Laatste update :
31/03/2026
Antiviraal middel   Foscarnet sodium  
injecteerbaar geneesmiddel
Stabiliteit in oplossing Stabiliteit in mengsels Factoren die de stabiliteit beïnvloeden Verenigbaarheden Toedieningswijze Literatuur pdf
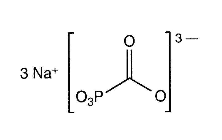
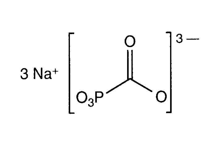
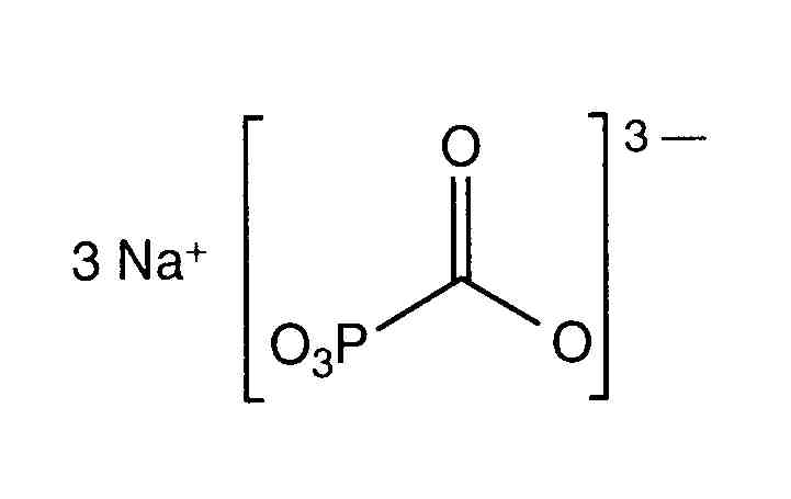
   Molecuulstructuur  

Merknamen in verschillende landen   Merknamen in verschillende landen     

Handelsnamen zijn slechts een indicatie; de samenstelling van hulpstoffen kan per land variëren afhankelijk van de fabrikant

Foscarnet Argentinië, Chili, Colombia, Ecuador, Mexico, Peru, Portugal, Spanje, USA
Foscavir Australië, België, Duitsland, Frankrijk, Griekenland, Groot Britannië, Hongarije, Italië, Luxemburg, Nederland, nieuw Zeeland, Oostenrijk, Spanje, USA, Zweden, Zwitserland
Verenigbaarheden   injecteerbaar geneesmiddel   Verenigbaarheden : Foscarnet sodium              
In dit scherm worden de verenigbaarheden en onverenigbaarheden weergegeven. In het geval van een onverenigbaarheid wordt ook het type (neerslag, kleurverandering, modificatie van een emulsie, etc) weergegeven. De weergegeven verenigbaarheden zijn meestal alleen op uiterlijk beoordeeld, er heeft zelden een chemische beoordeling van iedere component plaatsgevonden. De verenigbaarheden betreffen gelijktijdige toediening aan de patient middels de Y-site. De data kan niet gebruikt worden in de beoordeling van verenigbaarheden van componenten in infuuszakken of spuiten. Die informatie is te vinden onder ‘stabiliteit in mengsels’.
