Seneste opdatering :
31/03/2026
Antiviral   Foscarnet sodium  
Injektion
Stabilitet i (vandige) opløsninger Stabilitet i blandinger Faktorer der påvirker stabiliteten Kompatibilitet Administrationsvej Bibliografi pdf
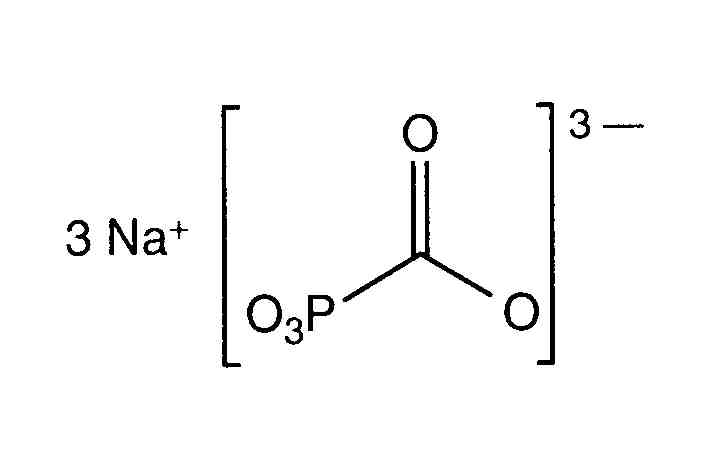
   Kemisk struktur  

Handelsnavn   Handelsnavn     

Handel navne er vejledende og hjælpestoffer sammensætning kan være forskellig afhængigt af landet og laboratorier

Foscarnet Argentina, Chile, Colombia, Ecuador, Marokko, Mexico, Portugal, Spanien, USA
Foscavir Australien, Belgien, Frankrig, Grækenland, Holland, Italien, Luxemborg, New Zealand, Schweiz, Spanien, Storbritanien, Sverige, Tyskland, Ungarn, USA, Østrig
Kompatibilitet   Injektion   Kompatibilitet : Foscarnet sodium              
Denne skærm viser kompatibilitet eller uforenelighed med, i dette tilfælde typen af inkompatibilitet (udfældning, farveændring, ændring af en emulsion osv.). Kompatibiliteterne vist her er for det meste kun fysiske, idet den kemiske stabilitet af hvert molekyle sjældent vurderes. Evalueringen af disse blandinger blev undersøgt for at overveje muligheden for Y-sted-administration til patienten. Disse data kan ikke bruges til at fremstille blandinger på forhånd i poser eller sprøjter. Denne type information findes på skærmen "Stabilitet i blanding".
Molekyle Opløsningsmiddel Bibliografi
Uspecificeret inkompatibilitet Uforenelig
Injektion Foscarnet sodium
Injektion Aciclovir sodium
3595
Umiddelbar nedbør Uforenelig
Injektion Foscarnet sodium 24 mg/ml
Injektion Aciclovir sodium 7 mg/ml
5 % Glukose 1135
Umiddelbar nedbør Uforenelig
Injektion Foscarnet sodium 24 mg/ml
Injektion Aciclovir sodium 7 mg/ml
0,9 % Natriumklorid 1135
Uspecificeret inkompatibilitet Uforenelig
Injektion Foscarnet sodium
Injektion Aciclovir sodium
3662
Umiddelbar nedbør Uforenelig
Injektion Foscarnet sodium 24 mg/ml
Injektion Aciclovir sodium 10 mg/ml
Ingen 73
Kompatibel
Injektion Foscarnet sodium 24 mg/ml
Injektion Aldesleukin 0.0338 MUI/ml
5 % Glukose 36
Kompatibel
Injektion Foscarnet sodium 24 mg/ml
Injektion Amikacin sulfate 20 mg/ml
Ingen 73
Kompatibel
Injektion Foscarnet sodium 24 mg/ml
Injektion Aminophylline 25 mg/ml
Ingen 73
Umiddelbar turbiditet Uforenelig
Injektion Foscarnet sodium 24 mg/ml
Injektion Amphotericin B 0.6 mg/ml
5 % Glukose 1135
Uspecificeret inkompatibilitet Uforenelig
Injektion Foscarnet sodium
Injektion Amphotericin B
3662
Umiddelbar nedbør Uforenelig
Injektion Foscarnet sodium 24 mg/ml
Injektion Amphotericin B 5 mg/ml
