Ultimele actualizari :
17/12/2025
Antibiotic   Ampicillin sodium - sulbactam sodium  
Injectabil
Stabilitatea in solutie Stabilitatea in amestec Factorii care influenteaza stabilitatea Compatibilitate Microunde Bibliografie pdf
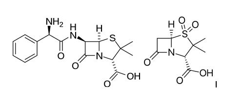
   Formula chimica  

Denumirea comerciala   Denumirea comerciala     

Trade names are indicative and excipients composition can be different depending on the country and manufacturers

Alfasid Turcia
Ampibac Columbia
Ampibactam Venezuela
Ampicillin sulbactam Australia
Ampicillina sodica - sulbactam Brazilia, Ecuador
Ampictam Egipt
Ampiplus Arabia Saudita, Romania
Ampisid Turcia
Ampixim Venezuela
Bacimex Spania
Begalin Grecia
Bethacil Italia
Cinclox India
Combicid Turcia
Darzitil Argentina
Duobaktam Turcia
Duocid Turcia
Galotam Spania
Libractam Chilli
Loricin Italia
Prixin Argentina
Ranpisul Mexic
Retarpen Spania
Sabect Egipt
Sulamp Columbia
Sulbacter Venezuela
Sulbaksit Turcia
Sulbin Egipt
Sulcid Turcia
Sumitan Columbia, Venezuela
Synerpen Egipt
Ultracillin Egipt
Unacid Germania
Unacim Franta
Unasyn Arabia Saudita, Austria, Brazilia, Chilli, Columbia, Ecuador, Egipt, Germania, Italia, Japonia, Malaezia, Maroc, Mexic, Peru, Polonia, Spania, SUA, Ungaria
Unictam Egipt
Xilbac Peru
Compatibilitate   Injectabil   Compatibilitate : Ampicillin sodium - sulbactam sodium              
Acest ecran indică compatibilitățile sau incompatibilitățile cu, în acest caz, tipul de incompatibilitate (precipitații, schimbarea culorii, modificarea unei emulsii etc.). Compatibilitățile prezentate aici sunt în mare parte numai fizice, stabilitatea chimică a fiecărei molecule fiind rareori evaluată. Evaluarea acestor amestecuri a fost studiată pentru a lua în considerare posibilitatea administrării site-ului Y la pacient. Aceste date nu pot fi utilizate pentru prepararea în prealabil a amestecurilor în pungi sau seringi. Acest tip de informații este disponibil în ecranul „Stabilitate în amestec».
Molecula (substanta activa) Solvent Bibiografie
Compatibil
Injectabil Ampicillin sodium - sulbactam sodium 20/10 mg/ml
Injectabil Amifostine 10 mg/ml
Glucoza 5% 3
Instabilitate chimică Incompatibil
Injectabil Ampicillin sodium - sulbactam sodium
Injectabil Amikacin sulfate
3549
Precipitații imediate Incompatibil
Injectabil Ampicillin sodium - sulbactam sodium 30 mg/ml
Injectabil Amiodarone hydrochloride 6 mg/ml
clorura de sodiu 0,9% 1611
Precipitații imediate Incompatibil
Injectabil Ampicillin sodium - sulbactam sodium 30 mg/ml
Injectabil Amiodarone hydrochloride 6 mg/ml
Glucoza 5% 1611
Precipitații imediate Incompatibil
Injectabil Ampicillin sodium - sulbactam sodium 20/10 mg/ml
Injectabil Amphotericin B cholesteryl sulfate complex 0.83 mg/ml
Glucoza 5% 921
Compatibil
Injectabil Ampicillin sodium - sulbactam sodium 20/10 mg/ml
Injectabil Anidulafungin 0.5 mg/ml
Glucoza 5% 1982
Compatibil
Injectabil Ampicillin sodium - sulbactam sodium 20/10 mg/ml
Injectabil Aztreonam 40 mg/ml
Glucoza 5% 99
Compatibil
Injectabil Ampicillin sodium - sulbactam sodium 20/10 mg/ml
Injectabil Bivalirudin 5 mg/ml
Glucoza 5% 1713
