Последнее обновление :
18/03/2026
Антибиотик   Ampicillin sodium - sulbactam sodium  
Инъекция
Стабильность растворов Стабильность смесей Факторы, которые влияют на стабильность Совместимость Способы введения Библиография pdf
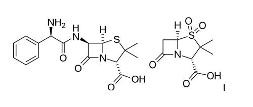
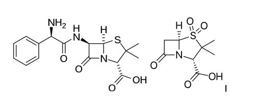
   Химическая структура  

Товарное название   Товарное название     

Trade names are indicative and excipients composition can be different depending on the country and manufacturers

Alfasid Турция
Ampibac Колумбия
Ampibactam Венесуэла
Ampicillin sulbactam Австралия
Ampicillina sodica - sulbactam Бразилия, Эквадор
Ampictam Египет
Ampiplus Румыния, Саудовская Аравия
Ampisid Турция
Ampixim Венесуэла
Bacimex Испания
Begalin Греция
Bethacil Италия
Cinclox Индия
Combicid Турция
Darzitil Аргентина
Duobaktam Турция
Duocid Турция
Galotam Испания
Libractam чили
Loricin Италия
Prixin Аргентина
Ranpisul Мексика
Retarpen Испания
Sabect Египет
Sulamp Колумбия
Sulbacter Венесуэла
Sulbaksit Турция
Sulbin Египет
Sulcid Турция
Sumitan Венесуэла, Колумбия
Synerpen Египет
Ultracillin Египет
Unacid Германия
Unacim Франция
Unasyn Австрия, Бразилия, Венгрия, Германия, Египет, Испания, Италия, Колумбия, Малайзия, Марокко, Мексика, Перу, Польша, Саудовская Аравия, Соединённые Штаты Америки, чили, Эквадор, Япония
Unictam Египет
Xilbac Перу
Совместимость   Инъекция   Совместимость : Ampicillin sodium - sulbactam sodium              
Эта таблица показывает совместимость или несовместимость препаратов, по возможности тип несовместимости (преципитат, смена цвета, разложение эмульсии и др.). Показанные здесь совместимости в основном физические, по возможности указана и химическая стабильность каждой молекулы. Анализ этих смесей произведён для исследования возможности ввести препараты пациенту в Y-соединении систем. Эти данные нельзя использовать, чтобы приготовить лекарства на будущее в мешках или шприцах. Эта информация доступна в разделе "Стабильность смесей".
Молекула Растворитель Ссылки
совместимый
Инъекция Ampicillin sodium - sulbactam sodium 20/10 mg/ml
Инъекция Amifostine 10 mg/ml
Глюкоза 5% 3
Химическая нестабильность несовместимый
Инъекция Ampicillin sodium - sulbactam sodium
Инъекция Amikacin sulfate
3549
Немедленные осадки несовместимый
Инъекция Ampicillin sodium - sulbactam sodium 30 mg/ml
Инъекция Amiodarone hydrochloride 6 mg/ml
Натрия хлорид 0,9% 1611
Немедленные осадки несовместимый
Инъекция Ampicillin sodium - sulbactam sodium 30 mg/ml
Инъекция Amiodarone hydrochloride 6 mg/ml
Глюкоза 5% 1611
Немедленные осадки несовместимый
Инъекция Ampicillin sodium - sulbactam sodium 20/10 mg/ml
Инъекция Amphotericin B cholesteryl sulfate complex 0.83 mg/ml
Глюкоза 5% 921
совместимый
Инъекция Ampicillin sodium - sulbactam sodium 20/10 mg/ml
Инъекция Anidulafungin 0.5 mg/ml
Глюкоза 5% 1982
совместимый
Инъекция Ampicillin sodium - sulbactam sodium 20/10 mg/ml
Инъекция Aztreonam 40 mg/ml
Глюкоза 5% 99
совместимый
Инъекция Ampicillin sodium - sulbactam sodium 20/10 mg/ml
