Последно актуализиране :
31/03/2026
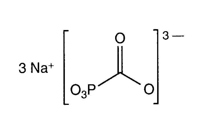
Противовирусно средство   Foscarnet sodium  
Инжекция/Инжекционен
Стабилност на разтвори Стабилност на смеси Фактори, повлияващи стабилността Съвместимост Път на въвеждане Библиография Pdf
   Химична структура  

Търговско наименование   Търговско наименование     

Търговските имена са примерни и съставът на помощните вещества може да бъде различен в зависимост от държавата и лабораториите

Foscarnet Аржентина, Еквадор, Испания, Колумбия, Мексико, Перу, Португалия, Съединени Американски щати / САЩ, Чили
Foscavir Австралия, Австрия, Белгия, Великобритания, Германия, Гърция, Испания, Италия, Люксенбург, нова Зеландия, Съединени Американски щати / САЩ, Унгария, Франция, Холандия, Швейцария, Швеция
Съвместимост   Инжекция/Инжекционен   Съвместимост : Foscarnet sodium              
Този екран показва съвместимостта или несъвместимостта с, в този случай, вида на несъвместимостта (утаяване, промяна на цвета, модификация на емулсия и др.). Показаните тук съвместимости са предимно физически, като рядко се оценява химическата стабилност на всяка молекула. Оценката на тези смеси беше проучена, за да се разгледа възможността за приложение на Y-място на пациента. Тези данни не могат да се използват за предварително приготвяне на смеси в торбички или спринцовки. Този тип информация е достъпна на екрана "Стабилност в сместа".
Състав / молекула Разтворител Библиография
Неопределена несъвместимост Несъвместим
Инжекция/Инжекционен Foscarnet sodium
Инжекция/Инжекционен Aciclovir sodium
3595
Незабавни валежи Несъвместим
Инжекция/Инжекционен Foscarnet sodium 24 mg/ml
Инжекция/Инжекционен Aciclovir sodium 7 mg/ml
Glucose 5% 1135
Незабавни валежи Несъвместим
Инжекция/Инжекционен Foscarnet sodium 24 mg/ml
Инжекция/Инжекционен Aciclovir sodium 7 mg/ml
Sodium chloride 0,9% 1135
Неопределена несъвместимост Несъвместим
Инжекция/Инжекционен Foscarnet sodium
Инжекция/Инжекционен Aciclovir sodium
3662
Незабавни валежи Несъвместим
Инжекция/Инжекционен Foscarnet sodium 24 mg/ml
Инжекция/Инжекционен Aciclovir sodium 10 mg/ml
Няма 73
съвместим
Инжекция/Инжекционен Foscarnet sodium 24 mg/ml
Инжекция/Инжекционен Aldesleukin 0.0338 MUI/ml
Glucose 5% 36
съвместим
Инжекция/Инжекционен Foscarnet sodium 24 mg/ml
Инжекция/Инжекционен Amikacin sulfate 20 mg/ml
Няма 73
съвместим
Инжекция/Инжекционен Foscarnet sodium 24 mg/ml
Инжекция/Инжекционен Aminophylline 25 mg/ml
Няма 73
Незабавна мътност Несъвместим
Инжекция/Инжекционен Foscarnet sodium 24 mg/ml
Инжекция/Инжекционен Amphotericin B 0.6 mg/ml
Glucose 5% 1135
Неопределена несъвместимост Несъвместим
Инжекция/Инжекционен Foscarnet sodium
Инжекция/Инжекционен Amphotericin B
3662
Незабавни валежи Несъвместим
Инжекция/Инжекционен Foscarnet sodium 24 mg/ml
Инжекция/Инжекционен Amphotericin B 5 mg/ml
Няма 73
съвместим
Инжекция/Инжекционен Foscarnet sodium 24 mg/ml
Инжекция/Инжекционен Ampicillin sodium 20 mg/ml
Няма 73
съвместим
