Senaste uppdateringen :
18/03/2026
Antibiotikum   Ampicillin sodium - sulbactam sodium  
injektion
Lösningars stabilitet Stabilitet i blandningar Faktorer som påverkar stabiliteten Kompatibilitet Administreringssätt Hänvisningar pdf
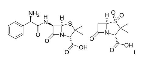
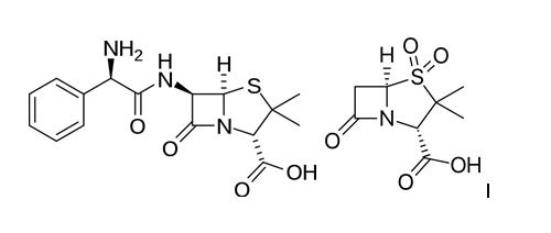
   Molekylstruktur  

Varunamn   Varunamn     

Angivna handelsnamn på läkemedel är enbart vägledande då formulering inklusive hjälpämnen kan variera mellan länder och tillverkare

Alfasid Turkiet
Ampibac Colombia
Ampibactam Venezuela
Ampicillin sulbactam Australien
Ampicillina sodica - sulbactam Brasilien, Ecuador
Ampictam Egypten
Ampiplus Rumänien, Saudi-Arabien
Ampisid Turkiet
Ampixim Venezuela
Bacimex Spanien
Begalin Grekland
Bethacil Italien
Cinclox Indien
Combicid Turkiet
Darzitil Argentina
Duobaktam Turkiet
Duocid Turkiet
Galotam Spanien
Libractam Chile
Loricin Italien
Prixin Argentina
Ranpisul Mexiko
Retarpen Spanien
Sabect Egypten
Sulamp Colombia
Sulbacter Venezuela
Sulbaksit Turkiet
Sulbin Egypten
Sulcid Turkiet
Sumitan Colombia, Venezuela
Synerpen Egypten
Ultracillin Egypten
Unacid Tyskland
Unacim Frankrike
Unasyn Brasilien, Chile, Colombia, Ecuador, Egypten, Förenta Staterna, Italien, Japan, Malaysia, Marocko, Mexiko, Österrike, Peru, Polen, Saudi-Arabien, Spanien, Tyskland, Ungern
Unictam Egypten
Xilbac Peru
Kompatibilitet   injektion   Kompatibilitet : Ampicillin sodium - sulbactam sodium              
Den här skärmen visar kompatibiliteten eller inkompatibiliteten med, i detta fall, typen av inkompatibilitet (utfällning, färgförändring, modifiering av en emulsion, etc.). De kompatibiliteter som visas här är oftast endast fysiska, varvid den kemiska stabiliteten för varje molekyl sällan utvärderas. Utvärderingen av dessa blandningar studerades för att överväga möjligheten för Y-platsadministrering till patienten. Dessa data kan inte användas för att göra blandningar i förväg i påsar eller sprutor. Denna typ av information finns på skärmen "Stabilitet i blandning".
Substans Lösningsmedel Hänvisningar
Kompatibel
injektion Ampicillin sodium - sulbactam sodium 20/10 mg/ml
injektion Amifostine 10 mg/ml
Glukos 5 % 3
Kemisk instabilitet Oförenlig
injektion Ampicillin sodium - sulbactam sodium
injektion Amikacin sulfate
3549
Omedelbar nederbörd Oförenlig
injektion Ampicillin sodium - sulbactam sodium 30 mg/ml
injektion Amiodarone hydrochloride 6 mg/ml
Natriumklorid 0,9 % 1611
Omedelbar nederbörd Oförenlig
injektion Ampicillin sodium - sulbactam sodium 30 mg/ml
injektion Amiodarone hydrochloride 6 mg/ml
Glukos 5 % 1611
Omedelbar nederbörd Oförenlig
injektion Ampicillin sodium - sulbactam sodium 20/10 mg/ml
injektion Amphotericin B cholesteryl sulfate complex 0.83 mg/ml
Glukos 5 % 921
Kompatibel
injektion Ampicillin sodium - sulbactam sodium 20/10 mg/ml
injektion Anidulafungin 0.5 mg/ml
Glukos 5 % 1982
Kompatibel
injektion Ampicillin sodium - sulbactam sodium 20/10 mg/ml
injektion Aztreonam 40 mg/ml
Glukos 5 % 99
Kompatibel
injektion Ampicillin sodium - sulbactam sodium 20/10 mg/ml
