Posledná aktualizácia :
31/03/2026
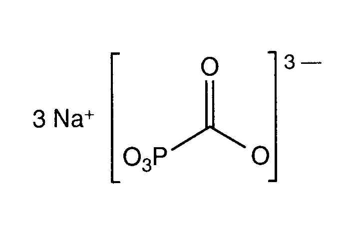
antivirotikum   Foscarnet sodium  
Injekcia
Stabilita roztokov Stabilita v zmesiach Faktory ovplyvňujúce stabilitu Kompatibility spôsob podania Odkazy na literatúru PDF
   Chemický vzorec  

Obchodný názov   Obchodný názov     

Obchodné názvy sú orientačné, a zloženie pomocných látok sa môže líšiť v závislosti od krajiny a výrobcu.

Foscarnet Argentína, Čile, Ekvádor, Kolumbia, Mexiko, peru, Portugalsko, Španielsko, Spojené štáty Americké
Foscavir Austrália, Belgicko, Francúzsko, Grécko, Holandsko, Luxembursko, Maďarsko, Nemecko, nový Zéland, Rakúsko, Španielsko, Spojené štáty Americké, Švajčiarsko, Švédsko, Taliansko, Veľká Británia
Kompatibility   Injekcia   Kompatibility : Foscarnet sodium              
Toto okno zobrazuje kompatibility alebo inkombatibility, v prípade inkompatibility aj jej typ (vyzrážanie, zmena farby, zmena emulzie atď.). Tu vymenované kompatibility sú väčšinou len fyzikálne, chemická stabilita každej zo zlúčenín sa hodnotila len zriedkavo. Tieto zmesi sa skúmali za účelom možnosti súbežného podávania pacientovi cez infúznu spojku Y. Údaje sa nedajú použiť na prípravu zmesí vo vakoch alebo striekačkách. Taká informácia sa nachádza v okne „Stabilita v zmesiach“.
Zlúčenina rozpúšťadlo odkazy na lieteratúru
Nešpecifikovaná nekompatibilita nezlučiteľný
Injekcia Foscarnet sodium
Injekcia Aciclovir sodium
3595
Okamžité zrážanie nezlučiteľný
Injekcia Foscarnet sodium 24 mg/ml
Injekcia Aciclovir sodium 7 mg/ml
5% glukóza 1135
Okamžité zrážanie nezlučiteľný
Injekcia Foscarnet sodium 24 mg/ml
Injekcia Aciclovir sodium 7 mg/ml
0,9% chlorid sodný 1135
Nešpecifikovaná nekompatibilita nezlučiteľný
Injekcia Foscarnet sodium
Injekcia Aciclovir sodium
3662
Okamžité zrážanie nezlučiteľný
Injekcia Foscarnet sodium 24 mg/ml
Injekcia Aciclovir sodium 10 mg/ml
Žiadny 73
kompatibilný
Injekcia Foscarnet sodium 24 mg/ml
Injekcia Aldesleukin 0.0338 MUI/ml
5% glukóza 36
kompatibilný
Injekcia Foscarnet sodium 24 mg/ml
Injekcia Amikacin sulfate 20 mg/ml
Žiadny 73
kompatibilný
Injekcia Foscarnet sodium 24 mg/ml
Injekcia Aminophylline 25 mg/ml
Žiadny 73
Okamžitá zákal nezlučiteľný
Injekcia Foscarnet sodium 24 mg/ml
Injekcia Amphotericin B 0.6 mg/ml
5% glukóza 1135
Nešpecifikovaná nekompatibilita nezlučiteľný
Injekcia Foscarnet sodium
Injekcia Amphotericin B
3662
Okamžité zrážanie nezlučiteľný
Injekcia Foscarnet sodium 24 mg/ml
Injekcia Amphotericin B 5 mg/ml
Žiadny 73
kompatibilný