Инжекция/Инжекционен Foscarnet sodium 24 mg/ml
Инжекция/Инжекционен Aztreonam 40 mg/ml
Sodium chloride 0,9% 1135
съвместим
Инжекция/Инжекционен Foscarnet sodium 24 mg/ml
Инжекция/Инжекционен Aztreonam 40 mg/ml
Glucose 5% 1135
съвместим
Инжекция/Инжекционен Foscarnet sodium 24 mg/ml
Инжекция/Инжекционен Aztreonam 40 mg/ml
Няма 73
Неопределена несъвместимост Несъвместим
Инжекция/Инжекционен Foscarnet sodium
Инжекция/Инжекционен Calcium chloride
3662
Неопределена несъвместимост Несъвместим
Инжекция/Инжекционен Foscarnet sodium
Инжекция/Инжекционен Calcium glucoheptonate
3662
Неопределена несъвместимост Несъвместим
Инжекция/Инжекционен Foscarnet sodium
Инжекция/Инжекционен Calcium gluconate
3662
съвместим
Инжекция/Инжекционен Foscarnet sodium 24 mg/ml
Инжекция/Инжекционен Cefazolin sodium 40 mg/ml
Няма 73
съвместим
Инжекция/Инжекционен Foscarnet sodium 24 mg/ml
Инжекция/Инжекционен Cefoperazone sodium 40 mg/ml
Няма 73
съвместим
Инжекция/Инжекционен Foscarnet sodium 24 mg/ml
Инжекция/Инжекционен Cefoxitin sodium 40 mg/ml
Няма 73
съвместим
Инжекция/Инжекционен Foscarnet sodium 24 mg/ml
Инжекция/Инжекционен Ceftazidime 20 mg/ml
Glucose 5% 1135
съвместим
Инжекция/Инжекционен Foscarnet sodium 24 mg/ml
Инжекция/Инжекционен Ceftazidime 20 mg/ml
Няма 73
съвместим
Инжекция/Инжекционен Foscarnet sodium 24 mg/ml
Инжекция/Инжекционен Ceftazidime 20 mg/ml
Sodium chloride 0,9% 1135
съвместим
Инжекция/Инжекционен Foscarnet sodium
Инжекция/Инжекционен Ceftazidime
3883
съвместим
Инжекция/Инжекционен Foscarnet sodium 24 mg/ml
Инжекция/Инжекционен Ceftizoxime sodium 40 mg/ml
Няма 73
съвместим
Инжекция/Инжекционен Foscarnet sodium 24 mg/ml
Инжекция/Инжекционен Ceftriaxone disodium 20 mg/ml
Glucose 5% 1135
съвместим
Инжекция/Инжекционен Foscarnet sodium 24 mg/ml
Инжекция/Инжекционен Ceftriaxone disodium 20 mg/ml
Sodium chloride 0,9% 1135
съвместим
Инжекция/Инжекционен Foscarnet sodium 24 mg/ml
Инжекция/Инжекционен Cefuroxime sodium 30 mg/ml
Няма 73
съвместим
Инжекция/Инжекционен Foscarnet sodium 24 mg/ml
Инжекция/Инжекционен Chloramphenicol sodium succinate 20 mg/ml
Няма 73
съвместим
Инжекция/Инжекционен Foscarnet sodium 24 mg/ml
Инжекция/Инжекционен Cimetidine hydrochloride 150 mg/ml
Няма 73
съвместим
Инжекция/Инжекционен Foscarnet sodium 24 mg/ml
Инжекция/Инжекционен Clindamycin phosphate 24 mg/ml
Няма 73
съвместим
Инжекция/Инжекционен Foscarnet sodium 24 mg/ml
Инжекция/Инжекционен Clindamycin phosphate 12 mg/ml
Glucose 5% 1135
съвместим
Инжекция/Инжекционен Foscarnet sodium 24 mg/ml
Инжекция/Инжекционен Clindamycin phosphate 12 mg/ml
Sodium chloride 0,9% 1135
Неопределена несъвместимост Несъвместим
Инжекция/Инжекционен Foscarnet sodium
Инжекция/Инжекционен Co-trimoxazole
3662
съвместим
Инжекция/Инжекционен Foscarnet sodium 24 mg/ml
Инжекция/Инжекционен Co-trimoxazole 2,6/0,53 mg/ml
Glucose 5% 1135
Незабавни валежи Несъвместим
Инжекция/Инжекционен Foscarnet sodium 24 mg/ml
Инжекция/Инжекционен Co-trimoxazole
Няма 73
съвместим
