Poslední aktualizace :
31/03/2026
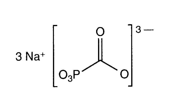
Priešvirusinis vaistas   Foscarnet sodium  
Įpurškimas
Tirpalų stabilumas Mišinių stabilumas Stabilumą lemiantys veiksniai Suderinamumas Leidimo būdai Bibliografija pdf
   Cheminė sandara  

Prekinis pavadinimas   Prekinis pavadinimas     

Trade names are indicative and excipients composition can be different depending on the country and manufacturers

Foscarnet Argentina, Čilė, Ekvadoras, Ispanija, Jungtinės Amerikos Valstijos, Kolumbija, Meksikas, Peru, Portugalija
Foscavir Australija, Austrija, Belgija, Didžioji Britanija, Graikija, Ispanija, Italija, Jungtinės Amerikos Valstijos, Liuksemburgas, Naujojoje Zelandijoje, Olandija, Prancūzija, Švedija, Šveicarija, Vengrija, Vokietija
Suderinamumas   Įpurškimas   Suderinamumas : Foscarnet sodium              
explication_incompatibilite_molecules
Molekulė Tirpiklis Nuorodos
Nepatikslintas nesuderinamumas Nesuderinamas
Įpurškimas Foscarnet sodium
Įpurškimas Aciclovir sodium
3595
Nedelsiant krituliai Nesuderinamas
Įpurškimas Foscarnet sodium 24 mg/ml
Įpurškimas Aciclovir sodium 7 mg/ml
Gliukozė 5% 1135
Nedelsiant krituliai Nesuderinamas
Įpurškimas Foscarnet sodium 24 mg/ml
Įpurškimas Aciclovir sodium 7 mg/ml
Natrio chloridas 0,9% 1135
Nepatikslintas nesuderinamumas Nesuderinamas
Įpurškimas Foscarnet sodium
Įpurškimas Aciclovir sodium
3662
Nedelsiant krituliai Nesuderinamas
Įpurškimas Foscarnet sodium 24 mg/ml
Įpurškimas Aciclovir sodium 10 mg/ml
Nėra 73
Suderinamas
Įpurškimas Foscarnet sodium 24 mg/ml
Įpurškimas Aldesleukin 0.0338 MUI/ml
Gliukozė 5% 36
Suderinamas
Įpurškimas Foscarnet sodium 24 mg/ml
Įpurškimas Amikacin sulfate 20 mg/ml
Nėra 73
Suderinamas
Įpurškimas Foscarnet sodium 24 mg/ml
Įpurškimas Aminophylline 25 mg/ml
Nėra 73
Tiesioginis drumstumas Nesuderinamas
Įpurškimas Foscarnet sodium 24 mg/ml
Įpurškimas Amphotericin B 0.6 mg/ml
Gliukozė 5% 1135
Nepatikslintas nesuderinamumas Nesuderinamas
Įpurškimas Foscarnet sodium
Įpurškimas Amphotericin B
3662
Nedelsiant krituliai Nesuderinamas
Įpurškimas Foscarnet sodium 24 mg/ml
Įpurškimas Amphotericin B 5 mg/ml
Nėra 73
Suderinamas
Įpurškimas Foscarnet sodium 24 mg/ml
Įpurškimas Ampicillin sodium 20 mg/ml
Nėra 73
Suderinamas
Įpurškimas Foscarnet sodium 24 mg/ml
Įpurškimas Aztreonam 40 mg/ml
Natrio chloridas 0,9% 1135
Suderinamas
Įpurškimas Foscarnet sodium 24 mg/ml
Įpurškimas Aztreonam 40 mg/ml
Gliukozė 5% 1135
Suderinamas
Įpurškimas Foscarnet sodium 24 mg/ml
Įpurškimas Aztreonam 40 mg/ml
