Utolsó frissítés :
31/03/2026
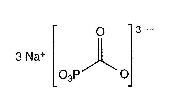
Vírusellenes szer   Foscarnet sodium  
Injekció
Az oldatok stabilitása A keverékek stabilitása Stabilitást befolyásoló tényezők Kompatibilitás Az alkalmazás módja Irodalom pdf
   Kémiai szerkezet   

Kereskedelmi név   Kereskedelmi név     

A kereskedelmi név meghatározó jelentőségű: a készítmények összetétele országonként, előállítóként eltérő lehet

Foscarnet Amerikai Egyesült Államok, Argentína, Chile, Colombia, Ecuador, Mexikó, Peru, Portugália, Spanyolország
Foscavir Amerikai Egyesült Államok, Ausztrália, Ausztria, Belgium, Franciaország, Görögország, Hollandia, Luxemburg, Magyarország, Nagy-Britannia, Németország, Olaszország, Spanyolország, Svájc, Svédország, új-Zéland
Kompatibilitás   Injekció   Kompatibilitás : Foscarnet sodium              
Ovdje su prikazane kompatibilnosti ili nekompatibilnosti s tipom nekompatibilnosti (taloženje, promjena boje, modifikacija emulzije itd.) u ovom slučaju. Kompatibilnosti prikazane ovdje najčešće su fizikalne dok se kemijska stabilnost molekule rijetko procjenjuje. Procjena ovih mikstura je proučavana kako bi se razmotrila mogućnost primjene lijeka putem Y-mjesta. Ovi se podaci ne smiju koristiti za pripremu mikstura unaprijed u vrećicama ili štrcaljkama. Ova vrsta informacije se može pronaći u odjeljku « stabilnost u miksturama ».
Vegyület Oldószer Irodalom
Meghatározatlan összeférhetetlenség Összeegyeztethetetlen
Injekció Foscarnet sodium
Injekció Aciclovir sodium
3595
Azonnali csapadék Összeegyeztethetetlen
Injekció Foscarnet sodium 24 mg/ml
Injekció Aciclovir sodium 7 mg/ml
5% glükóz 1135
Azonnali csapadék Összeegyeztethetetlen
Injekció Foscarnet sodium 24 mg/ml
Injekció Aciclovir sodium 7 mg/ml
0,9% nátrium-klorid 1135
Meghatározatlan összeférhetetlenség Összeegyeztethetetlen
Injekció Foscarnet sodium
Injekció Aciclovir sodium
3662
Azonnali csapadék Összeegyeztethetetlen
Injekció Foscarnet sodium 24 mg/ml
Injekció Aciclovir sodium 10 mg/ml
Egy sem 73
Összeegyeztethető
Injekció Foscarnet sodium 24 mg/ml
Injekció Aldesleukin 0.0338 MUI/ml
5% glükóz 36
Összeegyeztethető
Injekció Foscarnet sodium 24 mg/ml
Injekció Amikacin sulfate 20 mg/ml
Egy sem 73
Összeegyeztethető
Injekció Foscarnet sodium 24 mg/ml
Injekció Aminophylline 25 mg/ml
Egy sem 73
Azonnali zavarosság Összeegyeztethetetlen
Injekció Foscarnet sodium 24 mg/ml
Injekció Amphotericin B 0.6 mg/ml
5% glükóz 1135
Meghatározatlan összeférhetetlenség Összeegyeztethetetlen
Injekció Foscarnet sodium
Injekció Amphotericin B
3662
Azonnali csapadék Összeegyeztethetetlen
Injekció Foscarnet sodium 24 mg/ml
Injekció Amphotericin B 5 mg/ml
Egy sem 73
