Zadnji put ažurirano :
31/03/2026
protuvirusan   Foscarnet sodium  
injekcija
Stabilizacija rješenja Stabilnost mješavine Stabilizacijski faktor Kompatibilnosti način davanja lijeka Bibliografija pdf
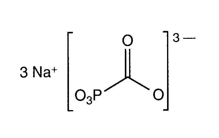
   Kemijska struktura  

Nekomercijalni   Nekomercijalni     

Zaštićeni nazivi su indikativni i sastav ekscipijensa može biti različit ovisno o državi i laboratorijima

Foscarnet Argentina, Čile, Ekvador, Kolumbija, Meksiko, Peru, Portugal, S A D, Španjolska
Foscavir Australija, Austrija, Belgija, Francuska, Grčka, Italija, Luksemburg, Madžarska, Nizozemska, Njemačka, novi Zeland, S A D, Španjolska, Švedska, Švicarska, Velika Britanija
Kompatibilnosti   injekcija   Kompatibilnosti : Foscarnet sodium              
Ovdje su prikazane kompatibilnosti ili nekompatibilnosti s tipom nekompatibilnosti (taloženje, promjena boje, modifikacija emulzije itd.) u ovom slučaju. Kompatibilnosti prikazane ovdje najčešće su fizikalne dok se kemijska stabilnost molekule rijetko procjenjuje. Procjena ovih mikstura je proučavana kako bi se razmotrila mogućnost primjene lijeka putem Y-mjesta. Ovi se podaci ne smiju koristiti za pripremu mikstura unaprijed u vrećicama ili štrcaljkama. Ova vrsta informacije se može pronaći u odjeljku « stabilnost u miksturama ».
molekula sredstvo za rastapanje Bibliografija
Neodređena nespojivost inkompatibilan
injekcija Foscarnet sodium
injekcija Aciclovir sodium
3595
Neposredne oborine inkompatibilan
injekcija Foscarnet sodium 24 mg/ml
injekcija Aciclovir sodium 7 mg/ml
glukoza 5% 1135
Neposredne oborine inkompatibilan
injekcija Foscarnet sodium 24 mg/ml
injekcija Aciclovir sodium 7 mg/ml
natrijumkorid 0,9% 1135
Neodređena nespojivost inkompatibilan
injekcija Foscarnet sodium
injekcija Aciclovir sodium
3662
Neposredne oborine inkompatibilan
injekcija Foscarnet sodium 24 mg/ml
injekcija Aciclovir sodium 10 mg/ml
nijedan 73
Kompatibilan
injekcija Foscarnet sodium 24 mg/ml
injekcija Aldesleukin 0.0338 MUI/ml
glukoza 5% 36
Kompatibilan
injekcija Foscarnet sodium 24 mg/ml
injekcija Amikacin sulfate 20 mg/ml
nijedan 73
Kompatibilan
injekcija Foscarnet sodium 24 mg/ml
injekcija Aminophylline 25 mg/ml
nijedan 73
Neposredna zamućenost inkompatibilan
injekcija Foscarnet sodium 24 mg/ml
injekcija Amphotericin B 0.6 mg/ml
glukoza 5% 1135
Neodređena nespojivost inkompatibilan
injekcija Foscarnet sodium
injekcija Amphotericin B
3662
Neposredne oborine inkompatibilan
injekcija Foscarnet sodium 24 mg/ml
injekcija Amphotericin B 5 mg/ml
nijedan 73
Kompatibilan
injekcija Foscarnet sodium 24 mg/ml
injekcija Ampicillin sodium 20 mg/ml
nijedan 73
Kompatibilan
injekcija Foscarnet sodium 24 mg/ml
injekcija Aztreonam 40 mg/ml
natrijumkorid 0,9% 1135
Kompatibilan
injekcija Foscarnet sodium 24 mg/ml
injekcija Aztreonam 40 mg/ml
glukoza 5% 1135
Kompatibilan
injekcija Foscarnet sodium 24 mg/ml
injekcija Aztreonam 40 mg/ml
nijedan 73
Neodređena nespojivost inkompatibilan
injekcija Foscarnet sodium
injekcija Calcium chloride
3662
Neodređena nespojivost inkompatibilan
injekcija Foscarnet sodium
injekcija Calcium glucoheptonate
3662
Neodređena nespojivost inkompatibilan
injekcija Foscarnet sodium
injekcija Calcium gluconate