Stof Oplosmiddel Literatuur
Niet-gespecificeerde incompatibiliteit Onverenigbaar
injecteerbaar geneesmiddel Foscarnet sodium
injecteerbaar geneesmiddel Aciclovir sodium
3595
Onmiddellijke neerslag Onverenigbaar
injecteerbaar geneesmiddel Foscarnet sodium 24 mg/ml
injecteerbaar geneesmiddel Aciclovir sodium 7 mg/ml
Glucose 5% 1135
Onmiddellijke neerslag Onverenigbaar
injecteerbaar geneesmiddel Foscarnet sodium 24 mg/ml
injecteerbaar geneesmiddel Aciclovir sodium 7 mg/ml
Natriumchloride 0,9% 1135
Niet-gespecificeerde incompatibiliteit Onverenigbaar
injecteerbaar geneesmiddel Foscarnet sodium
injecteerbaar geneesmiddel Aciclovir sodium
3662
Onmiddellijke neerslag Onverenigbaar
injecteerbaar geneesmiddel Foscarnet sodium 24 mg/ml
injecteerbaar geneesmiddel Aciclovir sodium 10 mg/ml
Geen 73
Verenigbaar
injecteerbaar geneesmiddel Foscarnet sodium 24 mg/ml
injecteerbaar geneesmiddel Aldesleukin 0.0338 MUI/ml
Glucose 5% 36
Verenigbaar
injecteerbaar geneesmiddel Foscarnet sodium 24 mg/ml
injecteerbaar geneesmiddel Amikacin sulfate 20 mg/ml
Geen 73
Verenigbaar
injecteerbaar geneesmiddel Foscarnet sodium 24 mg/ml
injecteerbaar geneesmiddel Aminophylline 25 mg/ml
Geen 73
Onmiddellijke troebelheid Onverenigbaar
injecteerbaar geneesmiddel Foscarnet sodium 24 mg/ml
injecteerbaar geneesmiddel Amphotericin B 0.6 mg/ml
Glucose 5% 1135
Niet-gespecificeerde incompatibiliteit Onverenigbaar
injecteerbaar geneesmiddel Foscarnet sodium
injecteerbaar geneesmiddel Amphotericin B
3662
Onmiddellijke neerslag Onverenigbaar
injecteerbaar geneesmiddel Foscarnet sodium 24 mg/ml
injecteerbaar geneesmiddel Amphotericin B 5 mg/ml
Geen 73
Verenigbaar
injecteerbaar geneesmiddel Foscarnet sodium 24 mg/ml
injecteerbaar geneesmiddel Ampicillin sodium 20 mg/ml
Geen 73
Verenigbaar
injecteerbaar geneesmiddel Foscarnet sodium 24 mg/ml
injecteerbaar geneesmiddel Aztreonam 40 mg/ml
Natriumchloride 0,9% 1135
Verenigbaar
injecteerbaar geneesmiddel Foscarnet sodium 24 mg/ml
injecteerbaar geneesmiddel Aztreonam 40 mg/ml
Glucose 5% 1135
Verenigbaar
injecteerbaar geneesmiddel Foscarnet sodium 24 mg/ml
injecteerbaar geneesmiddel Aztreonam 40 mg/ml
Geen 73
Niet-gespecificeerde incompatibiliteit Onverenigbaar
injecteerbaar geneesmiddel Foscarnet sodium
injecteerbaar geneesmiddel Calcium chloride
3662
Niet-gespecificeerde incompatibiliteit Onverenigbaar
injecteerbaar geneesmiddel Foscarnet sodium
injecteerbaar geneesmiddel Calcium glucoheptonate
3662
Niet-gespecificeerde incompatibiliteit Onverenigbaar
injecteerbaar geneesmiddel Foscarnet sodium
injecteerbaar geneesmiddel Calcium gluconate
3662
Verenigbaar
injecteerbaar geneesmiddel Foscarnet sodium 24 mg/ml
injecteerbaar geneesmiddel Cefazolin sodium 40 mg/ml
Geen 73
Verenigbaar
injecteerbaar geneesmiddel Foscarnet sodium 24 mg/ml
injecteerbaar geneesmiddel Cefoperazone sodium 40 mg/ml
Geen 73
Verenigbaar
injecteerbaar geneesmiddel Foscarnet sodium 24 mg/ml
injecteerbaar geneesmiddel Cefoxitin sodium 40 mg/ml
Geen 73
Verenigbaar
injecteerbaar geneesmiddel Foscarnet sodium 24 mg/ml
