Dernière mise à jour :
31/03/2026
Antiviral   Foscarnet sodium  
injectable
Stabilité des solutions Stabilité en mélange Facteur influençant la stabilité Compatibilités Voie d’administration Bibliographie pdf
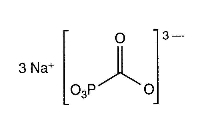
   Structure chimique  

Noms commerciaux   Noms commerciaux     

Les noms commerciaux sont donnés à titre indicatif et la composition en excipients peut être différente selon les pays et selon les laboratoires

Foscarnet Argentine, Chili, Colombie, Equateur, Espagne, Etats Unis d’Amérique, Mexique, Pérou, Portugal
Foscavir Allemagne, Australie, Autriche, Belgique, Espagne, Etats Unis d’Amérique, France, Grande Bretagne, Grèce, Hongrie, Italie, Luxembourg, Nouvelle Zélande, Pays bas, Suède, Suisse
Compatibilités   injectable   Compatibilités : Foscarnet sodium              
Cet écran indique les compatibilités ou incompatibilités avec, dans ce cas, le type d'incompatibilité (précipitation, changement de couleur, modification d'une émulsion, etc.). Les compatibilités présentées ici sont pour la plupart uniquement physiques, la stabilité chimique de chaque molécule étant rarement évaluée. L'évaluation de ces mélanges a été étudiée pour envisager la possibilité d'une administration en site Y au patient. Ces données ne peuvent pas être utilisées pour préparer des mélanges à l'avance dans des poches de perfusion ou des seringues. Ce type d'informations est disponible dans l'écran « Stabilité en mélange ».
Molécule Solvant Bibliographie
Incompatibilité non précisée Incompatible
injectable Foscarnet sodium
injectable Aciclovir sodium
3595
Précipitation immédiate Incompatible
injectable Foscarnet sodium 24 mg/ml
injectable Aciclovir sodium 7 mg/ml
Glucose 5% 1135
Précipitation immédiate Incompatible
injectable Foscarnet sodium 24 mg/ml
injectable Aciclovir sodium 7 mg/ml
Chlorure de sodium 0,9% 1135
Incompatibilité non précisée Incompatible
injectable Foscarnet sodium
injectable Aciclovir sodium
3662
Précipitation immédiate Incompatible
injectable Foscarnet sodium 24 mg/ml
injectable Aciclovir sodium 10 mg/ml
Aucun 73
Compatible
injectable Foscarnet sodium 24 mg/ml
injectable Aldesleukin 0.0338 MUI/ml
Glucose 5% 36
Compatible
injectable Foscarnet sodium 24 mg/ml
injectable Amikacin sulfate 20 mg/ml
Aucun 73
Compatible
injectable Foscarnet sodium 24 mg/ml
injectable Aminophylline 25 mg/ml
Aucun 73
Turbidité immédiate Incompatible
injectable Foscarnet sodium 24 mg/ml
injectable Amphotericin B 0.6 mg/ml
Glucose 5% 1135
Incompatibilité non précisée Incompatible
injectable Foscarnet sodium
injectable Amphotericin B
3662
Précipitation immédiate Incompatible
injectable Foscarnet sodium 24 mg/ml
injectable Amphotericin B 5 mg/ml
Aucun 73
Compatible
injectable Foscarnet sodium 24 mg/ml
injectable Ampicillin sodium 20 mg/ml
Aucun 73
Compatible
injectable Foscarnet sodium 24 mg/ml
injectable Aztreonam 40 mg/ml
Chlorure de sodium 0,9% 1135
Compatible
injectable Foscarnet sodium 24 mg/ml
injectable Aztreonam 40 mg/ml
Glucose 5% 1135
Compatible
injectable Foscarnet sodium 24 mg/ml
injectable Aztreonam 40 mg/ml
Aucun 73
Incompatibilité non précisée Incompatible
injectable Foscarnet sodium
injectable Calcium chloride
3662
Incompatibilité non précisée Incompatible
injectable Foscarnet sodium