3662
Kompatibilan
injekcija Foscarnet sodium 24 mg/ml
injekcija Cefazolin sodium 40 mg/ml
nijedan 73
Kompatibilan
injekcija Foscarnet sodium 24 mg/ml
injekcija Cefoperazone sodium 40 mg/ml
nijedan 73
Kompatibilan
injekcija Foscarnet sodium 24 mg/ml
injekcija Cefoxitin sodium 40 mg/ml
nijedan 73
Kompatibilan
injekcija Foscarnet sodium 24 mg/ml
injekcija Ceftazidime 20 mg/ml
glukoza 5% 1135
Kompatibilan
injekcija Foscarnet sodium 24 mg/ml
injekcija Ceftazidime 20 mg/ml
nijedan 73
Kompatibilan
injekcija Foscarnet sodium 24 mg/ml
injekcija Ceftazidime 20 mg/ml
natrijumkorid 0,9% 1135
Kompatibilan
injekcija Foscarnet sodium
injekcija Ceftazidime
3883
Kompatibilan
injekcija Foscarnet sodium 24 mg/ml
injekcija Ceftizoxime sodium 40 mg/ml
nijedan 73
Kompatibilan
injekcija Foscarnet sodium 24 mg/ml
injekcija Ceftriaxone disodium 20 mg/ml
glukoza 5% 1135
Kompatibilan
injekcija Foscarnet sodium 24 mg/ml
injekcija Ceftriaxone disodium 20 mg/ml
natrijumkorid 0,9% 1135
Kompatibilan
injekcija Foscarnet sodium 24 mg/ml
injekcija Cefuroxime sodium 30 mg/ml
nijedan 73
Kompatibilan
injekcija Foscarnet sodium 24 mg/ml
injekcija Chloramphenicol sodium succinate 20 mg/ml
nijedan 73
Kompatibilan
injekcija Foscarnet sodium 24 mg/ml
injekcija Cimetidine hydrochloride 150 mg/ml
nijedan 73
Kompatibilan
injekcija Foscarnet sodium 24 mg/ml
injekcija Clindamycin phosphate 24 mg/ml
nijedan 73
Kompatibilan
injekcija Foscarnet sodium 24 mg/ml
injekcija Clindamycin phosphate 12 mg/ml
glukoza 5% 1135
Kompatibilan
injekcija Foscarnet sodium 24 mg/ml
injekcija Clindamycin phosphate 12 mg/ml
natrijumkorid 0,9% 1135
Neodređena nespojivost inkompatibilan
injekcija Foscarnet sodium
injekcija Co-trimoxazole
3662
Kompatibilan
injekcija Foscarnet sodium 24 mg/ml
injekcija Co-trimoxazole 2,6/0,53 mg/ml
glukoza 5% 1135
Neposredne oborine inkompatibilan
injekcija Foscarnet sodium 24 mg/ml
injekcija Co-trimoxazole
nijedan 73
Kompatibilan
injekcija Foscarnet sodium 24 mg/ml
injekcija Defibrotide 8 mg/ml
natrijumkorid 0,9% 3728
Kompatibilan
injekcija Foscarnet sodium 24 mg/ml
injekcija Dexamethasone sodium phosphate 10 mg/ml
nijedan 73
Proizvodnja mjehurića plina inkompatibilan
injekcija Foscarnet sodium 24 mg/ml
injekcija Diazepam 5 mg/ml
nijedan 73
Proizvodnja mjehurića plina inkompatibilan
injekcija Foscarnet sodium 24 mg/ml
injekcija Digoxin 250 µg/ml
nijedan 73
Neposredna zamućenost inkompatibilan
injekcija Foscarnet sodium 24 mg/ml
injekcija Diphenhydramine hydrochloride 50 mg/ml
nijedan 73
Neposredne oborine inkompatibilan
injekcija Foscarnet sodium 24 mg/ml
injekcija Dobutamine hydrochloride 12.5 mg/ml
nijedan 73
Kompatibilan
injekcija Foscarnet sodium 24 mg/ml
injekcija Dopamine hydrochloride 80 mg/ml
nijedan 73
Kompatibilan
injekcija Foscarnet sodium 24 mg/ml
injekcija Doripenem 5 mg/ml
glukoza 5% 2262
Kompatibilan
injekcija Foscarnet sodium 24 mg/ml
injekcija Doripenem 5 mg/ml
natrijumkorid 0,9% 2262
Neposredne oborine inkompatibilan
injekcija Foscarnet sodium 24 mg/ml
injekcija Droperidol 2.5 mg/ml
nijedan 73
Kompatibilan
injekcija Foscarnet sodium 24 mg/ml
injekcija Erythromycin lactobionate 20 mg/ml
natrijumkorid 0,9% 1135
Kompatibilan
injekcija Foscarnet sodium 24 mg/ml