Nėra 73
Nepatikslintas nesuderinamumas Nesuderinamas
Įpurškimas Foscarnet sodium
Įpurškimas Calcium chloride
3662
Nepatikslintas nesuderinamumas Nesuderinamas
Įpurškimas Foscarnet sodium
Įpurškimas Calcium glucoheptonate
3662
Nepatikslintas nesuderinamumas Nesuderinamas
Įpurškimas Foscarnet sodium
Įpurškimas Calcium gluconate
3662
Suderinamas
Įpurškimas Foscarnet sodium 24 mg/ml
Įpurškimas Cefazolin sodium 40 mg/ml
Nėra 73
Suderinamas
Įpurškimas Foscarnet sodium 24 mg/ml
Įpurškimas Cefoperazone sodium 40 mg/ml
Nėra 73
Suderinamas
Įpurškimas Foscarnet sodium 24 mg/ml
Įpurškimas Cefoxitin sodium 40 mg/ml
Nėra 73
Suderinamas
Įpurškimas Foscarnet sodium 24 mg/ml
Įpurškimas Ceftazidime 20 mg/ml
Gliukozė 5% 1135
Suderinamas
Įpurškimas Foscarnet sodium 24 mg/ml
Įpurškimas Ceftazidime 20 mg/ml
Nėra 73
Suderinamas
Įpurškimas Foscarnet sodium 24 mg/ml
Įpurškimas Ceftazidime 20 mg/ml
Natrio chloridas 0,9% 1135
Suderinamas
Įpurškimas Foscarnet sodium
Įpurškimas Ceftazidime
3883
Suderinamas
Įpurškimas Foscarnet sodium 24 mg/ml
Įpurškimas Ceftizoxime sodium 40 mg/ml
Nėra 73
Suderinamas
Įpurškimas Foscarnet sodium 24 mg/ml
Įpurškimas Ceftriaxone disodium 20 mg/ml
Gliukozė 5% 1135
Suderinamas
Įpurškimas Foscarnet sodium 24 mg/ml
Įpurškimas Ceftriaxone disodium 20 mg/ml
Natrio chloridas 0,9% 1135
Suderinamas
Įpurškimas Foscarnet sodium 24 mg/ml
Įpurškimas Cefuroxime sodium 30 mg/ml
Nėra 73
Suderinamas
Įpurškimas Foscarnet sodium 24 mg/ml
Įpurškimas Chloramphenicol sodium succinate 20 mg/ml
Nėra 73
Suderinamas
Įpurškimas Foscarnet sodium 24 mg/ml
Įpurškimas Cimetidine hydrochloride 150 mg/ml
Nėra 73
Suderinamas
Įpurškimas Foscarnet sodium 24 mg/ml
Įpurškimas Clindamycin phosphate 24 mg/ml
Nėra 73
Suderinamas
Įpurškimas Foscarnet sodium 24 mg/ml
Įpurškimas Clindamycin phosphate 12 mg/ml
Gliukozė 5% 1135
Suderinamas
Įpurškimas Foscarnet sodium 24 mg/ml
Įpurškimas Clindamycin phosphate 12 mg/ml
Natrio chloridas 0,9% 1135
Nepatikslintas nesuderinamumas Nesuderinamas
Įpurškimas Foscarnet sodium
Įpurškimas Co-trimoxazole
3662
Suderinamas
Įpurškimas Foscarnet sodium 24 mg/ml
Įpurškimas Co-trimoxazole 2,6/0,53 mg/ml
Gliukozė 5% 1135
Nedelsiant krituliai Nesuderinamas
Įpurškimas Foscarnet sodium 24 mg/ml
Įpurškimas Co-trimoxazole
Nėra 73
Suderinamas
Įpurškimas Foscarnet sodium 24 mg/ml
Įpurškimas Defibrotide 8 mg/ml
Natrio chloridas 0,9% 3728
Suderinamas
Įpurškimas Foscarnet sodium 24 mg/ml
Įpurškimas Dexamethasone sodium phosphate 10 mg/ml
Nėra 73
Dujų burbulų susidarymas Nesuderinamas