injectable Calcium glucoheptonate
3662
Incompatibilité non précisée Incompatible
injectable Foscarnet sodium
injectable Calcium gluconate
3662
Compatible
injectable Foscarnet sodium 24 mg/ml
injectable Cefazolin sodium 40 mg/ml
Aucun 73
Compatible
injectable Foscarnet sodium 24 mg/ml
injectable Cefoperazone sodium 40 mg/ml
Aucun 73
Compatible
injectable Foscarnet sodium 24 mg/ml
injectable Cefoxitin sodium 40 mg/ml
Aucun 73
Compatible
injectable Foscarnet sodium 24 mg/ml
injectable Ceftazidime 20 mg/ml
Glucose 5% 1135
Compatible
injectable Foscarnet sodium 24 mg/ml
injectable Ceftazidime 20 mg/ml
Aucun 73
Compatible
injectable Foscarnet sodium 24 mg/ml
injectable Ceftazidime 20 mg/ml
Chlorure de sodium 0,9% 1135
Compatible
injectable Foscarnet sodium
injectable Ceftazidime
3883
Compatible
injectable Foscarnet sodium 24 mg/ml
injectable Ceftizoxime sodium 40 mg/ml
Aucun 73
Compatible
injectable Foscarnet sodium 24 mg/ml
injectable Ceftriaxone disodium 20 mg/ml
Glucose 5% 1135
Compatible
injectable Foscarnet sodium 24 mg/ml
injectable Ceftriaxone disodium 20 mg/ml
Chlorure de sodium 0,9% 1135
Compatible
injectable Foscarnet sodium 24 mg/ml
injectable Cefuroxime sodium 30 mg/ml
Aucun 73
Compatible
injectable Foscarnet sodium 24 mg/ml
injectable Chloramphenicol sodium succinate 20 mg/ml
Aucun 73
Compatible
injectable Foscarnet sodium 24 mg/ml
injectable Cimetidine hydrochloride 150 mg/ml
Aucun 73
Compatible
injectable Foscarnet sodium 24 mg/ml
injectable Clindamycin phosphate 24 mg/ml
Aucun 73
Compatible
injectable Foscarnet sodium 24 mg/ml
injectable Clindamycin phosphate 12 mg/ml
Glucose 5% 1135
Compatible
injectable Foscarnet sodium 24 mg/ml
injectable Clindamycin phosphate 12 mg/ml
Chlorure de sodium 0,9% 1135
Incompatibilité non précisée Incompatible
injectable Foscarnet sodium
injectable Co-trimoxazole
3662
Compatible
injectable Foscarnet sodium 24 mg/ml
injectable Co-trimoxazole 2,6/0,53 mg/ml
Glucose 5% 1135
Précipitation immédiate Incompatible
injectable Foscarnet sodium 24 mg/ml
injectable Co-trimoxazole
Aucun 73
Compatible
injectable Foscarnet sodium 24 mg/ml
injectable Defibrotide 8 mg/ml
Chlorure de sodium 0,9% 3728
Compatible
injectable Foscarnet sodium 24 mg/ml
injectable Dexamethasone sodium phosphate 10 mg/ml
Aucun 73
Dégagement gazeux Incompatible
injectable Foscarnet sodium 24 mg/ml
injectable Diazepam 5 mg/ml
Aucun 73
Dégagement gazeux Incompatible
injectable Foscarnet sodium 24 mg/ml
injectable Digoxin 250 µg/ml
Aucun 73
Turbidité immédiate Incompatible
injectable Foscarnet sodium 24 mg/ml
injectable Diphenhydramine hydrochloride 50 mg/ml
Aucun 73
Précipitation immédiate Incompatible
injectable Foscarnet sodium 24 mg/ml
injectable Dobutamine hydrochloride 12.5 mg/ml
Aucun 73
Compatible
injectable Foscarnet sodium 24 mg/ml
injectable Dopamine hydrochloride 80 mg/ml
Aucun 73
Compatible
injectable Foscarnet sodium 24 mg/ml
injectable Doripenem 5 mg/ml
Glucose 5% 2262
Compatible
injectable Foscarnet sodium 24 mg/ml
injectable Doripenem 5 mg/ml
Chlorure de sodium 0,9% 2262
Précipitation immédiate Incompatible
injectable Foscarnet sodium 24 mg/ml
injectable Droperidol 2.5 mg/ml
Aucun 73
Compatible
injectable Foscarnet sodium 24 mg/ml
injectable Erythromycin lactobionate 20 mg/ml
