Cập nhật lần cuối :
17/12/2025
Kháng sinh   Ampicillin sodium - sulbactam sodium  
Dạng tiêm
Tính ổn định của các dung dịch Độ ổn định khi trộn lẫn Những yếu tố ảnh hưởng đến độ ổn định Khả năng tương thích Đường dùng Tài liệu tham khảo Pdf
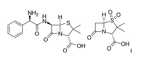
   Cấu trúc hóa học  

Tên thương mại   Tên thương mại     

Các tên thương mại được cung cấp và thành phần tá dược có thể khác nhau giữa các quốc gia và các hãng dược

Alfasid Thổ Nhĩ Kỳ
Ampibac Colombia
Ampibactam Venezuela
Ampicillin sulbactam Úc
Ampicillina sodica - sulbactam Brazil, Ecuador
Ampictam Ả Rập
Ampiplus Ả Rập Saudi, Romania
Ampisid Thổ Nhĩ Kỳ
Ampixim Venezuela
Bacimex Tây Ban Nha
Begalin Hy Lạp
Bethacil Ý
Cinclox Ấn Độ
Combicid Thổ Nhĩ Kỳ
Darzitil Argentina
Duobaktam Thổ Nhĩ Kỳ
Duocid Thổ Nhĩ Kỳ
Galotam Tây Ban Nha
Libractam Chile
Loricin Ý
Prixin Argentina
Ranpisul Mexico
Retarpen Tây Ban Nha
Sabect Ả Rập
Sulamp Colombia
Sulbacter Venezuela
Sulbaksit Thổ Nhĩ Kỳ
Sulbin Ả Rập
Sulcid Thổ Nhĩ Kỳ
Sumitan Colombia, Venezuela
Synerpen Ả Rập
Ultracillin Ả Rập
Unacid Đức
Unacim Pháp
Unasyn Ả Rập, Ả Rập Saudi, Áo, Ba Lan, Brazil, Chile, Colombia, Ecuador, Hoa Kỳ, Hungary, Malaysia, Mexico, Morocco, Nhật, Peru, Tây Ban Nha, Ý, Đức
Unictam Ả Rập
Xilbac Peru
Khả năng tương thích   Dạng tiêm   Khả năng tương thích : Ampicillin sodium - sulbactam sodium              
Màn hình này cho biết khả năng tương thích hoặc không tương thích, trong trường hợp này là loại không tương thích (kết tủa, thay đổi màu sắc, sửa đổi nhũ tương, v.v.). Sự tương hợp được chỉ ra ở đây chủ yếu chỉ là vật lý, với độ ổn định hóa học của mỗi phân tử hiếm khi được đánh giá. Việc đánh giá các hỗn hợp này được nghiên cứu để xem xét khả năng sử dụng vị trí Y cho bệnh nhân. Những dữ liệu này không thể được sử dụng để tạo hỗn hợp trước trong túi hoặc ống tiêm. Loại thông tin này có sẵn trong màn hình "Độ ổn định trong hỗn hợp».
Phân tử Dung môi Mục lục
Tương thích
Dạng tiêm Ampicillin sodium - sulbactam sodium 20/10 mg/ml
Dạng tiêm Amifostine 10 mg/ml
Glucose 5% 3
Không ổn định hóa học Không tương thích
Dạng tiêm Ampicillin sodium - sulbactam sodium
Dạng tiêm Amikacin sulfate
3549
Lượng mưa ngay lập tức Không tương thích
Dạng tiêm Ampicillin sodium - sulbactam sodium 30 mg/ml
Dạng tiêm Amiodarone hydrochloride 6 mg/ml
NaCl 0,9% 1611
Lượng mưa ngay lập tức Không tương thích
Dạng tiêm Ampicillin sodium - sulbactam sodium 30 mg/ml
Dạng tiêm Amiodarone hydrochloride 6 mg/ml
Glucose 5% 1611
Lượng mưa ngay lập tức Không tương thích
Dạng tiêm Ampicillin sodium - sulbactam sodium 20/10 mg/ml
Dạng tiêm Amphotericin B cholesteryl sulfate complex 0.83 mg/ml
Glucose 5% 921
Tương thích
Dạng tiêm Ampicillin sodium - sulbactam sodium 20/10 mg/ml
Dạng tiêm Anidulafungin 0.5 mg/ml
Glucose 5% 1982
Tương thích
Dạng tiêm Ampicillin sodium - sulbactam sodium 20/10 mg/ml
Dạng tiêm Aztreonam 40 mg/ml
Glucose 5% 99
Tương thích
Dạng tiêm Ampicillin sodium - sulbactam sodium 20/10 mg/ml
Dạng tiêm Bivalirudin 5 mg/ml