Инжекция/Инжекционен Foscarnet sodium 24 mg/ml
Инжекция/Инжекционен Defibrotide 8 mg/ml
Sodium chloride 0,9% 3728
съвместим
Инжекция/Инжекционен Foscarnet sodium 24 mg/ml
Инжекция/Инжекционен Dexamethasone sodium phosphate 10 mg/ml
Няма 73
Производство на газови мехурчета Несъвместим
Инжекция/Инжекционен Foscarnet sodium 24 mg/ml
Инжекция/Инжекционен Diazepam 5 mg/ml
Няма 73
Производство на газови мехурчета Несъвместим
Инжекция/Инжекционен Foscarnet sodium 24 mg/ml
Инжекция/Инжекционен Digoxin 250 µg/ml
Няма 73
Незабавна мътност Несъвместим
Инжекция/Инжекционен Foscarnet sodium 24 mg/ml
Инжекция/Инжекционен Diphenhydramine hydrochloride 50 mg/ml
Няма 73
Незабавни валежи Несъвместим
Инжекция/Инжекционен Foscarnet sodium 24 mg/ml
Инжекция/Инжекционен Dobutamine hydrochloride 12.5 mg/ml
Няма 73
съвместим
Инжекция/Инжекционен Foscarnet sodium 24 mg/ml
Инжекция/Инжекционен Dopamine hydrochloride 80 mg/ml
Няма 73
съвместим
Инжекция/Инжекционен Foscarnet sodium 24 mg/ml
Инжекция/Инжекционен Doripenem 5 mg/ml
Glucose 5% 2262
съвместим
Инжекция/Инжекционен Foscarnet sodium 24 mg/ml
Инжекция/Инжекционен Doripenem 5 mg/ml
Sodium chloride 0,9% 2262
Незабавни валежи Несъвместим
Инжекция/Инжекционен Foscarnet sodium 24 mg/ml
Инжекция/Инжекционен Droperidol 2.5 mg/ml
Няма 73
съвместим
Инжекция/Инжекционен Foscarnet sodium 24 mg/ml
Инжекция/Инжекционен Erythromycin lactobionate 20 mg/ml
Sodium chloride 0,9% 1135
съвместим
Инжекция/Инжекционен Foscarnet sodium 24 mg/ml
Инжекция/Инжекционен Erythromycin lactobionate 20 mg/ml
Няма 73
съвместим
Инжекция/Инжекционен Foscarnet sodium 24 mg/ml
Инжекция/Инжекционен Fluconazole 2 mg/ml
Sodium chloride 0,9% 496
Незабавна мътност Несъвместим
Инжекция/Инжекционен Foscarnet sodium 24 mg/ml
Инжекция/Инжекционен Folinate calcium 10 mg/ml
Няма 73
съвместим
Инжекция/Инжекционен Foscarnet sodium 24 mg/ml
Инжекция/Инжекционен Furosemide 10 mg/ml
Няма 73
Незабавни валежи Несъвместим
Инжекция/Инжекционен Foscarnet sodium 24 mg/ml
Инжекция/Инжекционен Ganciclovir sodium 50 mg/ml
Няма 73
Неопределена несъвместимост Несъвместим
Инжекция/Инжекционен Foscarnet sodium
Инжекция/Инжекционен Ganciclovir sodium
3662
съвместим
Инжекция/Инжекционен Foscarnet sodium 24 mg/ml
Инжекция/Инжекционен Gentamicin sulfate 4 mg/ml
Няма 73
съвместим
Инжекция/Инжекционен Foscarnet sodium 24 mg/ml
Инжекция/Инжекционен Gentamicin sulfate 2 mg/ml
Sodium chloride 0,9% 1135
съвместим
Инжекция/Инжекционен Foscarnet sodium 24 mg/ml
Инжекция/Инжекционен Gentamicin sulfate 2 mg/ml
Glucose 5% 1135
Незабавни валежи Несъвместим
Инжекция/Инжекционен Foscarnet sodium 24 mg/ml
Инжекция/Инжекционен Haloperidol lactate 5 mg/ml
Няма 73
съвместим
Инжекция/Инжекционен Foscarnet sodium 24 mg/ml
Инжекция/Инжекционен Heparin sodium 100 UI/ml
Sodium chloride 0,9% 1135
съвместим
Инжекция/Инжекционен Foscarnet sodium 24 mg/ml
Инжекция/Инжекционен Heparin sodium 1000 UI/ml
Няма 73
съвместим
Инжекция/Инжекционен Foscarnet sodium 24 mg/ml
Инжекция/Инжекционен Heparin sodium 100 UI/ml