Chlorure de sodium 0,9% 1135
Compatible
injectable Foscarnet sodium 24 mg/ml
injectable Erythromycin lactobionate 20 mg/ml
Aucun 73
Compatible
injectable Foscarnet sodium 24 mg/ml
injectable Fluconazole 2 mg/ml
Chlorure de sodium 0,9% 496
Turbidité immédiate Incompatible
injectable Foscarnet sodium 24 mg/ml
injectable Folinate calcium 10 mg/ml
Aucun 73
Compatible
injectable Foscarnet sodium 24 mg/ml
injectable Furosemide 10 mg/ml
Aucun 73
Précipitation immédiate Incompatible
injectable Foscarnet sodium 24 mg/ml
injectable Ganciclovir sodium 50 mg/ml
Aucun 73
Incompatibilité non précisée Incompatible
injectable Foscarnet sodium
injectable Ganciclovir sodium
3662
Compatible
injectable Foscarnet sodium 24 mg/ml
injectable Gentamicin sulfate 4 mg/ml
Aucun 73
Compatible
injectable Foscarnet sodium 24 mg/ml
injectable Gentamicin sulfate 2 mg/ml
Chlorure de sodium 0,9% 1135
Compatible
injectable Foscarnet sodium 24 mg/ml
injectable Gentamicin sulfate 2 mg/ml
Glucose 5% 1135
Précipitation immédiate Incompatible
injectable Foscarnet sodium 24 mg/ml
injectable Haloperidol lactate 5 mg/ml
Aucun 73
Compatible
injectable Foscarnet sodium 24 mg/ml
injectable Heparin sodium 100 UI/ml
Chlorure de sodium 0,9% 1135
Compatible
injectable Foscarnet sodium 24 mg/ml
injectable Heparin sodium 1000 UI/ml
Aucun 73
Compatible
injectable Foscarnet sodium 24 mg/ml
injectable Heparin sodium 100 UI/ml
Glucose 5% 1135
Compatible
injectable Foscarnet sodium 24 mg/ml
injectable Hydrocortisone sodium succinate 50 mg/ml
Aucun 73
Compatible
injectable Foscarnet sodium 24 mg/ml
injectable Hydromorphone hydrochloride 10 mg/ml
Aucun 73
Compatible
injectable Foscarnet sodium 24 mg/ml
injectable Hydroxyzine dihydrochloride 50 mg/ml
Aucun 73
Compatible
injectable Foscarnet sodium 24 mg/ml
injectable Imipenem - cilastatin sodium 5 mg/ml
Glucose 5% 1135
Compatible
injectable Foscarnet sodium 24 mg/ml
injectable Imipenem - cilastatin sodium 10 mg/ml
Aucun 73
Incompatibilité non précisée Incompatible
injectable Foscarnet sodium
injectable Levofolinate calcium
3662
Compatible
injectable Foscarnet sodium 24 mg/ml
injectable Lorazepam 0,08 mg/ml
Chlorure de sodium 0,9% 1135
Compatible
injectable Foscarnet sodium 24 mg/ml
injectable Lorazepam 0,08 mg/ml
Glucose 5% 1135
Dégagement gazeux Incompatible
injectable Foscarnet sodium 24 mg/ml
injectable Lorazepam 4 mg/ml
Aucun 73
Compatible
injectable Foscarnet sodium 24 mg/ml
injectable Meropenem 50 mg/ml
Eau pour préparation injectable 4319
Compatible
injectable Foscarnet sodium 24 mg/ml
injectable Metoclopramide hydrochloride 2 mg/ml
Chlorure de sodium 0,9% 1135
Compatible
injectable Foscarnet sodium 24 mg/ml
injectable Metoclopramide hydrochloride 4 mg/ml
Aucun 73
Compatible
injectable Foscarnet sodium 24 mg/ml
injectable Metoclopramide hydrochloride 2 mg/ml
Glucose 5% 1135
Compatible
injectable Foscarnet sodium 24 mg/ml
injectable Metronidazole 5 mg/ml
Chlorure de sodium 0,9% 1135
Compatible
injectable Foscarnet sodium 24 mg/ml
injectable Metronidazole 5 mg/ml
Aucun 73
Dégagement gazeux Incompatible
injectable Foscarnet sodium 24 mg/ml
injectable Midazolam hydrochloride 5 mg/ml
Aucun 73
Compatible
injectable Foscarnet sodium 24 mg/ml
injectable Morphine sulfate 1 mg/ml
Chlorure de sodium 0,9% 1135