Glucose 5% 1713
Tương thích
Dạng tiêm Ampicillin sodium - sulbactam sodium 20/10 mg/ml
Dạng tiêm Ceftolozane / tazobactam 10/5 mg/ml
NaCl 0,9% 3828
Tương thích
Dạng tiêm Ampicillin sodium - sulbactam sodium 20/10 mg/ml
Dạng tiêm Ceftolozane / tazobactam 10/5 mg/ml
Glucose 5% 3828
Lượng mưa ngay lập tức Không tương thích
Dạng tiêm Ampicillin sodium - sulbactam sodium
Dạng tiêm Ciprofloxacin lactate
Glucose 5% 1500
Lượng mưa ngay lập tức Không tương thích
Dạng tiêm Ampicillin sodium - sulbactam sodium 30 mg/ml
Dạng tiêm Ciprofloxacin lactate 2 mg/ml
Glucose 5% 285
Lượng mưa ngay lập tức Không tương thích
Dạng tiêm Ampicillin sodium - sulbactam sodium
Dạng tiêm Ciprofloxacin lactate
NaCl 0,9% 1500
Không tương thích không xác định Không tương thích
Dạng tiêm Ampicillin sodium - sulbactam sodium
Dạng tiêm Ciprofloxacin lactate
3529
Độ đục ngay lập tức Không tương thích
Dạng tiêm Ampicillin sodium - sulbactam sodium 20/10 mg/ml
Dạng tiêm Cisatracurium besylate 5 mg/ml
Glucose 5% 299
Tương thích
Dạng tiêm Ampicillin sodium - sulbactam sodium 20/10 mg/ml
Dạng tiêm Dexmedetomidine 4 µg/ml
NaCl 0,9% 1712
Tương thích
Dạng tiêm Ampicillin sodium - sulbactam sodium 20/10 mg/ml
Dạng tiêm Docetaxel 0.9 mg/ml
Glucose 5% 1754
Không tương thích không xác định Không tương thích
Dạng tiêm Ampicillin sodium - sulbactam sodium
Dinh dưỡng đường tĩnh mạch (hỗn hợp 2 thành phần) 5067
Tương thích
Dạng tiêm Ampicillin sodium - sulbactam sodium 20/10 mg/ml
Dinh dưỡng đường tĩnh mạch (hỗn hợp 2 thành phần) 301
Không tương thích không xác định Không tương thích
Dạng tiêm Ampicillin sodium - sulbactam sodium
Dinh dưỡng đường tĩnh mạch (có lipids) 5067
Tương thích
Dạng tiêm Ampicillin sodium - sulbactam sodium 20/10 mg/ml
Dạng tiêm Cisatracurium besylate 0.1 & 2 mg/ml
Glucose 5% 299
Độ đục ngay lập tức Không tương thích
Dạng tiêm Ampicillin sodium - sulbactam sodium 20/10 mg/ml
Dạng tiêm Cisatracurium besylate 5 mg/ml
NaCl 0,9% 299
Tương thích
Dạng tiêm Ampicillin sodium - sulbactam sodium 2 & 15 mg/ml
Dạng tiêm Diltiazem hydrochloride 5 mg/ml
NaCl 0,9% 198
Tương thích
Dạng tiêm Ampicillin sodium - sulbactam sodium 45 mg/ml
Dạng tiêm Diltiazem hydrochloride 1 mg/ml
NaCl 0,9% 198
Tương thích
Dạng tiêm Ampicillin sodium - sulbactam sodium 20 mg/ml
Dinh dưỡng đường tĩnh mạch (có lipids) 4507
Độ đục ngay lập tức Không tương thích
Dạng tiêm Ampicillin sodium - sulbactam sodium 45 mg/ml
Dạng tiêm Diltiazem hydrochloride 5 mg/ml
NaCl 0,9% 198
Tương thích
Dạng tiêm Ampicillin sodium - sulbactam sodium 15 mg/ml
Dạng tiêm Enalaprilate 0.05 mg/ml
NaCl 0,9% 1315
Tương thích
Dạng tiêm Ampicillin sodium - sulbactam sodium 20/10 mg/ml
Dinh dưỡng đường tĩnh mạch (có lipids) 1415
Không tương thích không xác định Không tương thích
Dạng tiêm Ampicillin sodium - sulbactam sodium
Dạng tiêm Erythromycin lactobionate
3674
Tương thích
Dạng tiêm Ampicillin sodium - sulbactam sodium 30 mg/ml
Dạng tiêm Famotidine
Glucose 5% 397
Tương thích
Dạng tiêm Ampicillin sodium - sulbactam sodium 60 mg/ml