injecteerbaar geneesmiddel Ceftazidime 20 mg/ml
Glucose 5% 1135
Verenigbaar
injecteerbaar geneesmiddel Foscarnet sodium 24 mg/ml
injecteerbaar geneesmiddel Ceftazidime 20 mg/ml
Geen 73
Verenigbaar
injecteerbaar geneesmiddel Foscarnet sodium 24 mg/ml
injecteerbaar geneesmiddel Ceftazidime 20 mg/ml
Natriumchloride 0,9% 1135
Verenigbaar
injecteerbaar geneesmiddel Foscarnet sodium
injecteerbaar geneesmiddel Ceftazidime
3883
Verenigbaar
injecteerbaar geneesmiddel Foscarnet sodium 24 mg/ml
injecteerbaar geneesmiddel Ceftizoxime sodium 40 mg/ml
Geen 73
Verenigbaar
injecteerbaar geneesmiddel Foscarnet sodium 24 mg/ml
injecteerbaar geneesmiddel Ceftriaxone disodium 20 mg/ml
Glucose 5% 1135
Verenigbaar
injecteerbaar geneesmiddel Foscarnet sodium 24 mg/ml
injecteerbaar geneesmiddel Ceftriaxone disodium 20 mg/ml
Natriumchloride 0,9% 1135
Verenigbaar
injecteerbaar geneesmiddel Foscarnet sodium 24 mg/ml
injecteerbaar geneesmiddel Cefuroxime sodium 30 mg/ml
Geen 73
Verenigbaar
injecteerbaar geneesmiddel Foscarnet sodium 24 mg/ml
injecteerbaar geneesmiddel Chloramphenicol sodium succinate 20 mg/ml
Geen 73
Verenigbaar
injecteerbaar geneesmiddel Foscarnet sodium 24 mg/ml
injecteerbaar geneesmiddel Cimetidine hydrochloride 150 mg/ml
Geen 73
Verenigbaar
injecteerbaar geneesmiddel Foscarnet sodium 24 mg/ml
injecteerbaar geneesmiddel Clindamycin phosphate 24 mg/ml
Geen 73
Verenigbaar
injecteerbaar geneesmiddel Foscarnet sodium 24 mg/ml
injecteerbaar geneesmiddel Clindamycin phosphate 12 mg/ml
Glucose 5% 1135
Verenigbaar
injecteerbaar geneesmiddel Foscarnet sodium 24 mg/ml
injecteerbaar geneesmiddel Clindamycin phosphate 12 mg/ml
Natriumchloride 0,9% 1135
Niet-gespecificeerde incompatibiliteit Onverenigbaar
injecteerbaar geneesmiddel Foscarnet sodium
injecteerbaar geneesmiddel Co-trimoxazole
3662
Verenigbaar
injecteerbaar geneesmiddel Foscarnet sodium 24 mg/ml
injecteerbaar geneesmiddel Co-trimoxazole 2,6/0,53 mg/ml
Glucose 5% 1135
Onmiddellijke neerslag Onverenigbaar
injecteerbaar geneesmiddel Foscarnet sodium 24 mg/ml
injecteerbaar geneesmiddel Co-trimoxazole
Geen 73
Verenigbaar
injecteerbaar geneesmiddel Foscarnet sodium 24 mg/ml
injecteerbaar geneesmiddel Defibrotide 8 mg/ml
Natriumchloride 0,9% 3728
Verenigbaar
injecteerbaar geneesmiddel Foscarnet sodium 24 mg/ml
injecteerbaar geneesmiddel Dexamethasone sodium phosphate 10 mg/ml
Geen 73
Productie van gasbellen Onverenigbaar
injecteerbaar geneesmiddel Foscarnet sodium 24 mg/ml
injecteerbaar geneesmiddel Diazepam 5 mg/ml
Geen 73
Productie van gasbellen Onverenigbaar
injecteerbaar geneesmiddel Foscarnet sodium 24 mg/ml
injecteerbaar geneesmiddel Digoxin 250 µg/ml
Geen 73
Onmiddellijke troebelheid Onverenigbaar
injecteerbaar geneesmiddel Foscarnet sodium 24 mg/ml
injecteerbaar geneesmiddel Diphenhydramine hydrochloride 50 mg/ml
Geen 73
Onmiddellijke neerslag Onverenigbaar
injecteerbaar geneesmiddel Foscarnet sodium 24 mg/ml
injecteerbaar geneesmiddel Dobutamine hydrochloride 12.5 mg/ml
Geen 73
Verenigbaar