Ingen 73
Kompatibel
Injektion Foscarnet sodium 24 mg/ml
Injektion Ampicillin sodium 20 mg/ml
Ingen 73
Kompatibel
Injektion Foscarnet sodium 24 mg/ml
Injektion Aztreonam 40 mg/ml
0,9 % Natriumklorid 1135
Kompatibel
Injektion Foscarnet sodium 24 mg/ml
Injektion Aztreonam 40 mg/ml
5 % Glukose 1135
Kompatibel
Injektion Foscarnet sodium 24 mg/ml
Injektion Aztreonam 40 mg/ml
Ingen 73
Uspecificeret inkompatibilitet Uforenelig
Injektion Foscarnet sodium
Injektion Calcium chloride
3662
Uspecificeret inkompatibilitet Uforenelig
Injektion Foscarnet sodium
Injektion Calcium glucoheptonate
3662
Uspecificeret inkompatibilitet Uforenelig
Injektion Foscarnet sodium
Injektion Calcium gluconate
3662
Kompatibel
Injektion Foscarnet sodium 24 mg/ml
Injektion Cefazolin sodium 40 mg/ml
Ingen 73
Kompatibel
Injektion Foscarnet sodium 24 mg/ml
Injektion Cefoperazone sodium 40 mg/ml
Ingen 73
Kompatibel
Injektion Foscarnet sodium 24 mg/ml
Injektion Cefoxitin sodium 40 mg/ml
Ingen 73
Kompatibel
Injektion Foscarnet sodium 24 mg/ml
Injektion Ceftazidime 20 mg/ml
5 % Glukose 1135
Kompatibel
Injektion Foscarnet sodium 24 mg/ml
Injektion Ceftazidime 20 mg/ml
Ingen 73
Kompatibel
Injektion Foscarnet sodium 24 mg/ml
Injektion Ceftazidime 20 mg/ml
0,9 % Natriumklorid 1135
Kompatibel
Injektion Foscarnet sodium
Injektion Ceftazidime
3883
Kompatibel
Injektion Foscarnet sodium 24 mg/ml
Injektion Ceftizoxime sodium 40 mg/ml
Ingen 73
Kompatibel
Injektion Foscarnet sodium 24 mg/ml
Injektion Ceftriaxone disodium 20 mg/ml
5 % Glukose 1135
Kompatibel
Injektion Foscarnet sodium 24 mg/ml
Injektion Ceftriaxone disodium 20 mg/ml
0,9 % Natriumklorid 1135
Kompatibel
Injektion Foscarnet sodium 24 mg/ml
Injektion Cefuroxime sodium 30 mg/ml
Ingen 73
Kompatibel
Injektion Foscarnet sodium 24 mg/ml
Injektion Chloramphenicol sodium succinate 20 mg/ml
Ingen 73
Kompatibel
Injektion Foscarnet sodium 24 mg/ml
Injektion Cimetidine hydrochloride 150 mg/ml
Ingen 73
Kompatibel
Injektion Foscarnet sodium 24 mg/ml
Injektion Clindamycin phosphate 24 mg/ml
Ingen 73
Kompatibel
Injektion Foscarnet sodium 24 mg/ml
Injektion Clindamycin phosphate 12 mg/ml
5 % Glukose 1135
Kompatibel
Injektion Foscarnet sodium 24 mg/ml
Injektion Clindamycin phosphate 12 mg/ml
0,9 % Natriumklorid 1135
Uspecificeret inkompatibilitet Uforenelig
Injektion Foscarnet sodium
Injektion Co-trimoxazole
3662
Kompatibel
Injektion Foscarnet sodium 24 mg/ml
Injektion Co-trimoxazole 2,6/0,53 mg/ml
5 % Glukose 1135
Umiddelbar nedbør Uforenelig
Injektion Foscarnet sodium 24 mg/ml