Összeegyeztethető
Injekció Foscarnet sodium 24 mg/ml
Injekció Ampicillin sodium 20 mg/ml
Egy sem 73
Összeegyeztethető
Injekció Foscarnet sodium 24 mg/ml
Injekció Aztreonam 40 mg/ml
0,9% nátrium-klorid 1135
Összeegyeztethető
Injekció Foscarnet sodium 24 mg/ml
Injekció Aztreonam 40 mg/ml
5% glükóz 1135
Összeegyeztethető
Injekció Foscarnet sodium 24 mg/ml
Injekció Aztreonam 40 mg/ml
Egy sem 73
Meghatározatlan összeférhetetlenség Összeegyeztethetetlen
Injekció Foscarnet sodium
Injekció Calcium chloride
3662
Meghatározatlan összeférhetetlenség Összeegyeztethetetlen
Injekció Foscarnet sodium
Injekció Calcium glucoheptonate
3662
Meghatározatlan összeférhetetlenség Összeegyeztethetetlen
Injekció Foscarnet sodium
Injekció Calcium gluconate
3662
Összeegyeztethető
Injekció Foscarnet sodium 24 mg/ml
Injekció Cefazolin sodium 40 mg/ml
Egy sem 73
Összeegyeztethető
Injekció Foscarnet sodium 24 mg/ml
Injekció Cefoperazone sodium 40 mg/ml
Egy sem 73
Összeegyeztethető
Injekció Foscarnet sodium 24 mg/ml
Injekció Cefoxitin sodium 40 mg/ml
Egy sem 73
Összeegyeztethető
Injekció Foscarnet sodium 24 mg/ml
Injekció Ceftazidime 20 mg/ml
5% glükóz 1135
Összeegyeztethető
Injekció Foscarnet sodium 24 mg/ml
Injekció Ceftazidime 20 mg/ml
Egy sem 73
Összeegyeztethető
Injekció Foscarnet sodium 24 mg/ml
Injekció Ceftazidime 20 mg/ml
0,9% nátrium-klorid 1135
Összeegyeztethető
Injekció Foscarnet sodium
Injekció Ceftazidime
3883
Összeegyeztethető
Injekció Foscarnet sodium 24 mg/ml
Injekció Ceftizoxime sodium 40 mg/ml
Egy sem 73
Összeegyeztethető
Injekció Foscarnet sodium 24 mg/ml
Injekció Ceftriaxone disodium 20 mg/ml
5% glükóz 1135
Összeegyeztethető
Injekció Foscarnet sodium 24 mg/ml
Injekció Ceftriaxone disodium 20 mg/ml
0,9% nátrium-klorid 1135
Összeegyeztethető
Injekció Foscarnet sodium 24 mg/ml
Injekció Cefuroxime sodium 30 mg/ml
Egy sem 73
Összeegyeztethető
Injekció Foscarnet sodium 24 mg/ml
Injekció Chloramphenicol sodium succinate 20 mg/ml
Egy sem 73
Összeegyeztethető
Injekció Foscarnet sodium 24 mg/ml
Injekció Cimetidine hydrochloride 150 mg/ml
Egy sem 73
Összeegyeztethető
Injekció Foscarnet sodium 24 mg/ml
Injekció Clindamycin phosphate 24 mg/ml
Egy sem 73
Összeegyeztethető
Injekció Foscarnet sodium 24 mg/ml
Injekció Clindamycin phosphate 12 mg/ml
5% glükóz 1135
Összeegyeztethető
Injekció Foscarnet sodium 24 mg/ml
Injekció Clindamycin phosphate 12 mg/ml
0,9% nátrium-klorid 1135
Meghatározatlan összeférhetetlenség Összeegyeztethetetlen
Injekció Foscarnet sodium
Injekció Co-trimoxazole
3662
Összeegyeztethető
Injekció Foscarnet sodium 24 mg/ml
Injekció Co-trimoxazole 2,6/0,53 mg/ml
5% glükóz 1135
Azonnali csapadék Összeegyeztethetetlen
Injekció Foscarnet sodium 24 mg/ml