Dạng tiêm Fluconazole 2 mg/ml
NaCl 0,9% 496
Tương thích
Dạng tiêm Ampicillin sodium - sulbactam sodium 15 mg/ml
Dinh dưỡng đường tĩnh mạch (có lipids) 4440
Tương thích
Dạng tiêm Ampicillin sodium - sulbactam sodium 20/10 mg/ml
Dạng tiêm Etoposide phosphate 5 mg/ml
Glucose 5% 1410
Tương thích
Dạng tiêm Ampicillin sodium - sulbactam sodium 20/10 mg/ml
Dạng tiêm Fenoldopam mesylate 80 µg/ml
NaCl 0,9% 1803
Tương thích
Dạng tiêm Ampicillin sodium - sulbactam sodium 20/10 mg/ml
Dạng tiêm Filgrastim 30 µg/ml
Glucose 5% 244
Tương thích
Dạng tiêm Ampicillin sodium - sulbactam sodium 20/10 mg/ml
Dạng tiêm Fludarabine phosphate 1 mg/ml
Glucose 5% 492
Tương thích
Dạng tiêm Ampicillin sodium - sulbactam sodium 20/10 mg/ml
Dạng tiêm Fosfomycin 30 mg/ml
Glucose 5% 4055
Tương thích
Dạng tiêm Ampicillin sodium - sulbactam sodium 20/10 mg/ml
Dạng tiêm Fosfomycin 30 mg/ml
NaCl 0,9% 4055
Tương thích
Dạng tiêm Ampicillin sodium - sulbactam sodium 45/22.4 mg/ml
Dạng tiêm Gallium nitrate 1 mg/ml
NaCl 0,9% 91
Tương thích
Dạng tiêm Ampicillin sodium - sulbactam sodium 20/10 mg/ml
Dạng tiêm Gemcitabine hydrochloride 10 mg/ml
NaCl 0,9% 1423
Không tương thích không xác định Không tương thích
Dạng tiêm Ampicillin sodium - sulbactam sodium
Dạng tiêm Gentamicin sulfate
3520
Không tương thích không xác định Không tương thích
Dạng tiêm Ampicillin sodium - sulbactam sodium
Dạng tiêm Gentamicin sulfate
3643
Tương thích
Dạng tiêm Ampicillin sodium - sulbactam sodium 20/10 mg/ml
Dạng tiêm Granisetron hydrochloride 0.05 mg/ml
NaCl 0,9% 182
Tương thích
Dạng tiêm Ampicillin sodium - sulbactam sodium 30 mg/ml
Dạng tiêm Heparin sodium 50 UI/ml
Không 317
Tương thích
Dạng tiêm Ampicillin sodium - sulbactam sodium 20/10 mg/ml
Dạng tiêm Hetastarch 60 mg/ml
dung môi cụ thể 1721
Độ đục ngay lập tức Không tương thích
Dạng tiêm Ampicillin sodium - sulbactam sodium 30 mg/ml
Dạng tiêm Idarubicin hydrochloride 1 mg/ml
NaCl 0,9% 491
Tương thích
Dạng tiêm Ampicillin sodium - sulbactam sodium 30 mg/ml
Dạng tiêm Insulin 0.2 UI/ml
NaCl 0,9% 129
Độ đục ngay lập tức Không tương thích
Dạng tiêm Ampicillin sodium - sulbactam sodium 20/10 mg/ml
Dạng tiêm Isavuconazonium sulfate 1.5 mg/ml
NaCl 0,9% 3829
Tương thích
Dạng tiêm Ampicillin sodium - sulbactam sodium
NaCl 0,9% 5067
Độ đục ngay lập tức Không tương thích
Dạng tiêm Ampicillin sodium - sulbactam sodium 20/10 mg/ml
Dạng tiêm Isavuconazonium sulfate 1.5 mg/ml
Glucose 5% 3829
Tương thích
Dạng tiêm Ampicillin sodium - sulbactam sodium 20/10 mg/ml
Dạng tiêm Ketoprofene 3.2 mg/ml
NaCl 0,9% 1847
Lượng mưa ngay lập tức Không tương thích
Dạng tiêm Ampicillin sodium - sulbactam sodium 20/10 mg/ml
Dạng tiêm Lansoprazole 0.55 mg/ml
NaCl 0,9% 1625
Tương thích
Dạng tiêm Ampicillin sodium - sulbactam sodium 20/10 mg/ml
Dạng tiêm Linezolid 2 mg/ml
Không 1925
Tương thích
Dạng tiêm Ampicillin sodium - sulbactam sodium 30 mg/ml
Dạng tiêm Morphine sulfate 1 mg/ml
NaCl 0,9% 406
Độ đục ngay lập tức Không tương thích
Dạng tiêm Ampicillin sodium - sulbactam sodium 15 mg/ml