Glucose 5% 1135
съвместим
Инжекция/Инжекционен Foscarnet sodium 24 mg/ml
Инжекция/Инжекционен Hydrocortisone sodium succinate 50 mg/ml
Няма 73
съвместим
Инжекция/Инжекционен Foscarnet sodium 24 mg/ml
Инжекция/Инжекционен Hydromorphone hydrochloride 10 mg/ml
Няма 73
съвместим
Инжекция/Инжекционен Foscarnet sodium 24 mg/ml
Инжекция/Инжекционен Hydroxyzine dihydrochloride 50 mg/ml
Няма 73
съвместим
Инжекция/Инжекционен Foscarnet sodium 24 mg/ml
Инжекция/Инжекционен Imipenem - cilastatin sodium 5 mg/ml
Glucose 5% 1135
съвместим
Инжекция/Инжекционен Foscarnet sodium 24 mg/ml
Инжекция/Инжекционен Imipenem - cilastatin sodium 10 mg/ml
Няма 73
Неопределена несъвместимост Несъвместим
Инжекция/Инжекционен Foscarnet sodium
Инжекция/Инжекционен Levofolinate calcium
3662
съвместим
Инжекция/Инжекционен Foscarnet sodium 24 mg/ml
Инжекция/Инжекционен Lorazepam 0,08 mg/ml
Sodium chloride 0,9% 1135
съвместим
Инжекция/Инжекционен Foscarnet sodium 24 mg/ml
Инжекция/Инжекционен Lorazepam 0,08 mg/ml
Glucose 5% 1135
Производство на газови мехурчета Несъвместим
Инжекция/Инжекционен Foscarnet sodium 24 mg/ml
Инжекция/Инжекционен Lorazepam 4 mg/ml
Няма 73
съвместим
Инжекция/Инжекционен Foscarnet sodium 24 mg/ml
Инжекция/Инжекционен Meropenem 50 mg/ml
Вода за инжекции 4319
съвместим
Инжекция/Инжекционен Foscarnet sodium 24 mg/ml
Инжекция/Инжекционен Metoclopramide hydrochloride 2 mg/ml
Sodium chloride 0,9% 1135
съвместим
Инжекция/Инжекционен Foscarnet sodium 24 mg/ml
Инжекция/Инжекционен Metoclopramide hydrochloride 4 mg/ml
Няма 73
съвместим
Инжекция/Инжекционен Foscarnet sodium 24 mg/ml
Инжекция/Инжекционен Metoclopramide hydrochloride 2 mg/ml
Glucose 5% 1135
съвместим
Инжекция/Инжекционен Foscarnet sodium 24 mg/ml
Инжекция/Инжекционен Metronidazole 5 mg/ml
Sodium chloride 0,9% 1135
съвместим
Инжекция/Инжекционен Foscarnet sodium 24 mg/ml
Инжекция/Инжекционен Metronidazole 5 mg/ml
Няма 73
Производство на газови мехурчета Несъвместим
Инжекция/Инжекционен Foscarnet sodium 24 mg/ml
Инжекция/Инжекционен Midazolam hydrochloride 5 mg/ml
Няма 73
съвместим
Инжекция/Инжекционен Foscarnet sodium 24 mg/ml
Инжекция/Инжекционен Morphine sulfate 1 mg/ml
Sodium chloride 0,9% 1135
съвместим
Инжекция/Инжекционен Foscarnet sodium 24 mg/ml
Инжекция/Инжекционен Morphine sulfate 15 mg/ml
Няма 64
съвместим
Инжекция/Инжекционен Foscarnet sodium 24 mg/ml
Инжекция/Инжекционен Morphine sulfate 5 mg/ml
Sodium chloride 0,9% 64
съвместим
Инжекция/Инжекционен Foscarnet sodium 24 mg/ml
Инжекция/Инжекционен Morphine sulfate 1 mg/ml
Glucose 5% 1135
съвместим
Инжекция/Инжекционен Foscarnet sodium 24 mg/ml
Инжекция/Инжекционен Morphine sulfate 1 mg/ml
Няма 73
съвместим
Инжекция/Инжекционен Foscarnet sodium 24 mg/ml
Инжекция/Инжекционен Nafcillin sodium 20 mg/ml
Glucose 5% 1135
съвместим
Инжекция/Инжекционен Foscarnet sodium 24 mg/ml
Инжекция/Инжекционен Nafcillin sodium 20 mg/ml
Sodium chloride 0,9% 1135
съвместим
Инжекция/Инжекционен Foscarnet sodium 24 mg/ml