Инъекция Bivalirudin 5 mg/ml
Глюкоза 5% 1713
совместимый
Инъекция Ampicillin sodium - sulbactam sodium 20/10 mg/ml
Инъекция Ceftolozane / tazobactam 10/5 mg/ml
Натрия хлорид 0,9% 3828
совместимый
Инъекция Ampicillin sodium - sulbactam sodium 20/10 mg/ml
Инъекция Ceftolozane / tazobactam 10/5 mg/ml
Глюкоза 5% 3828
Немедленные осадки несовместимый
Инъекция Ampicillin sodium - sulbactam sodium
Инъекция Ciprofloxacin lactate
Глюкоза 5% 1500
Немедленные осадки несовместимый
Инъекция Ampicillin sodium - sulbactam sodium 30 mg/ml
Инъекция Ciprofloxacin lactate 2 mg/ml
Глюкоза 5% 285
Немедленные осадки несовместимый
Инъекция Ampicillin sodium - sulbactam sodium
Инъекция Ciprofloxacin lactate
Натрия хлорид 0,9% 1500
Неопределенная несовместимость несовместимый
Инъекция Ampicillin sodium - sulbactam sodium
Инъекция Ciprofloxacin lactate
3529
Немедленная мутность несовместимый
Инъекция Ampicillin sodium - sulbactam sodium 20/10 mg/ml
Инъекция Cisatracurium besylate 5 mg/ml
Глюкоза 5% 299
совместимый
Инъекция Ampicillin sodium - sulbactam sodium 20/10 mg/ml
Инъекция Dexmedetomidine 4 µg/ml
Натрия хлорид 0,9% 1712
совместимый
Инъекция Ampicillin sodium - sulbactam sodium 20/10 mg/ml
Инъекция Docetaxel 0.9 mg/ml
Глюкоза 5% 1754
Неопределенная несовместимость несовместимый
Инъекция Ampicillin sodium - sulbactam sodium
Парентеральное питание (бинарная смесь) 5067
совместимый
Инъекция Ampicillin sodium - sulbactam sodium 20/10 mg/ml
Парентеральное питание (бинарная смесь) 301
Неопределенная несовместимость несовместимый
Инъекция Ampicillin sodium - sulbactam sodium
Парентеральное питание (с липидами) 5067
совместимый
Инъекция Ampicillin sodium - sulbactam sodium 20/10 mg/ml
Инъекция Cisatracurium besylate 0.1 & 2 mg/ml
Глюкоза 5% 299
Немедленная мутность несовместимый
Инъекция Ampicillin sodium - sulbactam sodium 20/10 mg/ml
Инъекция Cisatracurium besylate 5 mg/ml
Натрия хлорид 0,9% 299
совместимый
Инъекция Ampicillin sodium - sulbactam sodium 2 & 15 mg/ml
Инъекция Diltiazem hydrochloride 5 mg/ml
Натрия хлорид 0,9% 198
совместимый
Инъекция Ampicillin sodium - sulbactam sodium 45 mg/ml
Инъекция Diltiazem hydrochloride 1 mg/ml
Натрия хлорид 0,9% 198
совместимый
Инъекция Ampicillin sodium - sulbactam sodium 20 mg/ml
Парентеральное питание (с липидами) 4507
Немедленная мутность несовместимый
Инъекция Ampicillin sodium - sulbactam sodium 45 mg/ml
Инъекция Diltiazem hydrochloride 5 mg/ml
Натрия хлорид 0,9% 198
совместимый
Инъекция Ampicillin sodium - sulbactam sodium 15 mg/ml
Инъекция Enalaprilate 0.05 mg/ml
Натрия хлорид 0,9% 1315
совместимый
Инъекция Ampicillin sodium - sulbactam sodium 20/10 mg/ml
Парентеральное питание (с липидами) 1415
Неопределенная несовместимость несовместимый
Инъекция Ampicillin sodium - sulbactam sodium
Инъекция Erythromycin lactobionate
3674
совместимый
Инъекция Ampicillin sodium - sulbactam sodium 30 mg/ml
Инъекция Famotidine
Глюкоза 5% 397
совместимый
Инъекция Ampicillin sodium - sulbactam sodium 60 mg/ml
Инъекция Fluconazole 2 mg/ml