injekcija Erythromycin lactobionate 20 mg/ml
nijedan 73
Kompatibilan
injekcija Foscarnet sodium 24 mg/ml
injekcija Fluconazole 2 mg/ml
natrijumkorid 0,9% 496
Neposredna zamućenost inkompatibilan
injekcija Foscarnet sodium 24 mg/ml
injekcija Folinate calcium 10 mg/ml
nijedan 73
Kompatibilan
injekcija Foscarnet sodium 24 mg/ml
injekcija Furosemide 10 mg/ml
nijedan 73
Neposredne oborine inkompatibilan
injekcija Foscarnet sodium 24 mg/ml
injekcija Ganciclovir sodium 50 mg/ml
nijedan 73
Neodređena nespojivost inkompatibilan
injekcija Foscarnet sodium
injekcija Ganciclovir sodium
3662
Kompatibilan
injekcija Foscarnet sodium 24 mg/ml
injekcija Gentamicin sulfate 4 mg/ml
nijedan 73
Kompatibilan
injekcija Foscarnet sodium 24 mg/ml
injekcija Gentamicin sulfate 2 mg/ml
natrijumkorid 0,9% 1135
Kompatibilan
injekcija Foscarnet sodium 24 mg/ml
injekcija Gentamicin sulfate 2 mg/ml
glukoza 5% 1135
Neposredne oborine inkompatibilan
injekcija Foscarnet sodium 24 mg/ml
injekcija Haloperidol lactate 5 mg/ml
nijedan 73
Kompatibilan
injekcija Foscarnet sodium 24 mg/ml
injekcija Heparin sodium 100 UI/ml
natrijumkorid 0,9% 1135
Kompatibilan
injekcija Foscarnet sodium 24 mg/ml
injekcija Heparin sodium 1000 UI/ml
nijedan 73
Kompatibilan
injekcija Foscarnet sodium 24 mg/ml
injekcija Heparin sodium 100 UI/ml
glukoza 5% 1135
Kompatibilan
injekcija Foscarnet sodium 24 mg/ml
injekcija Hydrocortisone sodium succinate 50 mg/ml
nijedan 73
Kompatibilan
injekcija Foscarnet sodium 24 mg/ml
injekcija Hydromorphone hydrochloride 10 mg/ml
nijedan 73
Kompatibilan
injekcija Foscarnet sodium 24 mg/ml
injekcija Hydroxyzine dihydrochloride 50 mg/ml
nijedan 73
Kompatibilan
injekcija Foscarnet sodium 24 mg/ml
injekcija Imipenem - cilastatin sodium 5 mg/ml
glukoza 5% 1135
Kompatibilan
injekcija Foscarnet sodium 24 mg/ml
injekcija Imipenem - cilastatin sodium 10 mg/ml
nijedan 73
Neodređena nespojivost inkompatibilan
injekcija Foscarnet sodium
injekcija Levofolinate calcium
3662
Kompatibilan
injekcija Foscarnet sodium 24 mg/ml
injekcija Lorazepam 0,08 mg/ml
natrijumkorid 0,9% 1135
Kompatibilan
injekcija Foscarnet sodium 24 mg/ml
injekcija Lorazepam 0,08 mg/ml
glukoza 5% 1135
Proizvodnja mjehurića plina inkompatibilan
injekcija Foscarnet sodium 24 mg/ml
injekcija Lorazepam 4 mg/ml
nijedan 73
Kompatibilan
injekcija Foscarnet sodium 24 mg/ml
injekcija Meropenem 50 mg/ml
čista voda za injektiranje 4319
Kompatibilan
injekcija Foscarnet sodium 24 mg/ml
injekcija Metoclopramide hydrochloride 2 mg/ml
natrijumkorid 0,9% 1135
Kompatibilan
injekcija Foscarnet sodium 24 mg/ml
injekcija Metoclopramide hydrochloride 4 mg/ml
nijedan 73
Kompatibilan
injekcija Foscarnet sodium 24 mg/ml
injekcija Metoclopramide hydrochloride 2 mg/ml
glukoza 5% 1135
Kompatibilan
injekcija Foscarnet sodium 24 mg/ml
injekcija Metronidazole 5 mg/ml
natrijumkorid 0,9% 1135
Kompatibilan
injekcija Foscarnet sodium 24 mg/ml
injekcija Metronidazole 5 mg/ml
nijedan 73
Proizvodnja mjehurića plina inkompatibilan
injekcija Foscarnet sodium 24 mg/ml
injekcija Midazolam hydrochloride 5 mg/ml
nijedan 73
Kompatibilan
injekcija Foscarnet sodium 24 mg/ml
injekcija Morphine sulfate 1 mg/ml
natrijumkorid 0,9% 1135
Kompatibilan