injecteerbaar geneesmiddel Foscarnet sodium 24 mg/ml
injecteerbaar geneesmiddel Dopamine hydrochloride 80 mg/ml
Geen 73
Verenigbaar
injecteerbaar geneesmiddel Foscarnet sodium 24 mg/ml
injecteerbaar geneesmiddel Doripenem 5 mg/ml
Glucose 5% 2262
Verenigbaar
injecteerbaar geneesmiddel Foscarnet sodium 24 mg/ml
injecteerbaar geneesmiddel Doripenem 5 mg/ml
Natriumchloride 0,9% 2262
Onmiddellijke neerslag Onverenigbaar
injecteerbaar geneesmiddel Foscarnet sodium 24 mg/ml
injecteerbaar geneesmiddel Droperidol 2.5 mg/ml
Geen 73
Verenigbaar
injecteerbaar geneesmiddel Foscarnet sodium 24 mg/ml
injecteerbaar geneesmiddel Erythromycin lactobionate 20 mg/ml
Natriumchloride 0,9% 1135
Verenigbaar
injecteerbaar geneesmiddel Foscarnet sodium 24 mg/ml
injecteerbaar geneesmiddel Erythromycin lactobionate 20 mg/ml
Geen 73
Verenigbaar
injecteerbaar geneesmiddel Foscarnet sodium 24 mg/ml
injecteerbaar geneesmiddel Fluconazole 2 mg/ml
Natriumchloride 0,9% 496
Onmiddellijke troebelheid Onverenigbaar
injecteerbaar geneesmiddel Foscarnet sodium 24 mg/ml
injecteerbaar geneesmiddel Folinate calcium 10 mg/ml
Geen 73
Verenigbaar
injecteerbaar geneesmiddel Foscarnet sodium 24 mg/ml
injecteerbaar geneesmiddel Furosemide 10 mg/ml
Geen 73
Onmiddellijke neerslag Onverenigbaar
injecteerbaar geneesmiddel Foscarnet sodium 24 mg/ml
injecteerbaar geneesmiddel Ganciclovir sodium 50 mg/ml
Geen 73
Niet-gespecificeerde incompatibiliteit Onverenigbaar
injecteerbaar geneesmiddel Foscarnet sodium
injecteerbaar geneesmiddel Ganciclovir sodium
3662
Verenigbaar
injecteerbaar geneesmiddel Foscarnet sodium 24 mg/ml
injecteerbaar geneesmiddel Gentamicin sulfate 4 mg/ml
Geen 73
Verenigbaar
injecteerbaar geneesmiddel Foscarnet sodium 24 mg/ml
injecteerbaar geneesmiddel Gentamicin sulfate 2 mg/ml
Natriumchloride 0,9% 1135
Verenigbaar
injecteerbaar geneesmiddel Foscarnet sodium 24 mg/ml
injecteerbaar geneesmiddel Gentamicin sulfate 2 mg/ml
Glucose 5% 1135
Onmiddellijke neerslag Onverenigbaar
injecteerbaar geneesmiddel Foscarnet sodium 24 mg/ml
injecteerbaar geneesmiddel Haloperidol lactate 5 mg/ml
Geen 73
Verenigbaar
injecteerbaar geneesmiddel Foscarnet sodium 24 mg/ml
injecteerbaar geneesmiddel Heparin sodium 100 UI/ml
Natriumchloride 0,9% 1135
Verenigbaar
injecteerbaar geneesmiddel Foscarnet sodium 24 mg/ml
injecteerbaar geneesmiddel Heparin sodium 1000 UI/ml
Geen 73
Verenigbaar
injecteerbaar geneesmiddel Foscarnet sodium 24 mg/ml
injecteerbaar geneesmiddel Heparin sodium 100 UI/ml
Glucose 5% 1135
Verenigbaar
injecteerbaar geneesmiddel Foscarnet sodium 24 mg/ml
injecteerbaar geneesmiddel Hydrocortisone sodium succinate 50 mg/ml
Geen 73
Verenigbaar
injecteerbaar geneesmiddel Foscarnet sodium 24 mg/ml
injecteerbaar geneesmiddel Hydromorphone hydrochloride 10 mg/ml
Geen 73
Verenigbaar
injecteerbaar geneesmiddel Foscarnet sodium 24 mg/ml
injecteerbaar geneesmiddel Hydroxyzine dihydrochloride 50 mg/ml
Geen 73
Verenigbaar
injecteerbaar geneesmiddel Foscarnet sodium 24 mg/ml
injecteerbaar geneesmiddel Imipenem - cilastatin sodium 5 mg/ml
Glucose 5% 1135