Injekció Co-trimoxazole
Egy sem 73
Összeegyeztethető
Injekció Foscarnet sodium 24 mg/ml
Injekció Defibrotide 8 mg/ml
0,9% nátrium-klorid 3728
Összeegyeztethető
Injekció Foscarnet sodium 24 mg/ml
Injekció Dexamethasone sodium phosphate 10 mg/ml
Egy sem 73
Gázbuborékok előállítása Összeegyeztethetetlen
Injekció Foscarnet sodium 24 mg/ml
Injekció Diazepam 5 mg/ml
Egy sem 73
Gázbuborékok előállítása Összeegyeztethetetlen
Injekció Foscarnet sodium 24 mg/ml
Injekció Digoxin 250 µg/ml
Egy sem 73
Azonnali zavarosság Összeegyeztethetetlen
Injekció Foscarnet sodium 24 mg/ml
Injekció Diphenhydramine hydrochloride 50 mg/ml
Egy sem 73
Azonnali csapadék Összeegyeztethetetlen
Injekció Foscarnet sodium 24 mg/ml
Injekció Dobutamine hydrochloride 12.5 mg/ml
Egy sem 73
Összeegyeztethető
Injekció Foscarnet sodium 24 mg/ml
Injekció Dopamine hydrochloride 80 mg/ml
Egy sem 73
Összeegyeztethető
Injekció Foscarnet sodium 24 mg/ml
Injekció Doripenem 5 mg/ml
5% glükóz 2262
Összeegyeztethető
Injekció Foscarnet sodium 24 mg/ml
Injekció Doripenem 5 mg/ml
0,9% nátrium-klorid 2262
Azonnali csapadék Összeegyeztethetetlen
Injekció Foscarnet sodium 24 mg/ml
Injekció Droperidol 2.5 mg/ml
Egy sem 73
Összeegyeztethető
Injekció Foscarnet sodium 24 mg/ml
Injekció Erythromycin lactobionate 20 mg/ml
0,9% nátrium-klorid 1135
Összeegyeztethető
Injekció Foscarnet sodium 24 mg/ml
Injekció Erythromycin lactobionate 20 mg/ml
Egy sem 73
Összeegyeztethető
Injekció Foscarnet sodium 24 mg/ml
Injekció Fluconazole 2 mg/ml
0,9% nátrium-klorid 496
Azonnali zavarosság Összeegyeztethetetlen
Injekció Foscarnet sodium 24 mg/ml
Injekció Folinate calcium 10 mg/ml
Egy sem 73
Összeegyeztethető
Injekció Foscarnet sodium 24 mg/ml
Injekció Furosemide 10 mg/ml
Egy sem 73
Azonnali csapadék Összeegyeztethetetlen
Injekció Foscarnet sodium 24 mg/ml
Injekció Ganciclovir sodium 50 mg/ml
Egy sem 73
Meghatározatlan összeférhetetlenség Összeegyeztethetetlen
Injekció Foscarnet sodium
Injekció Ganciclovir sodium
3662
Összeegyeztethető
Injekció Foscarnet sodium 24 mg/ml
Injekció Gentamicin sulfate 4 mg/ml
Egy sem 73
Összeegyeztethető
Injekció Foscarnet sodium 24 mg/ml
Injekció Gentamicin sulfate 2 mg/ml
0,9% nátrium-klorid 1135
Összeegyeztethető
Injekció Foscarnet sodium 24 mg/ml
Injekció Gentamicin sulfate 2 mg/ml
5% glükóz 1135
Azonnali csapadék Összeegyeztethetetlen
Injekció Foscarnet sodium 24 mg/ml
Injekció Haloperidol lactate 5 mg/ml
Egy sem 73
Összeegyeztethető
Injekció Foscarnet sodium 24 mg/ml
Injekció Heparin sodium 100 UI/ml
0,9% nátrium-klorid 1135
Összeegyeztethető
Injekció Foscarnet sodium 24 mg/ml
Injekció Heparin sodium 1000 UI/ml
Egy sem 73
Összeegyeztethető
