最新更新 :
31/03/2026
抗ウイルス薬   Foscarnet sodium  
注射薬
溶媒内の安定性 混合時の安定性 安定性に影響する因子 互換性 投与経路 引用文献 PDF
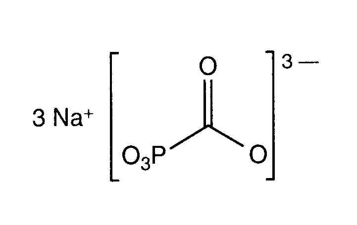
   化学構造  

商品名   商品名     

商品名、賦形剤は国、製薬会社ごとに異なることがあります

Foscarnet アメリカ, アルゼンチン, エクアドル, コロンビア, スペイン, チリ, ペルー, ポルトガル, メキシコ
Foscavir アメリカ, アーストラリア, イギリス, イタリア, オランダ, オーストリア, ギリシア, スイス, スウェーデン, スペイン, ドイツ, ニュージーランド, ハンガリー, フランス, ベルギー, ルクセンブルグ
互換性   注射薬   互換性 : Foscarnet sodium              
This screen indicates the compatibilities or incompatibilities with, in this case, the type of incompatibility (precipitation, color change, modification of an emulsion, etc.). The compatibilities shown here are mostly physical only, with the chemical stability of each molecule rarely being assessed. The evaluation of these mixtures was studied to consider the possibility of Y-site administration to the patient. These data cannot be used for making mixtures in advance in bags or syringes. This type of information is available in the screen "Stability in mixture ».
化合物 溶媒 引用文献
不特定の非互換性 非互換
注射薬 Foscarnet sodium
注射薬 Aciclovir sodium
3595
即時降水 非互換
注射薬 Foscarnet sodium 24 mg/ml
注射薬 Aciclovir sodium 7 mg/ml
グルコース5% 1135
即時降水 非互換
注射薬 Foscarnet sodium 24 mg/ml
注射薬 Aciclovir sodium 7 mg/ml
NaCl 0,9% 1135
不特定の非互換性 非互換
注射薬 Foscarnet sodium
注射薬 Aciclovir sodium
3662
即時降水 非互換
注射薬 Foscarnet sodium 24 mg/ml
注射薬 Aciclovir sodium 10 mg/ml
なし 73
対応
注射薬 Foscarnet sodium 24 mg/ml
注射薬 Aldesleukin 0.0338 MUI/ml
グルコース5% 36
対応
注射薬 Foscarnet sodium 24 mg/ml
注射薬 Amikacin sulfate 20 mg/ml
なし 73
対応
注射薬 Foscarnet sodium 24 mg/ml
注射薬 Aminophylline 25 mg/ml
なし 73
すぐに濁り 非互換
注射薬 Foscarnet sodium 24 mg/ml
注射薬 Amphotericin B 0.6 mg/ml
グルコース5% 1135
不特定の非互換性 非互換
注射薬 Foscarnet sodium
注射薬 Amphotericin B
3662
即時降水 非互換
注射薬 Foscarnet sodium 24 mg/ml
注射薬 Amphotericin B 5 mg/ml
なし 73
対応
注射薬 Foscarnet sodium 24 mg/ml
注射薬 Ampicillin sodium 20 mg/ml
なし 73
対応
注射薬 Foscarnet sodium 24 mg/ml
注射薬 Aztreonam 40 mg/ml
NaCl 0,9% 1135
対応
注射薬 Foscarnet sodium 24 mg/ml
注射薬 Aztreonam 40 mg/ml
グルコース5% 1135
対応
注射薬 Foscarnet sodium 24 mg/ml
注射薬 Aztreonam 40 mg/ml
なし 73
不特定の非互換性 非互換
注射薬 Foscarnet sodium
注射薬 Calcium chloride
3662
不特定の非互換性 非互換
注射薬 Foscarnet sodium
注射薬 Calcium glucoheptonate
3662
不特定の非互換性 非互換
注射薬 Foscarnet sodium
注射薬 Calcium gluconate
3662