Įpurškimas Foscarnet sodium 24 mg/ml
Įpurškimas Diazepam 5 mg/ml
Nėra 73
Dujų burbulų susidarymas Nesuderinamas
Įpurškimas Foscarnet sodium 24 mg/ml
Įpurškimas Digoxin 250 µg/ml
Nėra 73
Tiesioginis drumstumas Nesuderinamas
Įpurškimas Foscarnet sodium 24 mg/ml
Įpurškimas Diphenhydramine hydrochloride 50 mg/ml
Nėra 73
Nedelsiant krituliai Nesuderinamas
Įpurškimas Foscarnet sodium 24 mg/ml
Įpurškimas Dobutamine hydrochloride 12.5 mg/ml
Nėra 73
Suderinamas
Įpurškimas Foscarnet sodium 24 mg/ml
Įpurškimas Dopamine hydrochloride 80 mg/ml
Nėra 73
Suderinamas
Įpurškimas Foscarnet sodium 24 mg/ml
Įpurškimas Doripenem 5 mg/ml
Gliukozė 5% 2262
Suderinamas
Įpurškimas Foscarnet sodium 24 mg/ml
Įpurškimas Doripenem 5 mg/ml
Natrio chloridas 0,9% 2262
Nedelsiant krituliai Nesuderinamas
Įpurškimas Foscarnet sodium 24 mg/ml
Įpurškimas Droperidol 2.5 mg/ml
Nėra 73
Suderinamas
Įpurškimas Foscarnet sodium 24 mg/ml
Įpurškimas Erythromycin lactobionate 20 mg/ml
Natrio chloridas 0,9% 1135
Suderinamas
Įpurškimas Foscarnet sodium 24 mg/ml
Įpurškimas Erythromycin lactobionate 20 mg/ml
Nėra 73
Suderinamas
Įpurškimas Foscarnet sodium 24 mg/ml
Įpurškimas Fluconazole 2 mg/ml
Natrio chloridas 0,9% 496
Tiesioginis drumstumas Nesuderinamas
Įpurškimas Foscarnet sodium 24 mg/ml
Įpurškimas Folinate calcium 10 mg/ml
Nėra 73
Suderinamas
Įpurškimas Foscarnet sodium 24 mg/ml
Įpurškimas Furosemide 10 mg/ml
Nėra 73
Nedelsiant krituliai Nesuderinamas
Įpurškimas Foscarnet sodium 24 mg/ml
Įpurškimas Ganciclovir sodium 50 mg/ml
Nėra 73
Nepatikslintas nesuderinamumas Nesuderinamas
Įpurškimas Foscarnet sodium
Įpurškimas Ganciclovir sodium
3662
Suderinamas
Įpurškimas Foscarnet sodium 24 mg/ml
Įpurškimas Gentamicin sulfate 4 mg/ml
Nėra 73
Suderinamas
Įpurškimas Foscarnet sodium 24 mg/ml
Įpurškimas Gentamicin sulfate 2 mg/ml
Natrio chloridas 0,9% 1135
Suderinamas
Įpurškimas Foscarnet sodium 24 mg/ml
Įpurškimas Gentamicin sulfate 2 mg/ml
Gliukozė 5% 1135
Nedelsiant krituliai Nesuderinamas
Įpurškimas Foscarnet sodium 24 mg/ml
Įpurškimas Haloperidol lactate 5 mg/ml
Nėra 73
Suderinamas
Įpurškimas Foscarnet sodium 24 mg/ml
Įpurškimas Heparin sodium 100 UI/ml
Natrio chloridas 0,9% 1135
Suderinamas
Įpurškimas Foscarnet sodium 24 mg/ml
Įpurškimas Heparin sodium 1000 UI/ml
Nėra 73
Suderinamas
Įpurškimas Foscarnet sodium 24 mg/ml
Įpurškimas Heparin sodium 100 UI/ml
Gliukozė 5% 1135
Suderinamas
Įpurškimas Foscarnet sodium 24 mg/ml
Įpurškimas Hydrocortisone sodium succinate 50 mg/ml
Nėra 73
Suderinamas