Verenigbaar
injecteerbaar geneesmiddel Foscarnet sodium 24 mg/ml
injecteerbaar geneesmiddel Imipenem - cilastatin sodium 10 mg/ml
Geen 73
Niet-gespecificeerde incompatibiliteit Onverenigbaar
injecteerbaar geneesmiddel Foscarnet sodium
injecteerbaar geneesmiddel Levofolinate calcium
3662
Verenigbaar
injecteerbaar geneesmiddel Foscarnet sodium 24 mg/ml
injecteerbaar geneesmiddel Lorazepam 0,08 mg/ml
Natriumchloride 0,9% 1135
Verenigbaar
injecteerbaar geneesmiddel Foscarnet sodium 24 mg/ml
injecteerbaar geneesmiddel Lorazepam 0,08 mg/ml
Glucose 5% 1135
Productie van gasbellen Onverenigbaar
injecteerbaar geneesmiddel Foscarnet sodium 24 mg/ml
injecteerbaar geneesmiddel Lorazepam 4 mg/ml
Geen 73
Verenigbaar
injecteerbaar geneesmiddel Foscarnet sodium 24 mg/ml
injecteerbaar geneesmiddel Meropenem 50 mg/ml
Water voor injectie 4319
Verenigbaar
injecteerbaar geneesmiddel Foscarnet sodium 24 mg/ml
injecteerbaar geneesmiddel Metoclopramide hydrochloride 2 mg/ml
Natriumchloride 0,9% 1135
Verenigbaar
injecteerbaar geneesmiddel Foscarnet sodium 24 mg/ml
injecteerbaar geneesmiddel Metoclopramide hydrochloride 4 mg/ml
Geen 73
Verenigbaar
injecteerbaar geneesmiddel Foscarnet sodium 24 mg/ml
injecteerbaar geneesmiddel Metoclopramide hydrochloride 2 mg/ml
Glucose 5% 1135
Verenigbaar
injecteerbaar geneesmiddel Foscarnet sodium 24 mg/ml
injecteerbaar geneesmiddel Metronidazole 5 mg/ml
Natriumchloride 0,9% 1135
Verenigbaar
injecteerbaar geneesmiddel Foscarnet sodium 24 mg/ml
injecteerbaar geneesmiddel Metronidazole 5 mg/ml
Geen 73
Productie van gasbellen Onverenigbaar
injecteerbaar geneesmiddel Foscarnet sodium 24 mg/ml
injecteerbaar geneesmiddel Midazolam hydrochloride 5 mg/ml
Geen 73
Verenigbaar
injecteerbaar geneesmiddel Foscarnet sodium 24 mg/ml
injecteerbaar geneesmiddel Morphine sulfate 1 mg/ml
Natriumchloride 0,9% 1135
Verenigbaar
injecteerbaar geneesmiddel Foscarnet sodium 24 mg/ml
injecteerbaar geneesmiddel Morphine sulfate 15 mg/ml
Geen 64
Verenigbaar
injecteerbaar geneesmiddel Foscarnet sodium 24 mg/ml
injecteerbaar geneesmiddel Morphine sulfate 5 mg/ml
Natriumchloride 0,9% 64
Verenigbaar
injecteerbaar geneesmiddel Foscarnet sodium 24 mg/ml
injecteerbaar geneesmiddel Morphine sulfate 1 mg/ml
Glucose 5% 1135
Verenigbaar
injecteerbaar geneesmiddel Foscarnet sodium 24 mg/ml
injecteerbaar geneesmiddel Morphine sulfate 1 mg/ml
Geen 73
Verenigbaar
injecteerbaar geneesmiddel Foscarnet sodium 24 mg/ml
injecteerbaar geneesmiddel Nafcillin sodium 20 mg/ml
Glucose 5% 1135
Verenigbaar
injecteerbaar geneesmiddel Foscarnet sodium 24 mg/ml
injecteerbaar geneesmiddel Nafcillin sodium 20 mg/ml
Natriumchloride 0,9% 1135
Verenigbaar
injecteerbaar geneesmiddel Foscarnet sodium 24 mg/ml
injecteerbaar geneesmiddel Oxacillin sodium 40 mg/ml
Geen 73
Verenigbaar
injecteerbaar geneesmiddel Foscarnet sodium 24 mg/ml
injecteerbaar geneesmiddel Oxacillin sodium 20 mg/ml
Glucose 5% 1135
Niet-gespecificeerde incompatibiliteit Onverenigbaar
injecteerbaar geneesmiddel Foscarnet sodium
Glucose 30% 3662
Verenigbaar