対応
注射薬 Foscarnet sodium 24 mg/ml
注射薬 Cefazolin sodium 40 mg/ml
なし 73
対応
注射薬 Foscarnet sodium 24 mg/ml
注射薬 Cefoperazone sodium 40 mg/ml
なし 73
対応
注射薬 Foscarnet sodium 24 mg/ml
注射薬 Cefoxitin sodium 40 mg/ml
なし 73
対応
注射薬 Foscarnet sodium 24 mg/ml
注射薬 Ceftazidime 20 mg/ml
グルコース5% 1135
対応
注射薬 Foscarnet sodium 24 mg/ml
注射薬 Ceftazidime 20 mg/ml
なし 73
対応
注射薬 Foscarnet sodium 24 mg/ml
注射薬 Ceftazidime 20 mg/ml
NaCl 0,9% 1135
対応
注射薬 Foscarnet sodium
注射薬 Ceftazidime
3883
対応
注射薬 Foscarnet sodium 24 mg/ml
注射薬 Ceftizoxime sodium 40 mg/ml
なし 73
対応
注射薬 Foscarnet sodium 24 mg/ml
注射薬 Ceftriaxone disodium 20 mg/ml
グルコース5% 1135
対応
注射薬 Foscarnet sodium 24 mg/ml
注射薬 Ceftriaxone disodium 20 mg/ml
NaCl 0,9% 1135
対応
注射薬 Foscarnet sodium 24 mg/ml
注射薬 Cefuroxime sodium 30 mg/ml
なし 73
対応
注射薬 Foscarnet sodium 24 mg/ml
注射薬 Chloramphenicol sodium succinate 20 mg/ml
なし 73
対応
注射薬 Foscarnet sodium 24 mg/ml
注射薬 Cimetidine hydrochloride 150 mg/ml
なし 73
対応
注射薬 Foscarnet sodium 24 mg/ml
注射薬 Clindamycin phosphate 24 mg/ml
なし 73
対応
注射薬 Foscarnet sodium 24 mg/ml
注射薬 Clindamycin phosphate 12 mg/ml
グルコース5% 1135
対応
注射薬 Foscarnet sodium 24 mg/ml
注射薬 Clindamycin phosphate 12 mg/ml
NaCl 0,9% 1135
不特定の非互換性 非互換
注射薬 Foscarnet sodium
注射薬 Co-trimoxazole
3662
対応
注射薬 Foscarnet sodium 24 mg/ml
注射薬 Co-trimoxazole 2,6/0,53 mg/ml
グルコース5% 1135
即時降水 非互換
注射薬 Foscarnet sodium 24 mg/ml
注射薬 Co-trimoxazole
なし 73
対応
注射薬 Foscarnet sodium 24 mg/ml
注射薬 Defibrotide 8 mg/ml
NaCl 0,9% 3728
対応
注射薬 Foscarnet sodium 24 mg/ml
注射薬 Dexamethasone sodium phosphate 10 mg/ml
なし 73
気泡の生成 非互換
注射薬 Foscarnet sodium 24 mg/ml
注射薬 Diazepam 5 mg/ml
なし 73
気泡の生成 非互換
注射薬 Foscarnet sodium 24 mg/ml
注射薬 Digoxin 250 µg/ml
なし 73
すぐに濁り 非互換
注射薬 Foscarnet sodium 24 mg/ml
注射薬 Diphenhydramine hydrochloride 50 mg/ml
なし 73
即時降水 非互換
注射薬 Foscarnet sodium 24 mg/ml
注射薬 Dobutamine hydrochloride 12.5 mg/ml
なし 73
対応
注射薬 Foscarnet sodium 24 mg/ml
注射薬 Dopamine hydrochloride 80 mg/ml
なし 73
対応
注射薬 Foscarnet sodium 24 mg/ml
注射薬 Doripenem 5 mg/ml
グルコース5% 2262
対応
注射薬 Foscarnet sodium 24 mg/ml
注射薬 Doripenem 5 mg/ml
NaCl 0,9% 2262
即時降水 非互換
注射薬 Foscarnet sodium 24 mg/ml
注射薬 Droperidol 2.5 mg/ml
なし 73
対応
注射薬 Foscarnet sodium 24 mg/ml
注射薬 Erythromycin lactobionate 20 mg/ml
NaCl 0,9% 1135
対応
注射薬 Foscarnet sodium 24 mg/ml
