Τελευταία ενημέρωση :
18/03/2026
Αντιβιοτικό   Ampicillin sodium - sulbactam sodium  
Ενέσιμο
Σταθερότητα διαλυμάτων Σταθερότητα σε μίγματα Παράγοντας που επηρεάζει τη σταθερότητα Συμβατότητες Τρόπος χορήγησης Βιβλιογραφία pdf
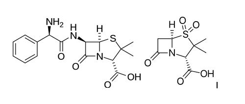
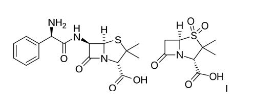
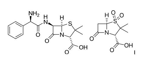
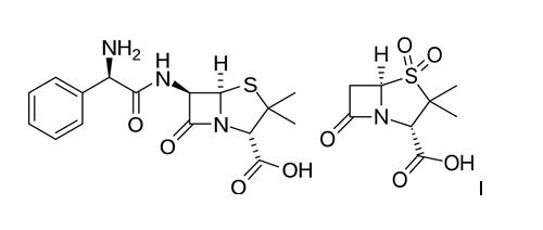
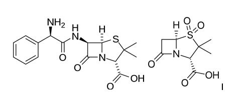
   χημική δομή  

Εμπορική ονομασία   Εμπορική ονομασία     

Οι εμπορικές ονομασίες είναι ενδεικτικές και η σύνθεση των εκδόχων μπορεί να διαφέρει ανάλογα με τη χώρα και τα εργαστήρια

Alfasid Τουρκία
Ampibac Κολομβία
Ampibactam Βενεζουέλα
Ampicillin sulbactam Αυστραλία
Ampicillina sodica - sulbactam Βραζιλία, Εκουαδόρ
Ampictam Αίγυπτος
Ampiplus Ρουμανία, Σαουδική Αραβία
Ampisid Τουρκία
Ampixim Βενεζουέλα
Bacimex Ισπανία
Begalin Ελλάδα
Bethacil Ιταλία
Cinclox Ινδία
Combicid Τουρκία
Darzitil Αργεντινή
Duobaktam Τουρκία
Duocid Τουρκία
Galotam Ισπανία
Libractam Χιλή
Loricin Ιταλία
Prixin Αργεντινή
Ranpisul Μεξικό
Retarpen Ισπανία
Sabect Αίγυπτος
Sulamp Κολομβία
Sulbacter Βενεζουέλα
Sulbaksit Τουρκία
Sulbin Αίγυπτος
Sulcid Τουρκία
Sumitan Βενεζουέλα, Κολομβία
Synerpen Αίγυπτος
Ultracillin Αίγυπτος
Unacid Γερμανία
Unacim Γαλλία
Unasyn Αίγυπτος, Αυστρία, Βραζιλία, Γερμανία, Εκουαδόρ, Η.Π.Α., Ιαπωνία, Ισπανία, Ιταλία, Κολομβία, Μαλαισία, Μαρόκο, Μεξικό, Ουγγαρία, Περού, Πολωνία, Σαουδική Αραβία, Χιλή
Unictam Αίγυπτος
Xilbac Περού
Συμβατότητες    Ενέσιμο   Συμβατότητες : Ampicillin sodium - sulbactam sodium              
Σε αυτή την οθόνη εμφανίζονται οι συμβατότητες ή ασυμβατότητες. Σε αυτή την περίπτωση εμφανίζονται το είδος της ασυμβατότητας (ίζημα, αλλαγή χρώματος, μεταβολή γαλακτώματος, κλπ). Οι συμβατότητες που παρουσιάζονται εδώ είναι κυρίως φυσικές, ενώ η χημική σταθερότητα κάθε μορίου σπάνια περιλαμβάνεται. Η αξιολόγηση αυτών των μιγμάτων μελετήθηκε προκειμένου να εκτιμηθεί η πιθανότητα χορήγησης στον ασθενή στο Υ κέντρο. Τα δεδομένα αυτά δεν μπορούν να χρησιμοποιηθούν για την εκ των προτέρων δημιουργία μιγμάτων σε ασκούς ή σύριγγες. Αυτό το είδος πληροφορίας υπάρχει και μπορεί να αναζητηθεί στην οθόνη «Σταθερότητα σε μίγμα».