Įpurškimas Foscarnet sodium 24 mg/ml
Įpurškimas Hydromorphone hydrochloride 10 mg/ml
Nėra 73
Suderinamas
Įpurškimas Foscarnet sodium 24 mg/ml
Įpurškimas Hydroxyzine dihydrochloride 50 mg/ml
Nėra 73
Suderinamas
Įpurškimas Foscarnet sodium 24 mg/ml
Įpurškimas Imipenem - cilastatin sodium 5 mg/ml
Gliukozė 5% 1135
Suderinamas
Įpurškimas Foscarnet sodium 24 mg/ml
Įpurškimas Imipenem - cilastatin sodium 10 mg/ml
Nėra 73
Nepatikslintas nesuderinamumas Nesuderinamas
Įpurškimas Foscarnet sodium
Įpurškimas Levofolinate calcium
3662
Suderinamas
Įpurškimas Foscarnet sodium 24 mg/ml
Įpurškimas Lorazepam 0,08 mg/ml
Natrio chloridas 0,9% 1135
Suderinamas
Įpurškimas Foscarnet sodium 24 mg/ml
Įpurškimas Lorazepam 0,08 mg/ml
Gliukozė 5% 1135
Dujų burbulų susidarymas Nesuderinamas
Įpurškimas Foscarnet sodium 24 mg/ml
Įpurškimas Lorazepam 4 mg/ml
Nėra 73
Suderinamas
Įpurškimas Foscarnet sodium 24 mg/ml
Įpurškimas Meropenem 50 mg/ml
Vanduo injekcijoms 4319
Suderinamas
Įpurškimas Foscarnet sodium 24 mg/ml
Įpurškimas Metoclopramide hydrochloride 2 mg/ml
Natrio chloridas 0,9% 1135
Suderinamas
Įpurškimas Foscarnet sodium 24 mg/ml
Įpurškimas Metoclopramide hydrochloride 4 mg/ml
Nėra 73
Suderinamas
Įpurškimas Foscarnet sodium 24 mg/ml
Įpurškimas Metoclopramide hydrochloride 2 mg/ml
Gliukozė 5% 1135
Suderinamas
Įpurškimas Foscarnet sodium 24 mg/ml
Įpurškimas Metronidazole 5 mg/ml
Natrio chloridas 0,9% 1135
Suderinamas
Įpurškimas Foscarnet sodium 24 mg/ml
Įpurškimas Metronidazole 5 mg/ml
Nėra 73
Dujų burbulų susidarymas Nesuderinamas
Įpurškimas Foscarnet sodium 24 mg/ml
Įpurškimas Midazolam hydrochloride 5 mg/ml
Nėra 73
Suderinamas
Įpurškimas Foscarnet sodium 24 mg/ml
Įpurškimas Morphine sulfate 1 mg/ml
Natrio chloridas 0,9% 1135
Suderinamas
Įpurškimas Foscarnet sodium 24 mg/ml
Įpurškimas Morphine sulfate 15 mg/ml
Nėra 64
Suderinamas
Įpurškimas Foscarnet sodium 24 mg/ml
Įpurškimas Morphine sulfate 5 mg/ml
Natrio chloridas 0,9% 64
Suderinamas
Įpurškimas Foscarnet sodium 24 mg/ml
Įpurškimas Morphine sulfate 1 mg/ml
Gliukozė 5% 1135
Suderinamas
Įpurškimas Foscarnet sodium 24 mg/ml
Įpurškimas Morphine sulfate 1 mg/ml
Nėra 73
Suderinamas
Įpurškimas Foscarnet sodium 24 mg/ml
Įpurškimas Nafcillin sodium 20 mg/ml
Gliukozė 5% 1135
Suderinamas
Įpurškimas Foscarnet sodium 24 mg/ml
Įpurškimas Nafcillin sodium 20 mg/ml
Natrio chloridas 0,9% 1135
Suderinamas
Įpurškimas Foscarnet sodium 24 mg/ml
Įpurškimas Oxacillin sodium 40 mg/ml
Nėra 73
Suderinamas
Įpurškimas Foscarnet sodium 24 mg/ml
Įpurškimas Oxacillin sodium 20 mg/ml