注射薬 Erythromycin lactobionate 20 mg/ml
なし 73
対応
注射薬 Foscarnet sodium 24 mg/ml
注射薬 Fluconazole 2 mg/ml
NaCl 0,9% 496
すぐに濁り 非互換
注射薬 Foscarnet sodium 24 mg/ml
注射薬 Folinate calcium 10 mg/ml
なし 73
対応
注射薬 Foscarnet sodium 24 mg/ml
注射薬 Furosemide 10 mg/ml
なし 73
即時降水 非互換
注射薬 Foscarnet sodium 24 mg/ml
注射薬 Ganciclovir sodium 50 mg/ml
なし 73
不特定の非互換性 非互換
注射薬 Foscarnet sodium
注射薬 Ganciclovir sodium
3662
対応
注射薬 Foscarnet sodium 24 mg/ml
注射薬 Gentamicin sulfate 4 mg/ml
なし 73
対応
注射薬 Foscarnet sodium 24 mg/ml
注射薬 Gentamicin sulfate 2 mg/ml
NaCl 0,9% 1135
対応
注射薬 Foscarnet sodium 24 mg/ml
注射薬 Gentamicin sulfate 2 mg/ml
グルコース5% 1135
即時降水 非互換
注射薬 Foscarnet sodium 24 mg/ml
注射薬 Haloperidol lactate 5 mg/ml
なし 73
対応
注射薬 Foscarnet sodium 24 mg/ml
注射薬 Heparin sodium 100 UI/ml
NaCl 0,9% 1135
対応
注射薬 Foscarnet sodium 24 mg/ml
注射薬 Heparin sodium 1000 UI/ml
なし 73
対応
注射薬 Foscarnet sodium 24 mg/ml
注射薬 Heparin sodium 100 UI/ml
グルコース5% 1135
対応
注射薬 Foscarnet sodium 24 mg/ml
注射薬 Hydrocortisone sodium succinate 50 mg/ml
なし 73
対応
注射薬 Foscarnet sodium 24 mg/ml
注射薬 Hydromorphone hydrochloride 10 mg/ml
なし 73
対応
注射薬 Foscarnet sodium 24 mg/ml
注射薬 Hydroxyzine dihydrochloride 50 mg/ml
なし 73
対応
注射薬 Foscarnet sodium 24 mg/ml
注射薬 Imipenem - cilastatin sodium 5 mg/ml
グルコース5% 1135
対応
注射薬 Foscarnet sodium 24 mg/ml
注射薬 Imipenem - cilastatin sodium 10 mg/ml
なし 73
不特定の非互換性 非互換
注射薬 Foscarnet sodium
注射薬 Levofolinate calcium
3662
対応
注射薬 Foscarnet sodium 24 mg/ml
注射薬 Lorazepam 0,08 mg/ml
NaCl 0,9% 1135
対応
注射薬 Foscarnet sodium 24 mg/ml
注射薬 Lorazepam 0,08 mg/ml
グルコース5% 1135
気泡の生成 非互換
注射薬 Foscarnet sodium 24 mg/ml
注射薬 Lorazepam 4 mg/ml
なし 73
対応
注射薬 Foscarnet sodium 24 mg/ml
注射薬 Meropenem 50 mg/ml
注射用水 4319
対応
注射薬 Foscarnet sodium 24 mg/ml
注射薬 Metoclopramide hydrochloride 2 mg/ml
NaCl 0,9% 1135
対応
注射薬 Foscarnet sodium 24 mg/ml
注射薬 Metoclopramide hydrochloride 4 mg/ml
なし 73
対応
注射薬 Foscarnet sodium 24 mg/ml
注射薬 Metoclopramide hydrochloride 2 mg/ml
グルコース5% 1135
対応
注射薬 Foscarnet sodium 24 mg/ml
注射薬 Metronidazole 5 mg/ml
NaCl 0,9% 1135
対応
注射薬 Foscarnet sodium 24 mg/ml
注射薬 Metronidazole 5 mg/ml
なし 73
気泡の生成 非互換
注射薬 Foscarnet sodium 24 mg/ml
注射薬 Midazolam hydrochloride 5 mg/ml
なし 73
対応
注射薬 Foscarnet sodium 24 mg/ml
注射薬 Morphine sulfate 1 mg/ml
NaCl 0,9% 1135
対応
注射薬 Foscarnet sodium 24 mg/ml