Συστατικό Διαλυτικό Βιβλιογραφία
Σύμφωνος
Ενέσιμο Ampicillin sodium - sulbactam sodium 20/10 mg/ml
Ενέσιμο Amifostine 10 mg/ml
Γλυκόζη 5% 3
Χημική αστάθεια Ασύμβατες
Ενέσιμο Ampicillin sodium - sulbactam sodium
Ενέσιμο Amikacin sulfate
3549
Άμεση βροχόπτωση Ασύμβατες
Ενέσιμο Ampicillin sodium - sulbactam sodium 30 mg/ml
Ενέσιμο Amiodarone hydrochloride 6 mg/ml
Χλωριούχο νάτριο 0,9% 1611
Άμεση βροχόπτωση Ασύμβατες
Ενέσιμο Ampicillin sodium - sulbactam sodium 30 mg/ml
Ενέσιμο Amiodarone hydrochloride 6 mg/ml
Γλυκόζη 5% 1611
Άμεση βροχόπτωση Ασύμβατες
Ενέσιμο Ampicillin sodium - sulbactam sodium 20/10 mg/ml
Ενέσιμο Amphotericin B cholesteryl sulfate complex 0.83 mg/ml
Γλυκόζη 5% 921
Σύμφωνος
Ενέσιμο Ampicillin sodium - sulbactam sodium 20/10 mg/ml
Ενέσιμο Anidulafungin 0.5 mg/ml
Γλυκόζη 5% 1982
Σύμφωνος
Ενέσιμο Ampicillin sodium - sulbactam sodium 20/10 mg/ml
Ενέσιμο Aztreonam 40 mg/ml
Γλυκόζη 5% 99
Σύμφωνος
Ενέσιμο Ampicillin sodium - sulbactam sodium 20/10 mg/ml
Ενέσιμο Bivalirudin 5 mg/ml
Γλυκόζη 5% 1713
Σύμφωνος
Ενέσιμο Ampicillin sodium - sulbactam sodium 20/10 mg/ml
Ενέσιμο Ceftolozane / tazobactam 10/5 mg/ml
Χλωριούχο νάτριο 0,9% 3828
Σύμφωνος
Ενέσιμο Ampicillin sodium - sulbactam sodium 20/10 mg/ml
Ενέσιμο Ceftolozane / tazobactam 10/5 mg/ml
Γλυκόζη 5% 3828
Άμεση βροχόπτωση Ασύμβατες
Ενέσιμο Ampicillin sodium - sulbactam sodium
Ενέσιμο Ciprofloxacin lactate
Γλυκόζη 5% 1500
Άμεση βροχόπτωση Ασύμβατες
Ενέσιμο Ampicillin sodium - sulbactam sodium 30 mg/ml
Ενέσιμο Ciprofloxacin lactate 2 mg/ml
Γλυκόζη 5% 285
Άμεση βροχόπτωση Ασύμβατες
Ενέσιμο Ampicillin sodium - sulbactam sodium
Ενέσιμο Ciprofloxacin lactate
Χλωριούχο νάτριο 0,9% 1500
Απροσδιόριστη ασυμβατότητα Ασύμβατες
Ενέσιμο Ampicillin sodium - sulbactam sodium
Ενέσιμο Ciprofloxacin lactate
3529
Άμεση θολότητα Ασύμβατες
Ενέσιμο Ampicillin sodium - sulbactam sodium 20/10 mg/ml
Ενέσιμο Cisatracurium besylate 5 mg/ml
Γλυκόζη 5% 299
Σύμφωνος
Ενέσιμο Ampicillin sodium - sulbactam sodium 20/10 mg/ml
Ενέσιμο Dexmedetomidine 4 µg/ml
Χλωριούχο νάτριο 0,9% 1712
Σύμφωνος
Ενέσιμο Ampicillin sodium - sulbactam sodium 20/10 mg/ml
Ενέσιμο Docetaxel 0.9 mg/ml
Γλυκόζη 5% 1754
Απροσδιόριστη ασυμβατότητα Ασύμβατες
Ενέσιμο Ampicillin sodium - sulbactam sodium
Παρεντερική  θρέψη (ελεύθερο λιπιδίων) 5067
Σύμφωνος
Ενέσιμο Ampicillin sodium - sulbactam sodium 20/10 mg/ml
Παρεντερική  θρέψη (ελεύθερο λιπιδίων) 301
Απροσδιόριστη ασυμβατότητα Ασύμβατες