Натрия хлорид 0,9% 496
совместимый
Инъекция Ampicillin sodium - sulbactam sodium 15 mg/ml
Парентеральное питание (с липидами) 4440
совместимый
Инъекция Ampicillin sodium - sulbactam sodium 20/10 mg/ml
Инъекция Etoposide phosphate 5 mg/ml
Глюкоза 5% 1410
совместимый
Инъекция Ampicillin sodium - sulbactam sodium 20/10 mg/ml
Инъекция Fenoldopam mesylate 80 µg/ml
Натрия хлорид 0,9% 1803
совместимый
Инъекция Ampicillin sodium - sulbactam sodium 20/10 mg/ml
Инъекция Filgrastim 30 µg/ml
Глюкоза 5% 244
совместимый
Инъекция Ampicillin sodium - sulbactam sodium 20/10 mg/ml
Инъекция Fludarabine phosphate 1 mg/ml
Глюкоза 5% 492
совместимый
Инъекция Ampicillin sodium - sulbactam sodium 20/10 mg/ml
Инъекция Fosfomycin 30 mg/ml
Глюкоза 5% 4055
совместимый
Инъекция Ampicillin sodium - sulbactam sodium 20/10 mg/ml
Инъекция Fosfomycin 30 mg/ml
Натрия хлорид 0,9% 4055
совместимый
Инъекция Ampicillin sodium - sulbactam sodium 45/22.4 mg/ml
Инъекция Gallium nitrate 1 mg/ml
Натрия хлорид 0,9% 91
совместимый
Инъекция Ampicillin sodium - sulbactam sodium 20/10 mg/ml
Инъекция Gemcitabine hydrochloride 10 mg/ml
Натрия хлорид 0,9% 1423
Неопределенная несовместимость несовместимый
Инъекция Ampicillin sodium - sulbactam sodium
Инъекция Gentamicin sulfate
3520
Неопределенная несовместимость несовместимый
Инъекция Ampicillin sodium - sulbactam sodium
Инъекция Gentamicin sulfate
3643
совместимый
Инъекция Ampicillin sodium - sulbactam sodium 20/10 mg/ml
Инъекция Granisetron hydrochloride 0.05 mg/ml
Натрия хлорид 0,9% 182
совместимый
Инъекция Ampicillin sodium - sulbactam sodium 30 mg/ml
Инъекция Heparin sodium 50 UI/ml
Нет 317
совместимый
Инъекция Ampicillin sodium - sulbactam sodium 20/10 mg/ml
Инъекция Hetastarch 60 mg/ml
Конкретные растворителя 1721
Немедленная мутность несовместимый
Инъекция Ampicillin sodium - sulbactam sodium 30 mg/ml
Инъекция Idarubicin hydrochloride 1 mg/ml
Натрия хлорид 0,9% 491
совместимый
Инъекция Ampicillin sodium - sulbactam sodium 30 mg/ml
Инъекция Insulin 0.2 UI/ml
Натрия хлорид 0,9% 129
Немедленная мутность несовместимый
Инъекция Ampicillin sodium - sulbactam sodium 20/10 mg/ml
Инъекция Isavuconazonium sulfate 1.5 mg/ml
Натрия хлорид 0,9% 3829
совместимый
Инъекция Ampicillin sodium - sulbactam sodium
Натрия хлорид 0,9% 5067
Немедленная мутность несовместимый
Инъекция Ampicillin sodium - sulbactam sodium 20/10 mg/ml
Инъекция Isavuconazonium sulfate 1.5 mg/ml
Глюкоза 5% 3829
совместимый
Инъекция Ampicillin sodium - sulbactam sodium 20/10 mg/ml
Инъекция Ketoprofene 3.2 mg/ml
Натрия хлорид 0,9% 1847
Немедленные осадки несовместимый
Инъекция Ampicillin sodium - sulbactam sodium 20/10 mg/ml
Инъекция Lansoprazole 0.55 mg/ml
Натрия хлорид 0,9% 1625
совместимый
Инъекция Ampicillin sodium - sulbactam sodium 20/10 mg/ml
Инъекция Linezolid 2 mg/ml
Нет 1925
совместимый
Инъекция Ampicillin sodium - sulbactam sodium 30 mg/ml
Инъекция Morphine sulfate 1 mg/ml
Натрия хлорид 0,9% 406
Немедленная мутность несовместимый
Инъекция Ampicillin sodium - sulbactam sodium 15 mg/ml