Инжекция/Инжекционен Oxacillin sodium 40 mg/ml
Няма 73
съвместим
Инжекция/Инжекционен Foscarnet sodium 24 mg/ml
Инжекция/Инжекционен Oxacillin sodium 20 mg/ml
Glucose 5% 1135
Неопределена несъвместимост Несъвместим
Инжекция/Инжекционен Foscarnet sodium
Glucose 30% 3662
съвместим
Инжекция/Инжекционен Foscarnet sodium 24 mg/ml
Инжекция/Инжекционен Oxacillin sodium 20 mg/ml
Sodium chloride 0,9% 1135
съвместим
Инжекция/Инжекционен Foscarnet sodium 24 mg/ml
Инжекция/Инжекционен Penicillin G potassium 0.1 MUI/ml
Няма 73
Незабавни валежи Несъвместим
Инжекция/Инжекционен Foscarnet sodium 24 mg/ml
Инжекция/Инжекционен Pentamidine isetionate 6 mg/ml
Няма 73
Незабавни валежи Несъвместим
Инжекция/Инжекционен Foscarnet sodium 24 mg/ml
Инжекция/Инжекционен Pentamidine isetionate 6 mg/ml
Glucose 5% 1135
Неопределена несъвместимост Несъвместим
Инжекция/Инжекционен Foscarnet sodium
Инжекция/Инжекционен Pentamidine isetionate
3662
Незабавни валежи Несъвместим
Инжекция/Инжекционен Foscarnet sodium 24 mg/ml
Инжекция/Инжекционен Pentamidine isetionate 6 mg/ml
Sodium chloride 0,9% 1135
Незабавни валежи Несъвместим
Инжекция/Инжекционен Foscarnet sodium 24 mg/ml
Инжекция/Инжекционен Phenytoin sodium 50 mg/ml
Няма 73
съвместим
Инжекция/Инжекционен Foscarnet sodium 24 mg/ml
Инжекция/Инжекционен Piperacillin sodium 80 mg/ml
Няма 73
Незабавна мътност Несъвместим
Инжекция/Инжекционен Foscarnet sodium 24 mg/ml
Инжекция/Инжекционен Prochlorperazine edysilate 5 mg/ml
Няма 73
Производство на газови мехурчета Несъвместим
Инжекция/Инжекционен Foscarnet sodium 24 mg/ml
Инжекция/Инжекционен Promethazine hydrochloride 50 mg/ml
Няма 73
съвместим
Инжекция/Инжекционен Foscarnet sodium 24 mg/ml
Инжекция/Инжекционен Ranitidine hydrochloride 2 mg/ml
Sodium chloride 0,9% 1135
съвместим
Инжекция/Инжекционен Foscarnet sodium 24 mg/ml
Инжекция/Инжекционен Ranitidine hydrochloride 2 mg/ml
Glucose 5% 1135
съвместим
Инжекция/Инжекционен Foscarnet sodium 24 mg/ml
Инжекция/Инжекционен Ticarcillin / clavulanic acid 100 mg/ml
Sodium chloride 0,9% 1135
съвместим
Инжекция/Инжекционен Foscarnet sodium 24 mg/ml
Инжекция/Инжекционен Ticarcillin / clavulanic acid 100 mg/ml
Glucose 5% 1135
съвместим
Инжекция/Инжекционен Foscarnet sodium 24 mg/ml
Инжекция/Инжекционен Tobramycin sulfate 40 mg/ml
Няма 73
съвместим
Инжекция/Инжекционен Foscarnet sodium 24 mg/ml
Инжекция/Инжекционен Vancomycin hydrochloride 10 mg/ml
Sodium chloride 0,9% 132
Неопределена несъвместимост Несъвместим
Инжекция/Инжекционен Foscarnet sodium
Инжекция/Инжекционен Vancomycin hydrochloride
3662
съвместим
Инжекция/Инжекционен Foscarnet sodium 24 mg/ml
Инжекция/Инжекционен Vancomycin hydrochloride 15 mg/ml
Sodium chloride 0,9% 1135
съвместим
Инжекция/Инжекционен Foscarnet sodium 24 mg/ml
Инжекция/Инжекционен Vancomycin hydrochloride 15 mg/ml
Glucose 5% 1135
Незабавни валежи Несъвместим
Инжекция/Инжекционен Foscarnet sodium 24 mg/ml
Инжекция/Инжекционен Vancomycin hydrochloride 20 mg/ml
Няма 73

  Mentions Légales