Compatibil
Injectabil Ampicillin sodium - sulbactam sodium 20/10 mg/ml
Injectabil Ceftolozane / tazobactam 10/5 mg/ml
clorura de sodiu 0,9% 3828
Compatibil
Injectabil Ampicillin sodium - sulbactam sodium 20/10 mg/ml
Injectabil Ceftolozane / tazobactam 10/5 mg/ml
Glucoza 5% 3828
Precipitații imediate Incompatibil
Injectabil Ampicillin sodium - sulbactam sodium
Injectabil Ciprofloxacin lactate
Glucoza 5% 1500
Precipitații imediate Incompatibil
Injectabil Ampicillin sodium - sulbactam sodium 30 mg/ml
Injectabil Ciprofloxacin lactate 2 mg/ml
Glucoza 5% 285
Precipitații imediate Incompatibil
Injectabil Ampicillin sodium - sulbactam sodium
Injectabil Ciprofloxacin lactate
clorura de sodiu 0,9% 1500
Incompatibilitate nespecificată Incompatibil
Injectabil Ampicillin sodium - sulbactam sodium
Injectabil Ciprofloxacin lactate
3529
Turbiditate imediată Incompatibil
Injectabil Ampicillin sodium - sulbactam sodium 20/10 mg/ml
Injectabil Cisatracurium besylate 5 mg/ml
Glucoza 5% 299
Compatibil
Injectabil Ampicillin sodium - sulbactam sodium 20/10 mg/ml
Injectabil Dexmedetomidine 4 µg/ml
clorura de sodiu 0,9% 1712
Compatibil
Injectabil Ampicillin sodium - sulbactam sodium 20/10 mg/ml
Injectabil Docetaxel 0.9 mg/ml
Glucoza 5% 1754
Incompatibilitate nespecificată Incompatibil
Injectabil Ampicillin sodium - sulbactam sodium
Nutritie parenterala (amestec binar) 5067
Compatibil
Injectabil Ampicillin sodium - sulbactam sodium 20/10 mg/ml
Nutritie parenterala (amestec binar) 301
Incompatibilitate nespecificată Incompatibil
Injectabil Ampicillin sodium - sulbactam sodium
Nutriție parenterală (cu lipide) 5067
Compatibil
Injectabil Ampicillin sodium - sulbactam sodium 20/10 mg/ml
Injectabil Cisatracurium besylate 0.1 & 2 mg/ml
Glucoza 5% 299
Turbiditate imediată Incompatibil
Injectabil Ampicillin sodium - sulbactam sodium 20/10 mg/ml
Injectabil Cisatracurium besylate 5 mg/ml
clorura de sodiu 0,9% 299
Compatibil
Injectabil Ampicillin sodium - sulbactam sodium 2 & 15 mg/ml
Injectabil Diltiazem hydrochloride 5 mg/ml
clorura de sodiu 0,9% 198
Compatibil
Injectabil Ampicillin sodium - sulbactam sodium 45 mg/ml
Injectabil Diltiazem hydrochloride 1 mg/ml
clorura de sodiu 0,9% 198
Compatibil
Injectabil Ampicillin sodium - sulbactam sodium 20 mg/ml
Nutriție parenterală (cu lipide) 4507
Turbiditate imediată Incompatibil
Injectabil Ampicillin sodium - sulbactam sodium 45 mg/ml
Injectabil Diltiazem hydrochloride 5 mg/ml
clorura de sodiu 0,9% 198
Compatibil
Injectabil Ampicillin sodium - sulbactam sodium 15 mg/ml
Injectabil Enalaprilate 0.05 mg/ml
clorura de sodiu 0,9% 1315
Compatibil
Injectabil Ampicillin sodium - sulbactam sodium 20/10 mg/ml
Nutriție parenterală (cu lipide) 1415
Incompatibilitate nespecificată Incompatibil
Injectabil Ampicillin sodium - sulbactam sodium
Injectabil Erythromycin lactobionate
3674
Compatibil
Injectabil Ampicillin sodium - sulbactam sodium 30 mg/ml
Injectabil Famotidine
Glucoza 5% 397
Compatibil
Injectabil Ampicillin sodium - sulbactam sodium 60 mg/ml
Injectabil Fluconazole 2 mg/ml
clorura de sodiu 0,9% 496
Compatibil