Injekció Foscarnet sodium 24 mg/ml
Injekció Heparin sodium 100 UI/ml
5% glükóz 1135
Összeegyeztethető
Injekció Foscarnet sodium 24 mg/ml
Injekció Hydrocortisone sodium succinate 50 mg/ml
Egy sem 73
Összeegyeztethető
Injekció Foscarnet sodium 24 mg/ml
Injekció Hydromorphone hydrochloride 10 mg/ml
Egy sem 73
Összeegyeztethető
Injekció Foscarnet sodium 24 mg/ml
Injekció Hydroxyzine dihydrochloride 50 mg/ml
Egy sem 73
Összeegyeztethető
Injekció Foscarnet sodium 24 mg/ml
Injekció Imipenem - cilastatin sodium 5 mg/ml
5% glükóz 1135
Összeegyeztethető
Injekció Foscarnet sodium 24 mg/ml
Injekció Imipenem - cilastatin sodium 10 mg/ml
Egy sem 73
Meghatározatlan összeférhetetlenség Összeegyeztethetetlen
Injekció Foscarnet sodium
Injekció Levofolinate calcium
3662
Összeegyeztethető
Injekció Foscarnet sodium 24 mg/ml
Injekció Lorazepam 0,08 mg/ml
0,9% nátrium-klorid 1135
Összeegyeztethető
Injekció Foscarnet sodium 24 mg/ml
Injekció Lorazepam 0,08 mg/ml
5% glükóz 1135
Gázbuborékok előállítása Összeegyeztethetetlen
Injekció Foscarnet sodium 24 mg/ml
Injekció Lorazepam 4 mg/ml
Egy sem 73
Összeegyeztethető
Injekció Foscarnet sodium 24 mg/ml
Injekció Meropenem 50 mg/ml
Injekcióhoz való víz 4319
Összeegyeztethető
Injekció Foscarnet sodium 24 mg/ml
Injekció Metoclopramide hydrochloride 2 mg/ml
0,9% nátrium-klorid 1135
Összeegyeztethető
Injekció Foscarnet sodium 24 mg/ml
Injekció Metoclopramide hydrochloride 4 mg/ml
Egy sem 73
Összeegyeztethető
Injekció Foscarnet sodium 24 mg/ml
Injekció Metoclopramide hydrochloride 2 mg/ml
5% glükóz 1135
Összeegyeztethető
Injekció Foscarnet sodium 24 mg/ml
Injekció Metronidazole 5 mg/ml
0,9% nátrium-klorid 1135
Összeegyeztethető
Injekció Foscarnet sodium 24 mg/ml
Injekció Metronidazole 5 mg/ml
Egy sem 73
Gázbuborékok előállítása Összeegyeztethetetlen
Injekció Foscarnet sodium 24 mg/ml
Injekció Midazolam hydrochloride 5 mg/ml
Egy sem 73
Összeegyeztethető
Injekció Foscarnet sodium 24 mg/ml
Injekció Morphine sulfate 1 mg/ml
0,9% nátrium-klorid 1135
Összeegyeztethető
Injekció Foscarnet sodium 24 mg/ml
Injekció Morphine sulfate 15 mg/ml
Egy sem 64
Összeegyeztethető
Injekció Foscarnet sodium 24 mg/ml
Injekció Morphine sulfate 5 mg/ml
0,9% nátrium-klorid 64
Összeegyeztethető
Injekció Foscarnet sodium 24 mg/ml
Injekció Morphine sulfate 1 mg/ml
5% glükóz 1135
Összeegyeztethető
Injekció Foscarnet sodium 24 mg/ml
Injekció Morphine sulfate 1 mg/ml
Egy sem 73
Összeegyeztethető
Injekció Foscarnet sodium 24 mg/ml
Injekció Nafcillin sodium 20 mg/ml
5% glükóz 1135
Összeegyeztethető
Injekció Foscarnet sodium 24 mg/ml
Injekció Nafcillin sodium 20 mg/ml
0,9% nátrium-klorid 1135
Összeegyeztethető
Injekció Foscarnet sodium 24 mg/ml