injektion Bivalirudin 5 mg/ml
Glukos 5 % 1713
Kompatibel
injektion Ampicillin sodium - sulbactam sodium 20/10 mg/ml
injektion Ceftolozane / tazobactam 10/5 mg/ml
Natriumklorid 0,9 % 3828
Kompatibel
injektion Ampicillin sodium - sulbactam sodium 20/10 mg/ml
injektion Ceftolozane / tazobactam 10/5 mg/ml
Glukos 5 % 3828
Omedelbar nederbörd Oförenlig
injektion Ampicillin sodium - sulbactam sodium
injektion Ciprofloxacin lactate
Glukos 5 % 1500
Omedelbar nederbörd Oförenlig
injektion Ampicillin sodium - sulbactam sodium 30 mg/ml
injektion Ciprofloxacin lactate 2 mg/ml
Glukos 5 % 285
Omedelbar nederbörd Oförenlig
injektion Ampicillin sodium - sulbactam sodium
injektion Ciprofloxacin lactate
Natriumklorid 0,9 % 1500
Ospecificerad inkompatibilitet Oförenlig
injektion Ampicillin sodium - sulbactam sodium
injektion Ciprofloxacin lactate
3529
Omedelbar grumlighet Oförenlig
injektion Ampicillin sodium - sulbactam sodium 20/10 mg/ml
injektion Cisatracurium besylate 5 mg/ml
Glukos 5 % 299
Kompatibel
injektion Ampicillin sodium - sulbactam sodium 20/10 mg/ml
injektion Dexmedetomidine 4 µg/ml
Natriumklorid 0,9 % 1712
Kompatibel
injektion Ampicillin sodium - sulbactam sodium 20/10 mg/ml
injektion Docetaxel 0.9 mg/ml
Glukos 5 % 1754
Ospecificerad inkompatibilitet Oförenlig
injektion Ampicillin sodium - sulbactam sodium
Parenteral nutrition (binär blandning) 5067
Kompatibel
injektion Ampicillin sodium - sulbactam sodium 20/10 mg/ml
Parenteral nutrition (binär blandning) 301
Ospecificerad inkompatibilitet Oförenlig
injektion Ampicillin sodium - sulbactam sodium
Parenteral nutrition (med lipider) 5067
Kompatibel
injektion Ampicillin sodium - sulbactam sodium 20/10 mg/ml
injektion Cisatracurium besylate 0.1 & 2 mg/ml
Glukos 5 % 299
Omedelbar grumlighet Oförenlig
injektion Ampicillin sodium - sulbactam sodium 20/10 mg/ml
injektion Cisatracurium besylate 5 mg/ml
Natriumklorid 0,9 % 299
Kompatibel
injektion Ampicillin sodium - sulbactam sodium 2 & 15 mg/ml
injektion Diltiazem hydrochloride 5 mg/ml
Natriumklorid 0,9 % 198
Kompatibel
injektion Ampicillin sodium - sulbactam sodium 45 mg/ml
injektion Diltiazem hydrochloride 1 mg/ml
Natriumklorid 0,9 % 198
Kompatibel
injektion Ampicillin sodium - sulbactam sodium 20 mg/ml
Parenteral nutrition (med lipider) 4507
Omedelbar grumlighet Oförenlig
injektion Ampicillin sodium - sulbactam sodium 45 mg/ml
injektion Diltiazem hydrochloride 5 mg/ml
Natriumklorid 0,9 % 198
Kompatibel
injektion Ampicillin sodium - sulbactam sodium 15 mg/ml
injektion Enalaprilate 0.05 mg/ml
Natriumklorid 0,9 % 1315
Kompatibel
injektion Ampicillin sodium - sulbactam sodium 20/10 mg/ml
Parenteral nutrition (med lipider) 1415
Ospecificerad inkompatibilitet Oförenlig
injektion Ampicillin sodium - sulbactam sodium
injektion Erythromycin lactobionate
3674
Kompatibel
injektion Ampicillin sodium - sulbactam sodium 30 mg/ml
injektion Famotidine
Glukos 5 % 397
Kompatibel
injektion Ampicillin sodium - sulbactam sodium 60 mg/ml
injektion Fluconazole 2 mg/ml