Injectabil Ampicillin sodium - sulbactam sodium 15 mg/ml
Nutriție parenterală (cu lipide) 4440
Compatibil
Injectabil Ampicillin sodium - sulbactam sodium 20/10 mg/ml
Injectabil Etoposide phosphate 5 mg/ml
Glucoza 5% 1410
Compatibil
Injectabil Ampicillin sodium - sulbactam sodium 20/10 mg/ml
Injectabil Fenoldopam mesylate 80 µg/ml
clorura de sodiu 0,9% 1803
Compatibil
Injectabil Ampicillin sodium - sulbactam sodium 20/10 mg/ml
Injectabil Filgrastim 30 µg/ml
Glucoza 5% 244
Compatibil
Injectabil Ampicillin sodium - sulbactam sodium 20/10 mg/ml
Injectabil Fludarabine phosphate 1 mg/ml
Glucoza 5% 492
Compatibil
Injectabil Ampicillin sodium - sulbactam sodium 20/10 mg/ml
Injectabil Fosfomycin 30 mg/ml
Glucoza 5% 4055
Compatibil
Injectabil Ampicillin sodium - sulbactam sodium 20/10 mg/ml
Injectabil Fosfomycin 30 mg/ml
clorura de sodiu 0,9% 4055
Compatibil
Injectabil Ampicillin sodium - sulbactam sodium 45/22.4 mg/ml
Injectabil Gallium nitrate 1 mg/ml
clorura de sodiu 0,9% 91
Compatibil
Injectabil Ampicillin sodium - sulbactam sodium 20/10 mg/ml
Injectabil Gemcitabine hydrochloride 10 mg/ml
clorura de sodiu 0,9% 1423
Incompatibilitate nespecificată Incompatibil
Injectabil Ampicillin sodium - sulbactam sodium
Injectabil Gentamicin sulfate
3520
Incompatibilitate nespecificată Incompatibil
Injectabil Ampicillin sodium - sulbactam sodium
Injectabil Gentamicin sulfate
3643
Compatibil
Injectabil Ampicillin sodium - sulbactam sodium 20/10 mg/ml
Injectabil Granisetron hydrochloride 0.05 mg/ml
clorura de sodiu 0,9% 182
Compatibil
Injectabil Ampicillin sodium - sulbactam sodium 30 mg/ml
Injectabil Heparin sodium 50 UI/ml
fara 317
Compatibil
Injectabil Ampicillin sodium - sulbactam sodium 20/10 mg/ml
Injectabil Hetastarch 60 mg/ml
specific de solvent 1721
Turbiditate imediată Incompatibil
Injectabil Ampicillin sodium - sulbactam sodium 30 mg/ml
Injectabil Idarubicin hydrochloride 1 mg/ml
clorura de sodiu 0,9% 491
Compatibil
Injectabil Ampicillin sodium - sulbactam sodium 30 mg/ml
Injectabil Insulin 0.2 UI/ml
clorura de sodiu 0,9% 129
Turbiditate imediată Incompatibil
Injectabil Ampicillin sodium - sulbactam sodium 20/10 mg/ml
Injectabil Isavuconazonium sulfate 1.5 mg/ml
clorura de sodiu 0,9% 3829
Compatibil
Injectabil Ampicillin sodium - sulbactam sodium
clorura de sodiu 0,9% 5067
Turbiditate imediată Incompatibil
Injectabil Ampicillin sodium - sulbactam sodium 20/10 mg/ml
Injectabil Isavuconazonium sulfate 1.5 mg/ml
Glucoza 5% 3829
Compatibil
Injectabil Ampicillin sodium - sulbactam sodium 20/10 mg/ml
Injectabil Ketoprofene 3.2 mg/ml
clorura de sodiu 0,9% 1847
Precipitații imediate Incompatibil
Injectabil Ampicillin sodium - sulbactam sodium 20/10 mg/ml
Injectabil Lansoprazole 0.55 mg/ml
clorura de sodiu 0,9% 1625
Compatibil
Injectabil Ampicillin sodium - sulbactam sodium 20/10 mg/ml
Injectabil Linezolid 2 mg/ml
fara 1925
Compatibil
Injectabil Ampicillin sodium - sulbactam sodium 30 mg/ml
Injectabil Morphine sulfate 1 mg/ml
clorura de sodiu 0,9% 406
Turbiditate imediată Incompatibil
Injectabil Ampicillin sodium - sulbactam sodium 15 mg/ml
Injectabil Nicardipine hydrochloride 0.1 mg/ml