Compatible
injectable Foscarnet sodium 24 mg/ml
injectable Morphine sulfate 15 mg/ml
Aucun 64
Compatible
injectable Foscarnet sodium 24 mg/ml
injectable Morphine sulfate 5 mg/ml
Chlorure de sodium 0,9% 64
Compatible
injectable Foscarnet sodium 24 mg/ml
injectable Morphine sulfate 1 mg/ml
Glucose 5% 1135
Compatible
injectable Foscarnet sodium 24 mg/ml
injectable Morphine sulfate 1 mg/ml
Aucun 73
Compatible
injectable Foscarnet sodium 24 mg/ml
injectable Nafcillin sodium 20 mg/ml
Glucose 5% 1135
Compatible
injectable Foscarnet sodium 24 mg/ml
injectable Nafcillin sodium 20 mg/ml
Chlorure de sodium 0,9% 1135
Compatible
injectable Foscarnet sodium 24 mg/ml
injectable Oxacillin sodium 40 mg/ml
Aucun 73
Compatible
injectable Foscarnet sodium 24 mg/ml
injectable Oxacillin sodium 20 mg/ml
Glucose 5% 1135
Incompatibilité non précisée Incompatible
injectable Foscarnet sodium
Glucose 30% 3662
Compatible
injectable Foscarnet sodium 24 mg/ml
injectable Oxacillin sodium 20 mg/ml
Chlorure de sodium 0,9% 1135
Compatible
injectable Foscarnet sodium 24 mg/ml
injectable Penicillin G potassium 0.1 MUI/ml
Aucun 73
Précipitation immédiate Incompatible
injectable Foscarnet sodium 24 mg/ml
injectable Pentamidine isetionate 6 mg/ml
Aucun 73
Précipitation immédiate Incompatible
injectable Foscarnet sodium 24 mg/ml
injectable Pentamidine isetionate 6 mg/ml
Glucose 5% 1135
Incompatibilité non précisée Incompatible
injectable Foscarnet sodium
injectable Pentamidine isetionate
3662
Précipitation immédiate Incompatible
injectable Foscarnet sodium 24 mg/ml
injectable Pentamidine isetionate 6 mg/ml
Chlorure de sodium 0,9% 1135
Précipitation immédiate Incompatible
injectable Foscarnet sodium 24 mg/ml
injectable Phenytoin sodium 50 mg/ml
Aucun 73
Compatible
injectable Foscarnet sodium 24 mg/ml
injectable Piperacillin sodium 80 mg/ml
Aucun 73
Turbidité immédiate Incompatible
injectable Foscarnet sodium 24 mg/ml
injectable Prochlorperazine edysilate 5 mg/ml
Aucun 73
Dégagement gazeux Incompatible
injectable Foscarnet sodium 24 mg/ml
injectable Promethazine hydrochloride 50 mg/ml
Aucun 73
Compatible
injectable Foscarnet sodium 24 mg/ml
injectable Ranitidine hydrochloride 2 mg/ml
Chlorure de sodium 0,9% 1135
Compatible
injectable Foscarnet sodium 24 mg/ml
injectable Ranitidine hydrochloride 2 mg/ml
Glucose 5% 1135
Compatible
injectable Foscarnet sodium 24 mg/ml
injectable Ticarcillin / clavulanic acid 100 mg/ml
Chlorure de sodium 0,9% 1135
Compatible
injectable Foscarnet sodium 24 mg/ml
injectable Ticarcillin / clavulanic acid 100 mg/ml
Glucose 5% 1135
Compatible
injectable Foscarnet sodium 24 mg/ml
injectable Tobramycin sulfate 40 mg/ml
Aucun 73
Compatible
injectable Foscarnet sodium 24 mg/ml
injectable Vancomycin hydrochloride 10 mg/ml
Chlorure de sodium 0,9% 132
Incompatibilité non précisée Incompatible
injectable Foscarnet sodium
injectable Vancomycin hydrochloride
3662
Compatible
injectable Foscarnet sodium 24 mg/ml
injectable Vancomycin hydrochloride 15 mg/ml
Chlorure de sodium 0,9% 1135
Compatible
injectable Foscarnet sodium 24 mg/ml
injectable Vancomycin hydrochloride 15 mg/ml
Glucose 5% 1135
Précipitation immédiate Incompatible
injectable Foscarnet sodium 24 mg/ml
injectable Vancomycin hydrochloride 20 mg/ml
Aucun 73

  Mentions Légales