injecteerbaar geneesmiddel Foscarnet sodium 24 mg/ml
injecteerbaar geneesmiddel Oxacillin sodium 20 mg/ml
Natriumchloride 0,9% 1135
Verenigbaar
injecteerbaar geneesmiddel Foscarnet sodium 24 mg/ml
injecteerbaar geneesmiddel Penicillin G potassium 0.1 MUI/ml
Geen 73
Onmiddellijke neerslag Onverenigbaar
injecteerbaar geneesmiddel Foscarnet sodium 24 mg/ml
injecteerbaar geneesmiddel Pentamidine isetionate 6 mg/ml
Geen 73
Onmiddellijke neerslag Onverenigbaar
injecteerbaar geneesmiddel Foscarnet sodium 24 mg/ml
injecteerbaar geneesmiddel Pentamidine isetionate 6 mg/ml
Glucose 5% 1135
Niet-gespecificeerde incompatibiliteit Onverenigbaar
injecteerbaar geneesmiddel Foscarnet sodium
injecteerbaar geneesmiddel Pentamidine isetionate
3662
Onmiddellijke neerslag Onverenigbaar
injecteerbaar geneesmiddel Foscarnet sodium 24 mg/ml
injecteerbaar geneesmiddel Pentamidine isetionate 6 mg/ml
Natriumchloride 0,9% 1135
Onmiddellijke neerslag Onverenigbaar
injecteerbaar geneesmiddel Foscarnet sodium 24 mg/ml
injecteerbaar geneesmiddel Phenytoin sodium 50 mg/ml
Geen 73
Verenigbaar
injecteerbaar geneesmiddel Foscarnet sodium 24 mg/ml
injecteerbaar geneesmiddel Piperacillin sodium 80 mg/ml
Geen 73
Onmiddellijke troebelheid Onverenigbaar
injecteerbaar geneesmiddel Foscarnet sodium 24 mg/ml
injecteerbaar geneesmiddel Prochlorperazine edysilate 5 mg/ml
Geen 73
Productie van gasbellen Onverenigbaar
injecteerbaar geneesmiddel Foscarnet sodium 24 mg/ml
injecteerbaar geneesmiddel Promethazine hydrochloride 50 mg/ml
Geen 73
Verenigbaar
injecteerbaar geneesmiddel Foscarnet sodium 24 mg/ml
injecteerbaar geneesmiddel Ranitidine hydrochloride 2 mg/ml
Natriumchloride 0,9% 1135
Verenigbaar
injecteerbaar geneesmiddel Foscarnet sodium 24 mg/ml
injecteerbaar geneesmiddel Ranitidine hydrochloride 2 mg/ml
Glucose 5% 1135
Verenigbaar
injecteerbaar geneesmiddel Foscarnet sodium 24 mg/ml
injecteerbaar geneesmiddel Ticarcillin / clavulanic acid 100 mg/ml
Natriumchloride 0,9% 1135
Verenigbaar
injecteerbaar geneesmiddel Foscarnet sodium 24 mg/ml
injecteerbaar geneesmiddel Ticarcillin / clavulanic acid 100 mg/ml
Glucose 5% 1135
Verenigbaar
injecteerbaar geneesmiddel Foscarnet sodium 24 mg/ml
injecteerbaar geneesmiddel Tobramycin sulfate 40 mg/ml
Geen 73
Verenigbaar
injecteerbaar geneesmiddel Foscarnet sodium 24 mg/ml
injecteerbaar geneesmiddel Vancomycin hydrochloride 10 mg/ml
Natriumchloride 0,9% 132
Niet-gespecificeerde incompatibiliteit Onverenigbaar
injecteerbaar geneesmiddel Foscarnet sodium
injecteerbaar geneesmiddel Vancomycin hydrochloride
3662
Verenigbaar
injecteerbaar geneesmiddel Foscarnet sodium 24 mg/ml
injecteerbaar geneesmiddel Vancomycin hydrochloride 15 mg/ml
Natriumchloride 0,9% 1135
Verenigbaar
injecteerbaar geneesmiddel Foscarnet sodium 24 mg/ml
injecteerbaar geneesmiddel Vancomycin hydrochloride 15 mg/ml
Glucose 5% 1135
Onmiddellijke neerslag Onverenigbaar
injecteerbaar geneesmiddel Foscarnet sodium 24 mg/ml
injecteerbaar geneesmiddel Vancomycin hydrochloride 20 mg/ml
Geen 73

  Mentions Légales