Ενέσιμο Ampicillin sodium - sulbactam sodium
Παρεντερική διατροφή (με λιπίδια) 5067
Σύμφωνος
Ενέσιμο Ampicillin sodium - sulbactam sodium 20/10 mg/ml
Ενέσιμο Cisatracurium besylate 0.1 & 2 mg/ml
Γλυκόζη 5% 299
Άμεση θολότητα Ασύμβατες
Ενέσιμο Ampicillin sodium - sulbactam sodium 20/10 mg/ml
Ενέσιμο Cisatracurium besylate 5 mg/ml
Χλωριούχο νάτριο 0,9% 299
Σύμφωνος
Ενέσιμο Ampicillin sodium - sulbactam sodium 2 & 15 mg/ml
Ενέσιμο Diltiazem hydrochloride 5 mg/ml
Χλωριούχο νάτριο 0,9% 198
Σύμφωνος
Ενέσιμο Ampicillin sodium - sulbactam sodium 45 mg/ml
Ενέσιμο Diltiazem hydrochloride 1 mg/ml
Χλωριούχο νάτριο 0,9% 198
Σύμφωνος
Ενέσιμο Ampicillin sodium - sulbactam sodium 20 mg/ml
Παρεντερική διατροφή (με λιπίδια) 4507
Άμεση θολότητα Ασύμβατες
Ενέσιμο Ampicillin sodium - sulbactam sodium 45 mg/ml
Ενέσιμο Diltiazem hydrochloride 5 mg/ml
Χλωριούχο νάτριο 0,9% 198
Σύμφωνος
Ενέσιμο Ampicillin sodium - sulbactam sodium 15 mg/ml
Ενέσιμο Enalaprilate 0.05 mg/ml
Χλωριούχο νάτριο 0,9% 1315
Σύμφωνος
Ενέσιμο Ampicillin sodium - sulbactam sodium 20/10 mg/ml
Παρεντερική διατροφή (με λιπίδια) 1415
Απροσδιόριστη ασυμβατότητα Ασύμβατες
Ενέσιμο Ampicillin sodium - sulbactam sodium
Ενέσιμο Erythromycin lactobionate
3674
Σύμφωνος
Ενέσιμο Ampicillin sodium - sulbactam sodium 30 mg/ml
Ενέσιμο Famotidine
Γλυκόζη 5% 397
Σύμφωνος
Ενέσιμο Ampicillin sodium - sulbactam sodium 60 mg/ml
Ενέσιμο Fluconazole 2 mg/ml
Χλωριούχο νάτριο 0,9% 496
Σύμφωνος
Ενέσιμο Ampicillin sodium - sulbactam sodium 15 mg/ml
Παρεντερική διατροφή (με λιπίδια) 4440
Σύμφωνος
Ενέσιμο Ampicillin sodium - sulbactam sodium 20/10 mg/ml
Ενέσιμο Etoposide phosphate 5 mg/ml
Γλυκόζη 5% 1410
Σύμφωνος
Ενέσιμο Ampicillin sodium - sulbactam sodium 20/10 mg/ml
Ενέσιμο Fenoldopam mesylate 80 µg/ml
Χλωριούχο νάτριο 0,9% 1803
Σύμφωνος
Ενέσιμο Ampicillin sodium - sulbactam sodium 20/10 mg/ml
Ενέσιμο Filgrastim 30 µg/ml
Γλυκόζη 5% 244
Σύμφωνος
Ενέσιμο Ampicillin sodium - sulbactam sodium 20/10 mg/ml
Ενέσιμο Fludarabine phosphate 1 mg/ml
Γλυκόζη 5% 492
Σύμφωνος
Ενέσιμο Ampicillin sodium - sulbactam sodium 20/10 mg/ml
Ενέσιμο Fosfomycin 30 mg/ml
Γλυκόζη 5% 4055
Σύμφωνος
Ενέσιμο Ampicillin sodium - sulbactam sodium 20/10 mg/ml
Ενέσιμο Fosfomycin 30 mg/ml
Χλωριούχο νάτριο 0,9% 4055
Σύμφωνος
Ενέσιμο Ampicillin sodium - sulbactam sodium 45/22.4 mg/ml
Ενέσιμο Gallium nitrate 1 mg/ml
Χλωριούχο νάτριο 0,9% 91
Σύμφωνος