Injekcia Foscarnet sodium 24 mg/ml
Injekcia Ampicillin sodium 20 mg/ml
Žiadny 73
kompatibilný
Injekcia Foscarnet sodium 24 mg/ml
Injekcia Aztreonam 40 mg/ml
0,9% chlorid sodný 1135
kompatibilný
Injekcia Foscarnet sodium 24 mg/ml
Injekcia Aztreonam 40 mg/ml
5% glukóza 1135
kompatibilný
Injekcia Foscarnet sodium 24 mg/ml
Injekcia Aztreonam 40 mg/ml
Žiadny 73
Nešpecifikovaná nekompatibilita nezlučiteľný
Injekcia Foscarnet sodium
Injekcia Calcium chloride
3662
Nešpecifikovaná nekompatibilita nezlučiteľný
Injekcia Foscarnet sodium
Injekcia Calcium glucoheptonate
3662
Nešpecifikovaná nekompatibilita nezlučiteľný
Injekcia Foscarnet sodium
Injekcia Calcium gluconate
3662
kompatibilný
Injekcia Foscarnet sodium 24 mg/ml
Injekcia Cefazolin sodium 40 mg/ml
Žiadny 73
kompatibilný
Injekcia Foscarnet sodium 24 mg/ml
Injekcia Cefoperazone sodium 40 mg/ml
Žiadny 73
kompatibilný
Injekcia Foscarnet sodium 24 mg/ml
Injekcia Cefoxitin sodium 40 mg/ml
Žiadny 73
kompatibilný
Injekcia Foscarnet sodium 24 mg/ml
Injekcia Ceftazidime 20 mg/ml
5% glukóza 1135
kompatibilný
Injekcia Foscarnet sodium 24 mg/ml
Injekcia Ceftazidime 20 mg/ml
Žiadny 73
kompatibilný
Injekcia Foscarnet sodium 24 mg/ml
Injekcia Ceftazidime 20 mg/ml
0,9% chlorid sodný 1135
kompatibilný
Injekcia Foscarnet sodium
Injekcia Ceftazidime
3883
kompatibilný
Injekcia Foscarnet sodium 24 mg/ml
Injekcia Ceftizoxime sodium 40 mg/ml
Žiadny 73
kompatibilný
Injekcia Foscarnet sodium 24 mg/ml
Injekcia Ceftriaxone disodium 20 mg/ml
5% glukóza 1135
kompatibilný
Injekcia Foscarnet sodium 24 mg/ml
Injekcia Ceftriaxone disodium 20 mg/ml
0,9% chlorid sodný 1135
kompatibilný
Injekcia Foscarnet sodium 24 mg/ml
Injekcia Cefuroxime sodium 30 mg/ml
Žiadny 73
kompatibilný
Injekcia Foscarnet sodium 24 mg/ml
Injekcia Chloramphenicol sodium succinate 20 mg/ml
Žiadny 73
kompatibilný
Injekcia Foscarnet sodium 24 mg/ml
Injekcia Cimetidine hydrochloride 150 mg/ml
Žiadny 73
kompatibilný
Injekcia Foscarnet sodium 24 mg/ml
Injekcia Clindamycin phosphate 24 mg/ml
Žiadny 73
kompatibilný
Injekcia Foscarnet sodium 24 mg/ml
Injekcia Clindamycin phosphate 12 mg/ml
5% glukóza 1135
kompatibilný
Injekcia Foscarnet sodium 24 mg/ml
Injekcia Clindamycin phosphate 12 mg/ml
0,9% chlorid sodný 1135
Nešpecifikovaná nekompatibilita nezlučiteľný
Injekcia Foscarnet sodium
Injekcia Co-trimoxazole
3662
kompatibilný
Injekcia Foscarnet sodium 24 mg/ml
Injekcia Co-trimoxazole 2,6/0,53 mg/ml
5% glukóza 1135
Okamžité zrážanie nezlučiteľný
Injekcia Foscarnet sodium 24 mg/ml