Natriumklorid 0,9 % 496
Kompatibel
injektion Ampicillin sodium - sulbactam sodium 15 mg/ml
Parenteral nutrition (med lipider) 4440
Kompatibel
injektion Ampicillin sodium - sulbactam sodium 20/10 mg/ml
injektion Etoposide phosphate 5 mg/ml
Glukos 5 % 1410
Kompatibel
injektion Ampicillin sodium - sulbactam sodium 20/10 mg/ml
injektion Fenoldopam mesylate 80 µg/ml
Natriumklorid 0,9 % 1803
Kompatibel
injektion Ampicillin sodium - sulbactam sodium 20/10 mg/ml
injektion Filgrastim 30 µg/ml
Glukos 5 % 244
Kompatibel
injektion Ampicillin sodium - sulbactam sodium 20/10 mg/ml
injektion Fludarabine phosphate 1 mg/ml
Glukos 5 % 492
Kompatibel
injektion Ampicillin sodium - sulbactam sodium 20/10 mg/ml
injektion Fosfomycin 30 mg/ml
Glukos 5 % 4055
Kompatibel
injektion Ampicillin sodium - sulbactam sodium 20/10 mg/ml
injektion Fosfomycin 30 mg/ml
Natriumklorid 0,9 % 4055
Kompatibel
injektion Ampicillin sodium - sulbactam sodium 45/22.4 mg/ml
injektion Gallium nitrate 1 mg/ml
Natriumklorid 0,9 % 91
Kompatibel
injektion Ampicillin sodium - sulbactam sodium 20/10 mg/ml
injektion Gemcitabine hydrochloride 10 mg/ml
Natriumklorid 0,9 % 1423
Ospecificerad inkompatibilitet Oförenlig
injektion Ampicillin sodium - sulbactam sodium
injektion Gentamicin sulfate
3520
Ospecificerad inkompatibilitet Oförenlig
injektion Ampicillin sodium - sulbactam sodium
injektion Gentamicin sulfate
3643
Kompatibel
injektion Ampicillin sodium - sulbactam sodium 20/10 mg/ml
injektion Granisetron hydrochloride 0.05 mg/ml
Natriumklorid 0,9 % 182
Kompatibel
injektion Ampicillin sodium - sulbactam sodium 30 mg/ml
injektion Heparin sodium 50 UI/ml
Ingen 317
Kompatibel
injektion Ampicillin sodium - sulbactam sodium 20/10 mg/ml
injektion Hetastarch 60 mg/ml
specifikt lösningsmedel 1721
Omedelbar grumlighet Oförenlig
injektion Ampicillin sodium - sulbactam sodium 30 mg/ml
injektion Idarubicin hydrochloride 1 mg/ml
Natriumklorid 0,9 % 491
Kompatibel
injektion Ampicillin sodium - sulbactam sodium 30 mg/ml
injektion Insulin 0.2 UI/ml
Natriumklorid 0,9 % 129
Omedelbar grumlighet Oförenlig
injektion Ampicillin sodium - sulbactam sodium 20/10 mg/ml
injektion Isavuconazonium sulfate 1.5 mg/ml
Natriumklorid 0,9 % 3829
Kompatibel
injektion Ampicillin sodium - sulbactam sodium
Natriumklorid 0,9 % 5067
Omedelbar grumlighet Oförenlig
injektion Ampicillin sodium - sulbactam sodium 20/10 mg/ml
injektion Isavuconazonium sulfate 1.5 mg/ml
Glukos 5 % 3829
Kompatibel
injektion Ampicillin sodium - sulbactam sodium 20/10 mg/ml
injektion Ketoprofene 3.2 mg/ml
Natriumklorid 0,9 % 1847
Omedelbar nederbörd Oförenlig
injektion Ampicillin sodium - sulbactam sodium 20/10 mg/ml
injektion Lansoprazole 0.55 mg/ml
Natriumklorid 0,9 % 1625
Kompatibel
injektion Ampicillin sodium - sulbactam sodium 20/10 mg/ml
injektion Linezolid 2 mg/ml
Ingen 1925
Kompatibel
injektion Ampicillin sodium - sulbactam sodium 30 mg/ml
injektion Morphine sulfate 1 mg/ml
Natriumklorid 0,9 % 406
Omedelbar grumlighet Oförenlig
injektion Ampicillin sodium - sulbactam sodium 15 mg/ml