Ενέσιμο Ampicillin sodium - sulbactam sodium 20/10 mg/ml
Ενέσιμο Gemcitabine hydrochloride 10 mg/ml
Χλωριούχο νάτριο 0,9% 1423
Απροσδιόριστη ασυμβατότητα Ασύμβατες
Ενέσιμο Ampicillin sodium - sulbactam sodium
Ενέσιμο Gentamicin sulfate
3520
Απροσδιόριστη ασυμβατότητα Ασύμβατες
Ενέσιμο Ampicillin sodium - sulbactam sodium
Ενέσιμο Gentamicin sulfate
3643
Σύμφωνος
Ενέσιμο Ampicillin sodium - sulbactam sodium 20/10 mg/ml
Ενέσιμο Granisetron hydrochloride 0.05 mg/ml
Χλωριούχο νάτριο 0,9% 182
Σύμφωνος
Ενέσιμο Ampicillin sodium - sulbactam sodium 30 mg/ml
Ενέσιμο Heparin sodium 50 UI/ml
Ουδέν 317
Σύμφωνος
Ενέσιμο Ampicillin sodium - sulbactam sodium 20/10 mg/ml
Ενέσιμο Hetastarch 60 mg/ml
Ειδικά διαλύτη 1721
Άμεση θολότητα Ασύμβατες
Ενέσιμο Ampicillin sodium - sulbactam sodium 30 mg/ml
Ενέσιμο Idarubicin hydrochloride 1 mg/ml
Χλωριούχο νάτριο 0,9% 491
Σύμφωνος
Ενέσιμο Ampicillin sodium - sulbactam sodium 30 mg/ml
Ενέσιμο Insulin 0.2 UI/ml
Χλωριούχο νάτριο 0,9% 129
Άμεση θολότητα Ασύμβατες
Ενέσιμο Ampicillin sodium - sulbactam sodium 20/10 mg/ml
Ενέσιμο Isavuconazonium sulfate 1.5 mg/ml
Χλωριούχο νάτριο 0,9% 3829
Σύμφωνος
Ενέσιμο Ampicillin sodium - sulbactam sodium
Χλωριούχο νάτριο 0,9% 5067
Άμεση θολότητα Ασύμβατες
Ενέσιμο Ampicillin sodium - sulbactam sodium 20/10 mg/ml
Ενέσιμο Isavuconazonium sulfate 1.5 mg/ml
Γλυκόζη 5% 3829
Σύμφωνος
Ενέσιμο Ampicillin sodium - sulbactam sodium 20/10 mg/ml
Ενέσιμο Ketoprofene 3.2 mg/ml
Χλωριούχο νάτριο 0,9% 1847
Άμεση βροχόπτωση Ασύμβατες
Ενέσιμο Ampicillin sodium - sulbactam sodium 20/10 mg/ml
Ενέσιμο Lansoprazole 0.55 mg/ml
Χλωριούχο νάτριο 0,9% 1625
Σύμφωνος
Ενέσιμο Ampicillin sodium - sulbactam sodium 20/10 mg/ml
Ενέσιμο Linezolid 2 mg/ml
Ουδέν 1925
Σύμφωνος
Ενέσιμο Ampicillin sodium - sulbactam sodium 30 mg/ml
Ενέσιμο Morphine sulfate 1 mg/ml
Χλωριούχο νάτριο 0,9% 406
Άμεση θολότητα Ασύμβατες
Ενέσιμο Ampicillin sodium - sulbactam sodium 15 mg/ml
Ενέσιμο Nicardipine hydrochloride 0.1 mg/ml
Χλωριούχο νάτριο 0,9% 1490
Άμεση θολότητα Ασύμβατες
Ενέσιμο Ampicillin sodium - sulbactam sodium 15 mg/ml
Ενέσιμο Nicardipine hydrochloride 0.1 mg/ml
Γλυκόζη 5% 1490
Άμεση βροχόπτωση Ασύμβατες
Ενέσιμο Ampicillin sodium - sulbactam sodium 20/10 mg/ml
Ενέσιμο Ondansetron hydrochloride 1 mg/ml
Χλωριούχο νάτριο 0,9% 334
Σύμφωνος
Ενέσιμο Ampicillin sodium - sulbactam sodium 20/10 mg/ml
Ενέσιμο Paclitaxel 1.2 mg/ml
Γλυκόζη 5% 248
Σύμφωνος
Ενέσιμο Ampicillin sodium - sulbactam sodium 20/10 mg/ml