Injekcia Co-trimoxazole
Žiadny 73
kompatibilný
Injekcia Foscarnet sodium 24 mg/ml
Injekcia Defibrotide 8 mg/ml
0,9% chlorid sodný 3728
kompatibilný
Injekcia Foscarnet sodium 24 mg/ml
Injekcia Dexamethasone sodium phosphate 10 mg/ml
Žiadny 73
Výroba plynových bublín nezlučiteľný
Injekcia Foscarnet sodium 24 mg/ml
Injekcia Diazepam 5 mg/ml
Žiadny 73
Výroba plynových bublín nezlučiteľný
Injekcia Foscarnet sodium 24 mg/ml
Injekcia Digoxin 250 µg/ml
Žiadny 73
Okamžitá zákal nezlučiteľný
Injekcia Foscarnet sodium 24 mg/ml
Injekcia Diphenhydramine hydrochloride 50 mg/ml
Žiadny 73
Okamžité zrážanie nezlučiteľný
Injekcia Foscarnet sodium 24 mg/ml
Injekcia Dobutamine hydrochloride 12.5 mg/ml
Žiadny 73
kompatibilný
Injekcia Foscarnet sodium 24 mg/ml
Injekcia Dopamine hydrochloride 80 mg/ml
Žiadny 73
kompatibilný
Injekcia Foscarnet sodium 24 mg/ml
Injekcia Doripenem 5 mg/ml
5% glukóza 2262
kompatibilný
Injekcia Foscarnet sodium 24 mg/ml
Injekcia Doripenem 5 mg/ml
0,9% chlorid sodný 2262
Okamžité zrážanie nezlučiteľný
Injekcia Foscarnet sodium 24 mg/ml
Injekcia Droperidol 2.5 mg/ml
Žiadny 73
kompatibilný
Injekcia Foscarnet sodium 24 mg/ml
Injekcia Erythromycin lactobionate 20 mg/ml
0,9% chlorid sodný 1135
kompatibilný
Injekcia Foscarnet sodium 24 mg/ml
Injekcia Erythromycin lactobionate 20 mg/ml
Žiadny 73
kompatibilný
Injekcia Foscarnet sodium 24 mg/ml
Injekcia Fluconazole 2 mg/ml
0,9% chlorid sodný 496
Okamžitá zákal nezlučiteľný
Injekcia Foscarnet sodium 24 mg/ml
Injekcia Folinate calcium 10 mg/ml
Žiadny 73
kompatibilný
Injekcia Foscarnet sodium 24 mg/ml
Injekcia Furosemide 10 mg/ml
Žiadny 73
Okamžité zrážanie nezlučiteľný
Injekcia Foscarnet sodium 24 mg/ml
Injekcia Ganciclovir sodium 50 mg/ml
Žiadny 73
Nešpecifikovaná nekompatibilita nezlučiteľný
Injekcia Foscarnet sodium
Injekcia Ganciclovir sodium
3662
kompatibilný
Injekcia Foscarnet sodium 24 mg/ml
Injekcia Gentamicin sulfate 4 mg/ml
Žiadny 73
kompatibilný
Injekcia Foscarnet sodium 24 mg/ml
Injekcia Gentamicin sulfate 2 mg/ml
0,9% chlorid sodný 1135
kompatibilný
Injekcia Foscarnet sodium 24 mg/ml
Injekcia Gentamicin sulfate 2 mg/ml
5% glukóza 1135
Okamžité zrážanie nezlučiteľný
Injekcia Foscarnet sodium 24 mg/ml
Injekcia Haloperidol lactate 5 mg/ml
Žiadny 73
kompatibilný
Injekcia Foscarnet sodium 24 mg/ml
Injekcia Heparin sodium 100 UI/ml
0,9% chlorid sodný 1135
kompatibilný
Injekcia Foscarnet sodium 24 mg/ml
Injekcia Heparin sodium 1000 UI/ml
Žiadny 73
kompatibilný
Injekcia Foscarnet sodium 24 mg/ml
