова Зеландия, Съединени Американски щати / САЩ, Унгария, Франция, Холандия, Швейцария, Швеция

Фактори, повлияващи стабилността   Инжекция/Инжекционен   Фактори, повлияващи стабилността : Foscarnet sodium        
Библиография
Разтворител Glucose 30% Предизвиква Разграждане 3662
Температура 4°C Предизвиква Преципитация 3662

  Mentions Légales