Ενέσιμο Palonosetron hydrochloride 50 µg/ml
Χλωριούχο νάτριο 0,9% 2214
Σύμφωνος
Ενέσιμο Ampicillin sodium - sulbactam sodium 20/10 mg/ml
Ενέσιμο Pemetrexed disodium 20 mg/ml
Χλωριούχο νάτριο 0,9% 1953
Σύμφωνος
Ενέσιμο Ampicillin sodium - sulbactam sodium 30 mg/ml
Ενέσιμο Pethidine hydrochloride 10 mg/ml
Χλωριούχο νάτριο 0,9% 406
Σύμφωνος
Ενέσιμο Ampicillin sodium - sulbactam sodium 20/10 mg/ml
Ενέσιμο Plazomicin sulfate 24 mg/ml
Χλωριούχο νάτριο 0,9% 4145
Σύμφωνος
Ενέσιμο Ampicillin sodium - sulbactam sodium 20/10 mg/ml
Ενέσιμο Remifentanil hydrochloride 25 & 250 µg/ml
Χλωριούχο νάτριο 0,9% 59
Καταβύθιση μετά από 4 ώρες Ασύμβατες
Ενέσιμο Ampicillin sodium - sulbactam sodium 20/10 mg/ml
Ενέσιμο Sargramostim 10 µg/ml
Χλωριούχο νάτριο 0,9% 335
Σύμφωνος
Ενέσιμο Ampicillin sodium - sulbactam sodium 200 mg/ml
Ενέσιμο Sugammadex 100 mg/ml
Ουδέν 3372
Σύμφωνος
Ενέσιμο Ampicillin sodium - sulbactam sodium 50 mg/ml
Ενέσιμο Tacrolimus 1000 µg/ml
Χλωριούχο νάτριο 0,9% 479
Σύμφωνος
Ενέσιμο Ampicillin sodium - sulbactam sodium 20/10 mg/ml
Ενέσιμο Tedizolid phosphate 0.8 mg/ml
Χλωριούχο νάτριο 0,9% 3827
Σύμφωνος
Ενέσιμο Ampicillin sodium - sulbactam sodium 20/10 mg/ml
Ενέσιμο Telavancin hydrochloride 7.5 mg/ml
Γλυκόζη 5% 3254
Σύμφωνος
Ενέσιμο Ampicillin sodium - sulbactam sodium 20/10 mg/ml
Ενέσιμο Telavancin hydrochloride 7.5 mg/ml
Χλωριούχο νάτριο 0,9% 3254
Σύμφωνος
Ενέσιμο Ampicillin sodium - sulbactam sodium 20/10 mg/ml
Ενέσιμο Telavancin hydrochloride 7.5 mg/ml
Γαλακτικό διάλυμα Ringer 3254
Σύμφωνος
Ενέσιμο Ampicillin sodium - sulbactam sodium 20/10 mg/ml
Ενέσιμο Teniposide 0.1 mg/ml
Γλυκόζη 5% 905
Σύμφωνος
Ενέσιμο Ampicillin sodium - sulbactam sodium 30 mg/ml
Ενέσιμο Theophylline 4 mg/ml
Ουδέν 317
Σύμφωνος
Ενέσιμο Ampicillin sodium - sulbactam sodium 20/10 mg/ml
Ενέσιμο Thiotepa 1 mg/ml
Γλυκόζη 5% 249
Σύμφωνος
Ενέσιμο Ampicillin sodium - sulbactam sodium 10/20 mg/ml
Ενέσιμο Tramadol hydrochloride 0,4 mg/ml
Χλωριούχο νάτριο 0,9% 2002
Σύμφωνος
Ενέσιμο Ampicillin sodium - sulbactam sodium 1/0.5 >> 250/125 mg/ml
Ενέσιμο Vancomycin hydrochloride 2 mg/ml
Γλυκόζη 5% 1674
Σύμφωνος
Ενέσιμο Ampicillin sodium - sulbactam sodium 1/0.5 >> 50/25 mg/ml
Ενέσιμο Vancomycin hydrochloride 20 mg/ml
Γλυκόζη 5% 1674
Άμεση βροχόπτωση Ασύμβατες
Ενέσιμο Ampicillin sodium - sulbactam sodium 250-125 mg/ml
Ενέσιμο Vancomycin hydrochloride 20 mg/ml
Γλυκόζη 5% 1674

  Mentions Légales