Injektion Co-trimoxazole
Ingen 73
Kompatibel
Injektion Foscarnet sodium 24 mg/ml
Injektion Defibrotide 8 mg/ml
0,9 % Natriumklorid 3728
Kompatibel
Injektion Foscarnet sodium 24 mg/ml
Injektion Dexamethasone sodium phosphate 10 mg/ml
Ingen 73
Produktion af gasbobler Uforenelig
Injektion Foscarnet sodium 24 mg/ml
Injektion Diazepam 5 mg/ml
Ingen 73
Produktion af gasbobler Uforenelig
Injektion Foscarnet sodium 24 mg/ml
Injektion Digoxin 250 µg/ml
Ingen 73
Umiddelbar turbiditet Uforenelig
Injektion Foscarnet sodium 24 mg/ml
Injektion Diphenhydramine hydrochloride 50 mg/ml
Ingen 73
Umiddelbar nedbør Uforenelig
Injektion Foscarnet sodium 24 mg/ml
Injektion Dobutamine hydrochloride 12.5 mg/ml
Ingen 73
Kompatibel
Injektion Foscarnet sodium 24 mg/ml
Injektion Dopamine hydrochloride 80 mg/ml
Ingen 73
Kompatibel
Injektion Foscarnet sodium 24 mg/ml
Injektion Doripenem 5 mg/ml
5 % Glukose 2262
Kompatibel
Injektion Foscarnet sodium 24 mg/ml
Injektion Doripenem 5 mg/ml
0,9 % Natriumklorid 2262
Umiddelbar nedbør Uforenelig
Injektion Foscarnet sodium 24 mg/ml
Injektion Droperidol 2.5 mg/ml
Ingen 73
Kompatibel
Injektion Foscarnet sodium 24 mg/ml
Injektion Erythromycin lactobionate 20 mg/ml
0,9 % Natriumklorid 1135
Kompatibel
Injektion Foscarnet sodium 24 mg/ml
Injektion Erythromycin lactobionate 20 mg/ml
Ingen 73
Kompatibel
Injektion Foscarnet sodium 24 mg/ml
Injektion Fluconazole 2 mg/ml
0,9 % Natriumklorid 496
Umiddelbar turbiditet Uforenelig
Injektion Foscarnet sodium 24 mg/ml
Injektion Folinate calcium 10 mg/ml
Ingen 73
Kompatibel
Injektion Foscarnet sodium 24 mg/ml
Injektion Furosemide 10 mg/ml
Ingen 73
Umiddelbar nedbør Uforenelig
Injektion Foscarnet sodium 24 mg/ml
Injektion Ganciclovir sodium 50 mg/ml
Ingen 73
Uspecificeret inkompatibilitet Uforenelig
Injektion Foscarnet sodium
Injektion Ganciclovir sodium
3662
Kompatibel
Injektion Foscarnet sodium 24 mg/ml
Injektion Gentamicin sulfate 4 mg/ml
Ingen 73
Kompatibel
Injektion Foscarnet sodium 24 mg/ml
Injektion Gentamicin sulfate 2 mg/ml
0,9 % Natriumklorid 1135
Kompatibel
Injektion Foscarnet sodium 24 mg/ml
Injektion Gentamicin sulfate 2 mg/ml
5 % Glukose 1135
Umiddelbar nedbør Uforenelig
Injektion Foscarnet sodium 24 mg/ml
Injektion Haloperidol lactate 5 mg/ml
Ingen 73
Kompatibel
Injektion Foscarnet sodium 24 mg/ml
Injektion Heparin sodium 100 UI/ml
0,9 % Natriumklorid 1135
Kompatibel
Injektion Foscarnet sodium 24 mg/ml
Injektion Heparin sodium 1000 UI/ml
Ingen 73
Kompatibel
Injektion Foscarnet sodium 24 mg/ml