Dạng tiêm Nicardipine hydrochloride 0.1 mg/ml
NaCl 0,9% 1490
Độ đục ngay lập tức Không tương thích
Dạng tiêm Ampicillin sodium - sulbactam sodium 15 mg/ml
Dạng tiêm Nicardipine hydrochloride 0.1 mg/ml
Glucose 5% 1490
Lượng mưa ngay lập tức Không tương thích
Dạng tiêm Ampicillin sodium - sulbactam sodium 20/10 mg/ml
Dạng tiêm Ondansetron hydrochloride 1 mg/ml
NaCl 0,9% 334
Tương thích
Dạng tiêm Ampicillin sodium - sulbactam sodium 20/10 mg/ml
Dạng tiêm Paclitaxel 1.2 mg/ml
Glucose 5% 248
Tương thích
Dạng tiêm Ampicillin sodium - sulbactam sodium 20/10 mg/ml
Dạng tiêm Palonosetron hydrochloride 50 µg/ml
NaCl 0,9% 2214
Tương thích
Dạng tiêm Ampicillin sodium - sulbactam sodium 20/10 mg/ml
Dạng tiêm Pemetrexed disodium 20 mg/ml
NaCl 0,9% 1953
Tương thích
Dạng tiêm Ampicillin sodium - sulbactam sodium 30 mg/ml
Dạng tiêm Pethidine hydrochloride 10 mg/ml
NaCl 0,9% 406
Tương thích
Dạng tiêm Ampicillin sodium - sulbactam sodium 20/10 mg/ml
Dạng tiêm Plazomicin sulfate 24 mg/ml
NaCl 0,9% 4145
Tương thích
Dạng tiêm Ampicillin sodium - sulbactam sodium 20/10 mg/ml
Dạng tiêm Remifentanil hydrochloride 25 & 250 µg/ml
NaCl 0,9% 59
Lượng mưa sau 4 giờ Không tương thích
Dạng tiêm Ampicillin sodium - sulbactam sodium 20/10 mg/ml
Dạng tiêm Sargramostim 10 µg/ml
NaCl 0,9% 335
Tương thích
Dạng tiêm Ampicillin sodium - sulbactam sodium 200 mg/ml
Dạng tiêm Sugammadex 100 mg/ml
Không 3372
Tương thích
Dạng tiêm Ampicillin sodium - sulbactam sodium 50 mg/ml
Dạng tiêm Tacrolimus 1000 µg/ml
NaCl 0,9% 479
Tương thích
Dạng tiêm Ampicillin sodium - sulbactam sodium 20/10 mg/ml
Dạng tiêm Tedizolid phosphate 0.8 mg/ml
NaCl 0,9% 3827
Tương thích
Dạng tiêm Ampicillin sodium - sulbactam sodium 20/10 mg/ml
Dạng tiêm Telavancin hydrochloride 7.5 mg/ml
Glucose 5% 3254
Tương thích
Dạng tiêm Ampicillin sodium - sulbactam sodium 20/10 mg/ml
Dạng tiêm Telavancin hydrochloride 7.5 mg/ml
NaCl 0,9% 3254
Tương thích
Dạng tiêm Ampicillin sodium - sulbactam sodium 20/10 mg/ml
Dạng tiêm Telavancin hydrochloride 7.5 mg/ml
Dung dịch Ringer’s lactate 3254
Tương thích
Dạng tiêm Ampicillin sodium - sulbactam sodium 20/10 mg/ml
Dạng tiêm Teniposide 0.1 mg/ml
Glucose 5% 905
Tương thích
Dạng tiêm Ampicillin sodium - sulbactam sodium 30 mg/ml
Dạng tiêm Theophylline 4 mg/ml
Không 317
Tương thích
Dạng tiêm Ampicillin sodium - sulbactam sodium 20/10 mg/ml
Dạng tiêm Thiotepa 1 mg/ml
Glucose 5% 249
Tương thích
Dạng tiêm Ampicillin sodium - sulbactam sodium 10/20 mg/ml
Dạng tiêm Tramadol hydrochloride 0,4 mg/ml
NaCl 0,9% 2002
Tương thích
Dạng tiêm Ampicillin sodium - sulbactam sodium 1/0.5 >> 250/125 mg/ml
Dạng tiêm Vancomycin hydrochloride 2 mg/ml
Glucose 5% 1674
Tương thích
Dạng tiêm Ampicillin sodium - sulbactam sodium 1/0.5 >> 50/25 mg/ml
Dạng tiêm Vancomycin hydrochloride 20 mg/ml
Glucose 5% 1674
Lượng mưa ngay lập tức Không tương thích
Dạng tiêm Ampicillin sodium - sulbactam sodium 250-125 mg/ml
Dạng tiêm Vancomycin hydrochloride 20 mg/ml
Glucose 5% 1674

  Mentions Légales