Injekcia Heparin sodium 100 UI/ml
5% glukóza 1135
kompatibilný
Injekcia Foscarnet sodium 24 mg/ml
Injekcia Hydrocortisone sodium succinate 50 mg/ml
Žiadny 73
kompatibilný
Injekcia Foscarnet sodium 24 mg/ml
Injekcia Hydromorphone hydrochloride 10 mg/ml
Žiadny 73
kompatibilný
Injekcia Foscarnet sodium 24 mg/ml
Injekcia Hydroxyzine dihydrochloride 50 mg/ml
Žiadny 73
kompatibilný
Injekcia Foscarnet sodium 24 mg/ml
Injekcia Imipenem - cilastatin sodium 5 mg/ml
5% glukóza 1135
kompatibilný
Injekcia Foscarnet sodium 24 mg/ml
Injekcia Imipenem - cilastatin sodium 10 mg/ml
Žiadny 73
Nešpecifikovaná nekompatibilita nezlučiteľný
Injekcia Foscarnet sodium
Injekcia Levofolinate calcium
3662
kompatibilný
Injekcia Foscarnet sodium 24 mg/ml
Injekcia Lorazepam 0,08 mg/ml
0,9% chlorid sodný 1135
kompatibilný
Injekcia Foscarnet sodium 24 mg/ml
Injekcia Lorazepam 0,08 mg/ml
5% glukóza 1135
Výroba plynových bublín nezlučiteľný
Injekcia Foscarnet sodium 24 mg/ml
Injekcia Lorazepam 4 mg/ml
Žiadny 73
kompatibilný
Injekcia Foscarnet sodium 24 mg/ml
Injekcia Meropenem 50 mg/ml
voda na injekciu 4319
kompatibilný
Injekcia Foscarnet sodium 24 mg/ml
Injekcia Metoclopramide hydrochloride 2 mg/ml
0,9% chlorid sodný 1135
kompatibilný
Injekcia Foscarnet sodium 24 mg/ml
Injekcia Metoclopramide hydrochloride 4 mg/ml
Žiadny 73
kompatibilný
Injekcia Foscarnet sodium 24 mg/ml
Injekcia Metoclopramide hydrochloride 2 mg/ml
5% glukóza 1135
kompatibilný
Injekcia Foscarnet sodium 24 mg/ml
Injekcia Metronidazole 5 mg/ml
0,9% chlorid sodný 1135
kompatibilný
Injekcia Foscarnet sodium 24 mg/ml
Injekcia Metronidazole 5 mg/ml
Žiadny 73
Výroba plynových bublín nezlučiteľný
Injekcia Foscarnet sodium 24 mg/ml
Injekcia Midazolam hydrochloride 5 mg/ml
Žiadny 73
kompatibilný
Injekcia Foscarnet sodium 24 mg/ml
Injekcia Morphine sulfate 1 mg/ml
0,9% chlorid sodný 1135
kompatibilný
Injekcia Foscarnet sodium 24 mg/ml
Injekcia Morphine sulfate 15 mg/ml
Žiadny 64
kompatibilný
Injekcia Foscarnet sodium 24 mg/ml
Injekcia Morphine sulfate 5 mg/ml
0,9% chlorid sodný 64
kompatibilný
Injekcia Foscarnet sodium 24 mg/ml
Injekcia Morphine sulfate 1 mg/ml
5% glukóza 1135
kompatibilný
Injekcia Foscarnet sodium 24 mg/ml
Injekcia Morphine sulfate 1 mg/ml
Žiadny 73
kompatibilný
Injekcia Foscarnet sodium 24 mg/ml
Injekcia Nafcillin sodium 20 mg/ml
5% glukóza 1135
kompatibilný
Injekcia Foscarnet sodium 24 mg/ml
Injekcia Nafcillin sodium 20 mg/ml
0,9% chlorid sodný 1135
kompatibilný
Injekcia Foscarnet sodium 24 mg/ml