Gliukozė 5% 1135
Nepatikslintas nesuderinamumas Nesuderinamas
Įpurškimas Foscarnet sodium
Gliukozė 30% 3662
Suderinamas
Įpurškimas Foscarnet sodium 24 mg/ml
Įpurškimas Oxacillin sodium 20 mg/ml
Natrio chloridas 0,9% 1135
Suderinamas
Įpurškimas Foscarnet sodium 24 mg/ml
Įpurškimas Penicillin G potassium 0.1 MUI/ml
Nėra 73
Nedelsiant krituliai Nesuderinamas
Įpurškimas Foscarnet sodium 24 mg/ml
Įpurškimas Pentamidine isetionate 6 mg/ml
Nėra 73
Nedelsiant krituliai Nesuderinamas
Įpurškimas Foscarnet sodium 24 mg/ml
Įpurškimas Pentamidine isetionate 6 mg/ml
Gliukozė 5% 1135
Nepatikslintas nesuderinamumas Nesuderinamas
Įpurškimas Foscarnet sodium
Įpurškimas Pentamidine isetionate
3662
Nedelsiant krituliai Nesuderinamas
Įpurškimas Foscarnet sodium 24 mg/ml
Įpurškimas Pentamidine isetionate 6 mg/ml
Natrio chloridas 0,9% 1135
Nedelsiant krituliai Nesuderinamas
Įpurškimas Foscarnet sodium 24 mg/ml
Įpurškimas Phenytoin sodium 50 mg/ml
Nėra 73
Suderinamas
Įpurškimas Foscarnet sodium 24 mg/ml
Įpurškimas Piperacillin sodium 80 mg/ml
Nėra 73
Tiesioginis drumstumas Nesuderinamas
Įpurškimas Foscarnet sodium 24 mg/ml
Įpurškimas Prochlorperazine edysilate 5 mg/ml
Nėra 73
Dujų burbulų susidarymas Nesuderinamas
Įpurškimas Foscarnet sodium 24 mg/ml
Įpurškimas Promethazine hydrochloride 50 mg/ml
Nėra 73
Suderinamas
Įpurškimas Foscarnet sodium 24 mg/ml
Įpurškimas Ranitidine hydrochloride 2 mg/ml
Natrio chloridas 0,9% 1135
Suderinamas
Įpurškimas Foscarnet sodium 24 mg/ml
Įpurškimas Ranitidine hydrochloride 2 mg/ml
Gliukozė 5% 1135
Suderinamas
Įpurškimas Foscarnet sodium 24 mg/ml
Įpurškimas Ticarcillin / clavulanic acid 100 mg/ml
Natrio chloridas 0,9% 1135
Suderinamas
Įpurškimas Foscarnet sodium 24 mg/ml
Įpurškimas Ticarcillin / clavulanic acid 100 mg/ml
Gliukozė 5% 1135
Suderinamas
Įpurškimas Foscarnet sodium 24 mg/ml
Įpurškimas Tobramycin sulfate 40 mg/ml
Nėra 73
Suderinamas
Įpurškimas Foscarnet sodium 24 mg/ml
Įpurškimas Vancomycin hydrochloride 10 mg/ml
Natrio chloridas 0,9% 132
Nepatikslintas nesuderinamumas Nesuderinamas
Įpurškimas Foscarnet sodium
Įpurškimas Vancomycin hydrochloride
3662
Suderinamas
Įpurškimas Foscarnet sodium 24 mg/ml
Įpurškimas Vancomycin hydrochloride 15 mg/ml
Natrio chloridas 0,9% 1135
Suderinamas
Įpurškimas Foscarnet sodium 24 mg/ml
Įpurškimas Vancomycin hydrochloride 15 mg/ml
Gliukozė 5% 1135
Nedelsiant krituliai Nesuderinamas
Įpurškimas Foscarnet sodium 24 mg/ml
Įpurškimas Vancomycin hydrochloride 20 mg/ml
Nėra 73

  Mentions Légales