Injektion Heparin sodium 100 UI/ml
5 % Glukose 1135
Kompatibel
Injektion Foscarnet sodium 24 mg/ml
Injektion Hydrocortisone sodium succinate 50 mg/ml
Ingen 73
Kompatibel
Injektion Foscarnet sodium 24 mg/ml
Injektion Hydromorphone hydrochloride 10 mg/ml
Ingen 73
Kompatibel
Injektion Foscarnet sodium 24 mg/ml
Injektion Hydroxyzine dihydrochloride 50 mg/ml
Ingen 73
Kompatibel
Injektion Foscarnet sodium 24 mg/ml
Injektion Imipenem - cilastatin sodium 5 mg/ml
5 % Glukose 1135
Kompatibel
Injektion Foscarnet sodium 24 mg/ml
Injektion Imipenem - cilastatin sodium 10 mg/ml
Ingen 73
Uspecificeret inkompatibilitet Uforenelig
Injektion Foscarnet sodium
Injektion Levofolinate calcium
3662
Kompatibel
Injektion Foscarnet sodium 24 mg/ml
Injektion Lorazepam 0,08 mg/ml
0,9 % Natriumklorid 1135
Kompatibel
Injektion Foscarnet sodium 24 mg/ml
Injektion Lorazepam 0,08 mg/ml
5 % Glukose 1135
Produktion af gasbobler Uforenelig
Injektion Foscarnet sodium 24 mg/ml
Injektion Lorazepam 4 mg/ml
Ingen 73
Kompatibel
Injektion Foscarnet sodium 24 mg/ml
Injektion Meropenem 50 mg/ml
Vand til injektion 4319
Kompatibel
Injektion Foscarnet sodium 24 mg/ml
Injektion Metoclopramide hydrochloride 2 mg/ml
0,9 % Natriumklorid 1135
Kompatibel
Injektion Foscarnet sodium 24 mg/ml
Injektion Metoclopramide hydrochloride 4 mg/ml
Ingen 73
Kompatibel
Injektion Foscarnet sodium 24 mg/ml
Injektion Metoclopramide hydrochloride 2 mg/ml
5 % Glukose 1135
Kompatibel
Injektion Foscarnet sodium 24 mg/ml
Injektion Metronidazole 5 mg/ml
0,9 % Natriumklorid 1135
Kompatibel
Injektion Foscarnet sodium 24 mg/ml
Injektion Metronidazole 5 mg/ml
Ingen 73
Produktion af gasbobler Uforenelig
Injektion Foscarnet sodium 24 mg/ml
Injektion Midazolam hydrochloride 5 mg/ml
Ingen 73
Kompatibel
Injektion Foscarnet sodium 24 mg/ml
Injektion Morphine sulfate 1 mg/ml
0,9 % Natriumklorid 1135
Kompatibel
Injektion Foscarnet sodium 24 mg/ml
Injektion Morphine sulfate 15 mg/ml
Ingen 64
Kompatibel
Injektion Foscarnet sodium 24 mg/ml
Injektion Morphine sulfate 5 mg/ml
0,9 % Natriumklorid 64
Kompatibel
Injektion Foscarnet sodium 24 mg/ml
Injektion Morphine sulfate 1 mg/ml
5 % Glukose 1135
Kompatibel
Injektion Foscarnet sodium 24 mg/ml
Injektion Morphine sulfate 1 mg/ml
Ingen 73
Kompatibel
Injektion Foscarnet sodium 24 mg/ml
Injektion Nafcillin sodium 20 mg/ml
5 % Glukose 1135
Kompatibel
Injektion Foscarnet sodium 24 mg/ml
Injektion Nafcillin sodium 20 mg/ml
0,9 % Natriumklorid 1135
Kompatibel
Injektion Foscarnet sodium 24 mg/ml