clorura de sodiu 0,9% 1490
Turbiditate imediată Incompatibil
Injectabil Ampicillin sodium - sulbactam sodium 15 mg/ml
Injectabil Nicardipine hydrochloride 0.1 mg/ml
Glucoza 5% 1490
Precipitații imediate Incompatibil
Injectabil Ampicillin sodium - sulbactam sodium 20/10 mg/ml
Injectabil Ondansetron hydrochloride 1 mg/ml
clorura de sodiu 0,9% 334
Compatibil
Injectabil Ampicillin sodium - sulbactam sodium 20/10 mg/ml
Injectabil Paclitaxel 1.2 mg/ml
Glucoza 5% 248
Compatibil
Injectabil Ampicillin sodium - sulbactam sodium 20/10 mg/ml
Injectabil Palonosetron hydrochloride 50 µg/ml
clorura de sodiu 0,9% 2214
Compatibil
Injectabil Ampicillin sodium - sulbactam sodium 20/10 mg/ml
Injectabil Pemetrexed disodium 20 mg/ml
clorura de sodiu 0,9% 1953
Compatibil
Injectabil Ampicillin sodium - sulbactam sodium 30 mg/ml
Injectabil Pethidine hydrochloride 10 mg/ml
clorura de sodiu 0,9% 406
Compatibil
Injectabil Ampicillin sodium - sulbactam sodium 20/10 mg/ml
Injectabil Plazomicin sulfate 24 mg/ml
clorura de sodiu 0,9% 4145
Compatibil
Injectabil Ampicillin sodium - sulbactam sodium 20/10 mg/ml
Injectabil Remifentanil hydrochloride 25 & 250 µg/ml
clorura de sodiu 0,9% 59
Precipitații după 4 ore Incompatibil
Injectabil Ampicillin sodium - sulbactam sodium 20/10 mg/ml
Injectabil Sargramostim 10 µg/ml
clorura de sodiu 0,9% 335
Compatibil
Injectabil Ampicillin sodium - sulbactam sodium 200 mg/ml
Injectabil Sugammadex 100 mg/ml
fara 3372
Compatibil
Injectabil Ampicillin sodium - sulbactam sodium 50 mg/ml
Injectabil Tacrolimus 1000 µg/ml
clorura de sodiu 0,9% 479
Compatibil
Injectabil Ampicillin sodium - sulbactam sodium 20/10 mg/ml
Injectabil Tedizolid phosphate 0.8 mg/ml
clorura de sodiu 0,9% 3827
Compatibil
Injectabil Ampicillin sodium - sulbactam sodium 20/10 mg/ml
Injectabil Telavancin hydrochloride 7.5 mg/ml
Glucoza 5% 3254
Compatibil
Injectabil Ampicillin sodium - sulbactam sodium 20/10 mg/ml
Injectabil Telavancin hydrochloride 7.5 mg/ml
clorura de sodiu 0,9% 3254
Compatibil
Injectabil Ampicillin sodium - sulbactam sodium 20/10 mg/ml
Injectabil Telavancin hydrochloride 7.5 mg/ml
Solutie Ringer lactat 3254
Compatibil
Injectabil Ampicillin sodium - sulbactam sodium 20/10 mg/ml
Injectabil Teniposide 0.1 mg/ml
Glucoza 5% 905
Compatibil
Injectabil Ampicillin sodium - sulbactam sodium 30 mg/ml
Injectabil Theophylline 4 mg/ml
fara 317
Compatibil
Injectabil Ampicillin sodium - sulbactam sodium 20/10 mg/ml
Injectabil Thiotepa 1 mg/ml
Glucoza 5% 249
Compatibil
Injectabil Ampicillin sodium - sulbactam sodium 10/20 mg/ml
Injectabil Tramadol hydrochloride 0,4 mg/ml
clorura de sodiu 0,9% 2002
Compatibil
Injectabil Ampicillin sodium - sulbactam sodium 1/0.5 >> 250/125 mg/ml
Injectabil Vancomycin hydrochloride 2 mg/ml
Glucoza 5% 1674
Compatibil
Injectabil Ampicillin sodium - sulbactam sodium 1/0.5 >> 50/25 mg/ml
Injectabil Vancomycin hydrochloride 20 mg/ml
Glucoza 5% 1674
Precipitații imediate Incompatibil
Injectabil Ampicillin sodium - sulbactam sodium 250-125 mg/ml
Injectabil Vancomycin hydrochloride 20 mg/ml
Glucoza 5% 1674

  Mentions Légales