injekcija Foscarnet sodium 24 mg/ml
injekcija Morphine sulfate 15 mg/ml
nijedan 64
Kompatibilan
injekcija Foscarnet sodium 24 mg/ml
injekcija Morphine sulfate 5 mg/ml
natrijumkorid 0,9% 64
Kompatibilan
injekcija Foscarnet sodium 24 mg/ml
injekcija Morphine sulfate 1 mg/ml
glukoza 5% 1135
Kompatibilan
injekcija Foscarnet sodium 24 mg/ml
injekcija Morphine sulfate 1 mg/ml
nijedan 73
Kompatibilan
injekcija Foscarnet sodium 24 mg/ml
injekcija Nafcillin sodium 20 mg/ml
glukoza 5% 1135
Kompatibilan
injekcija Foscarnet sodium 24 mg/ml
injekcija Nafcillin sodium 20 mg/ml
natrijumkorid 0,9% 1135
Kompatibilan
injekcija Foscarnet sodium 24 mg/ml
injekcija Oxacillin sodium 40 mg/ml
nijedan 73
Kompatibilan
injekcija Foscarnet sodium 24 mg/ml
injekcija Oxacillin sodium 20 mg/ml
glukoza 5% 1135
Neodređena nespojivost inkompatibilan
injekcija Foscarnet sodium
glukoza 30% 3662
Kompatibilan
injekcija Foscarnet sodium 24 mg/ml
injekcija Oxacillin sodium 20 mg/ml
natrijumkorid 0,9% 1135
Kompatibilan
injekcija Foscarnet sodium 24 mg/ml
injekcija Penicillin G potassium 0.1 MUI/ml
nijedan 73
Neposredne oborine inkompatibilan
injekcija Foscarnet sodium 24 mg/ml
injekcija Pentamidine isetionate 6 mg/ml
nijedan 73
Neposredne oborine inkompatibilan
injekcija Foscarnet sodium 24 mg/ml
injekcija Pentamidine isetionate 6 mg/ml
glukoza 5% 1135
Neodređena nespojivost inkompatibilan
injekcija Foscarnet sodium
injekcija Pentamidine isetionate
3662
Neposredne oborine inkompatibilan
injekcija Foscarnet sodium 24 mg/ml
injekcija Pentamidine isetionate 6 mg/ml
natrijumkorid 0,9% 1135
Neposredne oborine inkompatibilan
injekcija Foscarnet sodium 24 mg/ml
injekcija Phenytoin sodium 50 mg/ml
nijedan 73
Kompatibilan
injekcija Foscarnet sodium 24 mg/ml
injekcija Piperacillin sodium 80 mg/ml
nijedan 73
Neposredna zamućenost inkompatibilan
injekcija Foscarnet sodium 24 mg/ml
injekcija Prochlorperazine edysilate 5 mg/ml
nijedan 73
Proizvodnja mjehurića plina inkompatibilan
injekcija Foscarnet sodium 24 mg/ml
injekcija Promethazine hydrochloride 50 mg/ml
nijedan 73
Kompatibilan
injekcija Foscarnet sodium 24 mg/ml
injekcija Ranitidine hydrochloride 2 mg/ml
natrijumkorid 0,9% 1135
Kompatibilan
injekcija Foscarnet sodium 24 mg/ml
injekcija Ranitidine hydrochloride 2 mg/ml
glukoza 5% 1135
Kompatibilan
injekcija Foscarnet sodium 24 mg/ml
injekcija Ticarcillin / clavulanic acid 100 mg/ml
natrijumkorid 0,9% 1135
Kompatibilan
injekcija Foscarnet sodium 24 mg/ml
injekcija Ticarcillin / clavulanic acid 100 mg/ml
glukoza 5% 1135
Kompatibilan
injekcija Foscarnet sodium 24 mg/ml
injekcija Tobramycin sulfate 40 mg/ml
nijedan 73
Kompatibilan
injekcija Foscarnet sodium 24 mg/ml
injekcija Vancomycin hydrochloride 10 mg/ml
natrijumkorid 0,9% 132
Neodređena nespojivost inkompatibilan
injekcija Foscarnet sodium
injekcija Vancomycin hydrochloride
3662
Kompatibilan
injekcija Foscarnet sodium 24 mg/ml
injekcija Vancomycin hydrochloride 15 mg/ml
natrijumkorid 0,9% 1135
Kompatibilan
injekcija Foscarnet sodium 24 mg/ml
injekcija Vancomycin hydrochloride 15 mg/ml
glukoza 5% 1135
Neposredne oborine inkompatibilan
injekcija Foscarnet sodium 24 mg/ml
injekcija Vancomycin hydrochloride 20 mg/ml
nijedan 73

  Mentions Légales