Injektion Oxacillin sodium 40 mg/ml
Ingen 73
Kompatibel
Injektion Foscarnet sodium 24 mg/ml
Injektion Oxacillin sodium 20 mg/ml
5 % Glukose 1135
Uspecificeret inkompatibilitet Uforenelig
Injektion Foscarnet sodium
30% Glukose 3662
Kompatibel
Injektion Foscarnet sodium 24 mg/ml
Injektion Oxacillin sodium 20 mg/ml
0,9 % Natriumklorid 1135
Kompatibel
Injektion Foscarnet sodium 24 mg/ml
Injektion Penicillin G potassium 0.1 MUI/ml
Ingen 73
Umiddelbar nedbør Uforenelig
Injektion Foscarnet sodium 24 mg/ml
Injektion Pentamidine isetionate 6 mg/ml
Ingen 73
Umiddelbar nedbør Uforenelig
Injektion Foscarnet sodium 24 mg/ml
Injektion Pentamidine isetionate 6 mg/ml
5 % Glukose 1135
Uspecificeret inkompatibilitet Uforenelig
Injektion Foscarnet sodium
Injektion Pentamidine isetionate
3662
Umiddelbar nedbør Uforenelig
Injektion Foscarnet sodium 24 mg/ml
Injektion Pentamidine isetionate 6 mg/ml
0,9 % Natriumklorid 1135
Umiddelbar nedbør Uforenelig
Injektion Foscarnet sodium 24 mg/ml
Injektion Phenytoin sodium 50 mg/ml
Ingen 73
Kompatibel
Injektion Foscarnet sodium 24 mg/ml
Injektion Piperacillin sodium 80 mg/ml
Ingen 73
Umiddelbar turbiditet Uforenelig
Injektion Foscarnet sodium 24 mg/ml
Injektion Prochlorperazine edysilate 5 mg/ml
Ingen 73
Produktion af gasbobler Uforenelig
Injektion Foscarnet sodium 24 mg/ml
Injektion Promethazine hydrochloride 50 mg/ml
Ingen 73
Kompatibel
Injektion Foscarnet sodium 24 mg/ml
Injektion Ranitidine hydrochloride 2 mg/ml
0,9 % Natriumklorid 1135
Kompatibel
Injektion Foscarnet sodium 24 mg/ml
Injektion Ranitidine hydrochloride 2 mg/ml
5 % Glukose 1135
Kompatibel
Injektion Foscarnet sodium 24 mg/ml
Injektion Ticarcillin / clavulanic acid 100 mg/ml
0,9 % Natriumklorid 1135
Kompatibel
Injektion Foscarnet sodium 24 mg/ml
Injektion Ticarcillin / clavulanic acid 100 mg/ml
5 % Glukose 1135
Kompatibel
Injektion Foscarnet sodium 24 mg/ml
Injektion Tobramycin sulfate 40 mg/ml
Ingen 73
Kompatibel
Injektion Foscarnet sodium 24 mg/ml
Injektion Vancomycin hydrochloride 10 mg/ml
0,9 % Natriumklorid 132
Uspecificeret inkompatibilitet Uforenelig
Injektion Foscarnet sodium
Injektion Vancomycin hydrochloride
3662
Kompatibel
Injektion Foscarnet sodium 24 mg/ml
Injektion Vancomycin hydrochloride 15 mg/ml
0,9 % Natriumklorid 1135
Kompatibel
Injektion Foscarnet sodium 24 mg/ml
Injektion Vancomycin hydrochloride 15 mg/ml
5 % Glukose 1135
Umiddelbar nedbør Uforenelig
Injektion Foscarnet sodium 24 mg/ml
Injektion Vancomycin hydrochloride 20 mg/ml
Ingen 73

  Mentions Légales