注射薬 Morphine sulfate 15 mg/ml
なし 64
対応
注射薬 Foscarnet sodium 24 mg/ml
注射薬 Morphine sulfate 5 mg/ml
NaCl 0,9% 64
対応
注射薬 Foscarnet sodium 24 mg/ml
注射薬 Morphine sulfate 1 mg/ml
グルコース5% 1135
対応
注射薬 Foscarnet sodium 24 mg/ml
注射薬 Morphine sulfate 1 mg/ml
なし 73
対応
注射薬 Foscarnet sodium 24 mg/ml
注射薬 Nafcillin sodium 20 mg/ml
グルコース5% 1135
対応
注射薬 Foscarnet sodium 24 mg/ml
注射薬 Nafcillin sodium 20 mg/ml
NaCl 0,9% 1135
対応
注射薬 Foscarnet sodium 24 mg/ml
注射薬 Oxacillin sodium 40 mg/ml
なし 73
対応
注射薬 Foscarnet sodium 24 mg/ml
注射薬 Oxacillin sodium 20 mg/ml
グルコース5% 1135
不特定の非互換性 非互換
注射薬 Foscarnet sodium
グルコース30% 3662
対応
注射薬 Foscarnet sodium 24 mg/ml
注射薬 Oxacillin sodium 20 mg/ml
NaCl 0,9% 1135
対応
注射薬 Foscarnet sodium 24 mg/ml
注射薬 Penicillin G potassium 0.1 MUI/ml
なし 73
即時降水 非互換
注射薬 Foscarnet sodium 24 mg/ml
注射薬 Pentamidine isetionate 6 mg/ml
なし 73
即時降水 非互換
注射薬 Foscarnet sodium 24 mg/ml
注射薬 Pentamidine isetionate 6 mg/ml
グルコース5% 1135
不特定の非互換性 非互換
注射薬 Foscarnet sodium
注射薬 Pentamidine isetionate
3662
即時降水 非互換
注射薬 Foscarnet sodium 24 mg/ml
注射薬 Pentamidine isetionate 6 mg/ml
NaCl 0,9% 1135
即時降水 非互換
注射薬 Foscarnet sodium 24 mg/ml
注射薬 Phenytoin sodium 50 mg/ml
なし 73
対応
注射薬 Foscarnet sodium 24 mg/ml
注射薬 Piperacillin sodium 80 mg/ml
なし 73
すぐに濁り 非互換
注射薬 Foscarnet sodium 24 mg/ml
注射薬 Prochlorperazine edysilate 5 mg/ml
なし 73
気泡の生成 非互換
注射薬 Foscarnet sodium 24 mg/ml
注射薬 Promethazine hydrochloride 50 mg/ml
なし 73
対応
注射薬 Foscarnet sodium 24 mg/ml
注射薬 Ranitidine hydrochloride 2 mg/ml
NaCl 0,9% 1135
対応
注射薬 Foscarnet sodium 24 mg/ml
注射薬 Ranitidine hydrochloride 2 mg/ml
グルコース5% 1135
対応
注射薬 Foscarnet sodium 24 mg/ml
注射薬 Ticarcillin / clavulanic acid 100 mg/ml
NaCl 0,9% 1135
対応
注射薬 Foscarnet sodium 24 mg/ml
注射薬 Ticarcillin / clavulanic acid 100 mg/ml
グルコース5% 1135
対応
注射薬 Foscarnet sodium 24 mg/ml
注射薬 Tobramycin sulfate 40 mg/ml
なし 73
対応
注射薬 Foscarnet sodium 24 mg/ml
注射薬 Vancomycin hydrochloride 10 mg/ml
NaCl 0,9% 132
不特定の非互換性 非互換
注射薬 Foscarnet sodium
注射薬 Vancomycin hydrochloride
3662
対応
注射薬 Foscarnet sodium 24 mg/ml
注射薬 Vancomycin hydrochloride 15 mg/ml
NaCl 0,9% 1135
対応
注射薬 Foscarnet sodium 24 mg/ml
注射薬 Vancomycin hydrochloride 15 mg/ml
グルコース5% 1135
即時降水 非互換
注射薬 Foscarnet sodium 24 mg/ml
注射薬 Vancomycin hydrochloride 20 mg/ml
なし 73

  Mentions Légales