Инъекция Nicardipine hydrochloride 0.1 mg/ml
Натрия хлорид 0,9% 1490
Немедленная мутность несовместимый
Инъекция Ampicillin sodium - sulbactam sodium 15 mg/ml
Инъекция Nicardipine hydrochloride 0.1 mg/ml
Глюкоза 5% 1490
Немедленные осадки несовместимый
Инъекция Ampicillin sodium - sulbactam sodium 20/10 mg/ml
Инъекция Ondansetron hydrochloride 1 mg/ml
Натрия хлорид 0,9% 334
совместимый
Инъекция Ampicillin sodium - sulbactam sodium 20/10 mg/ml
Инъекция Paclitaxel 1.2 mg/ml
Глюкоза 5% 248
совместимый
Инъекция Ampicillin sodium - sulbactam sodium 20/10 mg/ml
Инъекция Palonosetron hydrochloride 50 µg/ml
Натрия хлорид 0,9% 2214
совместимый
Инъекция Ampicillin sodium - sulbactam sodium 20/10 mg/ml
Инъекция Pemetrexed disodium 20 mg/ml
Натрия хлорид 0,9% 1953
совместимый
Инъекция Ampicillin sodium - sulbactam sodium 30 mg/ml
Инъекция Pethidine hydrochloride 10 mg/ml
Натрия хлорид 0,9% 406
совместимый
Инъекция Ampicillin sodium - sulbactam sodium 20/10 mg/ml
Инъекция Plazomicin sulfate 24 mg/ml
Натрия хлорид 0,9% 4145
совместимый
Инъекция Ampicillin sodium - sulbactam sodium 20/10 mg/ml
Инъекция Remifentanil hydrochloride 25 & 250 µg/ml
Натрия хлорид 0,9% 59
Осадки через 4 часа несовместимый
Инъекция Ampicillin sodium - sulbactam sodium 20/10 mg/ml
Инъекция Sargramostim 10 µg/ml
Натрия хлорид 0,9% 335
совместимый
Инъекция Ampicillin sodium - sulbactam sodium 200 mg/ml
Инъекция Sugammadex 100 mg/ml
Нет 3372
совместимый
Инъекция Ampicillin sodium - sulbactam sodium 50 mg/ml
Инъекция Tacrolimus 1000 µg/ml
Натрия хлорид 0,9% 479
совместимый
Инъекция Ampicillin sodium - sulbactam sodium 20/10 mg/ml
Инъекция Tedizolid phosphate 0.8 mg/ml
Натрия хлорид 0,9% 3827
совместимый
Инъекция Ampicillin sodium - sulbactam sodium 20/10 mg/ml
Инъекция Telavancin hydrochloride 7.5 mg/ml
Глюкоза 5% 3254
совместимый
Инъекция Ampicillin sodium - sulbactam sodium 20/10 mg/ml
Инъекция Telavancin hydrochloride 7.5 mg/ml
Натрия хлорид 0,9% 3254
совместимый
Инъекция Ampicillin sodium - sulbactam sodium 20/10 mg/ml
Инъекция Telavancin hydrochloride 7.5 mg/ml
Раствор Рингера лактата 3254
совместимый
Инъекция Ampicillin sodium - sulbactam sodium 20/10 mg/ml
Инъекция Teniposide 0.1 mg/ml
Глюкоза 5% 905
совместимый
Инъекция Ampicillin sodium - sulbactam sodium 30 mg/ml
Инъекция Theophylline 4 mg/ml
Нет 317
совместимый
Инъекция Ampicillin sodium - sulbactam sodium 20/10 mg/ml
Инъекция Thiotepa 1 mg/ml
Глюкоза 5% 249
совместимый
Инъекция Ampicillin sodium - sulbactam sodium 10/20 mg/ml
Инъекция Tramadol hydrochloride 0,4 mg/ml
Натрия хлорид 0,9% 2002
совместимый
Инъекция Ampicillin sodium - sulbactam sodium 1/0.5 >> 250/125 mg/ml
Инъекция Vancomycin hydrochloride 2 mg/ml
Глюкоза 5% 1674
совместимый
Инъекция Ampicillin sodium - sulbactam sodium 1/0.5 >> 50/25 mg/ml
Инъекция Vancomycin hydrochloride 20 mg/ml
Глюкоза 5% 1674
Немедленные осадки несовместимый
Инъекция Ampicillin sodium - sulbactam sodium 250-125 mg/ml
Инъекция Vancomycin hydrochloride 20 mg/ml
Глюкоза 5% 1674

  Mentions Légales