Injekcia Oxacillin sodium 40 mg/ml
Žiadny 73
kompatibilný
Injekcia Foscarnet sodium 24 mg/ml
Injekcia Oxacillin sodium 20 mg/ml
5% glukóza 1135
Nešpecifikovaná nekompatibilita nezlučiteľný
Injekcia Foscarnet sodium
30% glukóza 3662
kompatibilný
Injekcia Foscarnet sodium 24 mg/ml
Injekcia Oxacillin sodium 20 mg/ml
0,9% chlorid sodný 1135
kompatibilný
Injekcia Foscarnet sodium 24 mg/ml
Injekcia Penicillin G potassium 0.1 MUI/ml
Žiadny 73
Okamžité zrážanie nezlučiteľný
Injekcia Foscarnet sodium 24 mg/ml
Injekcia Pentamidine isetionate 6 mg/ml
Žiadny 73
Okamžité zrážanie nezlučiteľný
Injekcia Foscarnet sodium 24 mg/ml
Injekcia Pentamidine isetionate 6 mg/ml
5% glukóza 1135
Nešpecifikovaná nekompatibilita nezlučiteľný
Injekcia Foscarnet sodium
Injekcia Pentamidine isetionate
3662
Okamžité zrážanie nezlučiteľný
Injekcia Foscarnet sodium 24 mg/ml
Injekcia Pentamidine isetionate 6 mg/ml
0,9% chlorid sodný 1135
Okamžité zrážanie nezlučiteľný
Injekcia Foscarnet sodium 24 mg/ml
Injekcia Phenytoin sodium 50 mg/ml
Žiadny 73
kompatibilný
Injekcia Foscarnet sodium 24 mg/ml
Injekcia Piperacillin sodium 80 mg/ml
Žiadny 73
Okamžitá zákal nezlučiteľný
Injekcia Foscarnet sodium 24 mg/ml
Injekcia Prochlorperazine edysilate 5 mg/ml
Žiadny 73
Výroba plynových bublín nezlučiteľný
Injekcia Foscarnet sodium 24 mg/ml
Injekcia Promethazine hydrochloride 50 mg/ml
Žiadny 73
kompatibilný
Injekcia Foscarnet sodium 24 mg/ml
Injekcia Ranitidine hydrochloride 2 mg/ml
0,9% chlorid sodný 1135
kompatibilný
Injekcia Foscarnet sodium 24 mg/ml
Injekcia Ranitidine hydrochloride 2 mg/ml
5% glukóza 1135
kompatibilný
Injekcia Foscarnet sodium 24 mg/ml
Injekcia Ticarcillin / clavulanic acid 100 mg/ml
0,9% chlorid sodný 1135
kompatibilný
Injekcia Foscarnet sodium 24 mg/ml
Injekcia Ticarcillin / clavulanic acid 100 mg/ml
5% glukóza 1135
kompatibilný
Injekcia Foscarnet sodium 24 mg/ml
Injekcia Tobramycin sulfate 40 mg/ml
Žiadny 73
kompatibilný
Injekcia Foscarnet sodium 24 mg/ml
Injekcia Vancomycin hydrochloride 10 mg/ml
0,9% chlorid sodný 132
Nešpecifikovaná nekompatibilita nezlučiteľný
Injekcia Foscarnet sodium
Injekcia Vancomycin hydrochloride
3662
kompatibilný
Injekcia Foscarnet sodium 24 mg/ml
Injekcia Vancomycin hydrochloride 15 mg/ml
0,9% chlorid sodný 1135
kompatibilný
Injekcia Foscarnet sodium 24 mg/ml
Injekcia Vancomycin hydrochloride 15 mg/ml
5% glukóza 1135
Okamžité zrážanie nezlučiteľný
Injekcia Foscarnet sodium 24 mg/ml
Injekcia Vancomycin hydrochloride 20 mg/ml
Žiadny 73

  Mentions Légales