injektion Nicardipine hydrochloride 0.1 mg/ml
Natriumklorid 0,9 % 1490
Omedelbar grumlighet Oförenlig
injektion Ampicillin sodium - sulbactam sodium 15 mg/ml
injektion Nicardipine hydrochloride 0.1 mg/ml
Glukos 5 % 1490
Omedelbar nederbörd Oförenlig
injektion Ampicillin sodium - sulbactam sodium 20/10 mg/ml
injektion Ondansetron hydrochloride 1 mg/ml
Natriumklorid 0,9 % 334
Kompatibel
injektion Ampicillin sodium - sulbactam sodium 20/10 mg/ml
injektion Paclitaxel 1.2 mg/ml
Glukos 5 % 248
Kompatibel
injektion Ampicillin sodium - sulbactam sodium 20/10 mg/ml
injektion Palonosetron hydrochloride 50 µg/ml
Natriumklorid 0,9 % 2214
Kompatibel
injektion Ampicillin sodium - sulbactam sodium 20/10 mg/ml
injektion Pemetrexed disodium 20 mg/ml
Natriumklorid 0,9 % 1953
Kompatibel
injektion Ampicillin sodium - sulbactam sodium 30 mg/ml
injektion Pethidine hydrochloride 10 mg/ml
Natriumklorid 0,9 % 406
Kompatibel
injektion Ampicillin sodium - sulbactam sodium 20/10 mg/ml
injektion Plazomicin sulfate 24 mg/ml
Natriumklorid 0,9 % 4145
Kompatibel
injektion Ampicillin sodium - sulbactam sodium 20/10 mg/ml
injektion Remifentanil hydrochloride 25 & 250 µg/ml
Natriumklorid 0,9 % 59
Utfällning efter 4 timmar Oförenlig
injektion Ampicillin sodium - sulbactam sodium 20/10 mg/ml
injektion Sargramostim 10 µg/ml
Natriumklorid 0,9 % 335
Kompatibel
injektion Ampicillin sodium - sulbactam sodium 200 mg/ml
injektion Sugammadex 100 mg/ml
Ingen 3372
Kompatibel
injektion Ampicillin sodium - sulbactam sodium 50 mg/ml
injektion Tacrolimus 1000 µg/ml
Natriumklorid 0,9 % 479
Kompatibel
injektion Ampicillin sodium - sulbactam sodium 20/10 mg/ml
injektion Tedizolid phosphate 0.8 mg/ml
Natriumklorid 0,9 % 3827
Kompatibel
injektion Ampicillin sodium - sulbactam sodium 20/10 mg/ml
injektion Telavancin hydrochloride 7.5 mg/ml
Glukos 5 % 3254
Kompatibel
injektion Ampicillin sodium - sulbactam sodium 20/10 mg/ml
injektion Telavancin hydrochloride 7.5 mg/ml
Natriumklorid 0,9 % 3254
Kompatibel
injektion Ampicillin sodium - sulbactam sodium 20/10 mg/ml
injektion Telavancin hydrochloride 7.5 mg/ml
Ringer-laktatlösning 3254
Kompatibel
injektion Ampicillin sodium - sulbactam sodium 20/10 mg/ml
injektion Teniposide 0.1 mg/ml
Glukos 5 % 905
Kompatibel
injektion Ampicillin sodium - sulbactam sodium 30 mg/ml
injektion Theophylline 4 mg/ml
Ingen 317
Kompatibel
injektion Ampicillin sodium - sulbactam sodium 20/10 mg/ml
injektion Thiotepa 1 mg/ml
Glukos 5 % 249
Kompatibel
injektion Ampicillin sodium - sulbactam sodium 10/20 mg/ml
injektion Tramadol hydrochloride 0,4 mg/ml
Natriumklorid 0,9 % 2002
Kompatibel
injektion Ampicillin sodium - sulbactam sodium 1/0.5 >> 250/125 mg/ml
injektion Vancomycin hydrochloride 2 mg/ml
Glukos 5 % 1674
Kompatibel
injektion Ampicillin sodium - sulbactam sodium 1/0.5 >> 50/25 mg/ml
injektion Vancomycin hydrochloride 20 mg/ml
Glukos 5 % 1674
Omedelbar nederbörd Oförenlig
injektion Ampicillin sodium - sulbactam sodium 250-125 mg/ml
injektion Vancomycin hydrochloride 20 mg/ml
Glukos 5 % 1674

  Mentions Légales