Injekció Oxacillin sodium 40 mg/ml
Egy sem 73
Összeegyeztethető
Injekció Foscarnet sodium 24 mg/ml
Injekció Oxacillin sodium 20 mg/ml
5% glükóz 1135
Meghatározatlan összeférhetetlenség Összeegyeztethetetlen
Injekció Foscarnet sodium
30% glükóz 3662
Összeegyeztethető
Injekció Foscarnet sodium 24 mg/ml
Injekció Oxacillin sodium 20 mg/ml
0,9% nátrium-klorid 1135
Összeegyeztethető
Injekció Foscarnet sodium 24 mg/ml
Injekció Penicillin G potassium 0.1 MUI/ml
Egy sem 73
Azonnali csapadék Összeegyeztethetetlen
Injekció Foscarnet sodium 24 mg/ml
Injekció Pentamidine isetionate 6 mg/ml
Egy sem 73
Azonnali csapadék Összeegyeztethetetlen
Injekció Foscarnet sodium 24 mg/ml
Injekció Pentamidine isetionate 6 mg/ml
5% glükóz 1135
Meghatározatlan összeférhetetlenség Összeegyeztethetetlen
Injekció Foscarnet sodium
Injekció Pentamidine isetionate
3662
Azonnali csapadék Összeegyeztethetetlen
Injekció Foscarnet sodium 24 mg/ml
Injekció Pentamidine isetionate 6 mg/ml
0,9% nátrium-klorid 1135
Azonnali csapadék Összeegyeztethetetlen
Injekció Foscarnet sodium 24 mg/ml
Injekció Phenytoin sodium 50 mg/ml
Egy sem 73
Összeegyeztethető
Injekció Foscarnet sodium 24 mg/ml
Injekció Piperacillin sodium 80 mg/ml
Egy sem 73
Azonnali zavarosság Összeegyeztethetetlen
Injekció Foscarnet sodium 24 mg/ml
Injekció Prochlorperazine edysilate 5 mg/ml
Egy sem 73
Gázbuborékok előállítása Összeegyeztethetetlen
Injekció Foscarnet sodium 24 mg/ml
Injekció Promethazine hydrochloride 50 mg/ml
Egy sem 73
Összeegyeztethető
Injekció Foscarnet sodium 24 mg/ml
Injekció Ranitidine hydrochloride 2 mg/ml
0,9% nátrium-klorid 1135
Összeegyeztethető
Injekció Foscarnet sodium 24 mg/ml
Injekció Ranitidine hydrochloride 2 mg/ml
5% glükóz 1135
Összeegyeztethető
Injekció Foscarnet sodium 24 mg/ml
Injekció Ticarcillin / clavulanic acid 100 mg/ml
0,9% nátrium-klorid 1135
Összeegyeztethető
Injekció Foscarnet sodium 24 mg/ml
Injekció Ticarcillin / clavulanic acid 100 mg/ml
5% glükóz 1135
Összeegyeztethető
Injekció Foscarnet sodium 24 mg/ml
Injekció Tobramycin sulfate 40 mg/ml
Egy sem 73
Összeegyeztethető
Injekció Foscarnet sodium 24 mg/ml
Injekció Vancomycin hydrochloride 10 mg/ml
0,9% nátrium-klorid 132
Meghatározatlan összeférhetetlenség Összeegyeztethetetlen
Injekció Foscarnet sodium
Injekció Vancomycin hydrochloride
3662
Összeegyeztethető
Injekció Foscarnet sodium 24 mg/ml
Injekció Vancomycin hydrochloride 15 mg/ml
0,9% nátrium-klorid 1135
Összeegyeztethető
Injekció Foscarnet sodium 24 mg/ml
Injekció Vancomycin hydrochloride 15 mg/ml
5% glükóz 1135
Azonnali csapadék Összeegyeztethetetlen
Injekció Foscarnet sodium 24 mg/ml
Injekció Vancomycin hydrochloride 20 mg/ml
Egy sem 73

  Mentions Légales