Última actualización :
18/03/2026
Antibiótico   Ampicillin sodium - sulbactam sodium  
Inyectables
Estabilidad en solucion Estabilidad en mezcla Factores que influyen sobre la estabilidad Compatibilidades método de inyección Bibliografía pdf
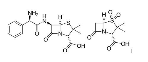
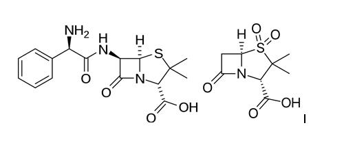
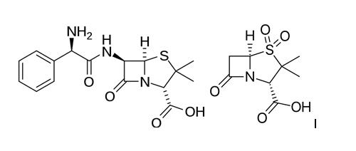
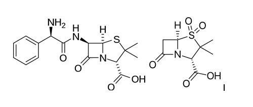
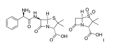
   Estructura química  

Nombre comercial   Nombre comercial     

Los nombres comerciales son orientativos y los excipientes de la formulación pueden ser distintos dependiendo del país y del laboratorio fabricante.

Alfasid Turquía
Ampibac Colombia
Ampibactam Venezuela
Ampicillin sulbactam Australia
Ampicillina sodica - sulbactam Brasil, Ecuador
Ampictam Egipto
Ampiplus Arabia Saudita, Rumania
Ampisid Turquía
Ampixim Venezuela
Bacimex España
Begalin Grecia
Bethacil Italia
Cinclox India
Combicid Turquía
Darzitil Argentina
Duobaktam Turquía
Duocid Turquía
Galotam España
Libractam Chile
Loricin Italia
Prixin Argentina
Ranpisul México
Retarpen España
Sabect Egipto
Sulamp Colombia
Sulbacter Venezuela
Sulbaksit Turquía
Sulbin Egipto
Sulcid Turquía
Sumitan Colombia, Venezuela
Synerpen Egipto
Ultracillin Egipto
Unacid Alemania
Unacim Francia
Unasyn Alemania, Arabia Saudita, Austria, Brasil, Chile, Colombia, Ecuador, Egipto, España, Estados Unidos de América, Hungría, Italia, Japón, Malasia, Marruecos, Marruecos, México, Polonia
Unictam Egipto
Xilbac Marruecos
Compatibilidades   Inyectables   Compatibilidades : Ampicillin sodium - sulbactam sodium              
Esta pantalla muestra las compatibilidades o incompatibilidades, así como el tipo de incompatibilidad (precipitación, cambio de color, modificación de una emulsión, etc). Las compatibilidades que se recogen aquí son fundamentalmente físicas, mostrando raramente la estabilidad química de la molécula. La evaluación de estas mezclas se estudió con el fin de de comprobar la posibilidad de administración en Y al paciente. Estos datos no pueden utilizarse en el caso de la preparación de mezclas dentro de bolsas o jeringas. Este tipo de información está disponible en la pantalla “Estabilidad en mezcla”.
Molécula Solvente Bibliografía
Compatible
Inyectables Ampicillin sodium - sulbactam sodium 20/10 mg/ml
Inyectables Amifostine 10 mg/ml
Glucosa 5% 3
Inestabilidad química Incompatible
Inyectables Ampicillin sodium - sulbactam sodium
Inyectables Amikacin sulfate
3549
Precipitación inmediata Incompatible
Inyectables Ampicillin sodium - sulbactam sodium 30 mg/ml
Inyectables Amiodarone hydrochloride 6 mg/ml
Cloruro de sodio 0,9% 1611
Precipitación inmediata Incompatible
Inyectables Ampicillin sodium - sulbactam sodium 30 mg/ml
Inyectables Amiodarone hydrochloride 6 mg/ml
Glucosa 5% 1611
Precipitación inmediata Incompatible
Inyectables Ampicillin sodium - sulbactam sodium 20/10 mg/ml
Inyectables Amphotericin B cholesteryl sulfate complex 0.83 mg/ml
Glucosa 5% 921
Compatible
Inyectables Ampicillin sodium - sulbactam sodium 20/10 mg/ml
Inyectables Anidulafungin 0.5 mg/ml
Glucosa 5% 1982
Compatible
Inyectables Ampicillin sodium - sulbactam sodium 20/10 mg/ml
Inyectables Aztreonam 40 mg/ml
Glucosa 5% 99
Compatible
Inyectables Ampicillin sodium - sulbactam sodium 20/10 mg/ml
Inyectables Bivalirudin 5 mg/ml
Glucosa 5% 1713
Compatible
Inyectables Ampicillin sodium - sulbactam sodium 20/10 mg/ml
Inyectables Ceftolozane / tazobactam 10/5 mg/ml
Cloruro de sodio 0,9% 3828
Compatible
Inyectables Ampicillin sodium - sulbactam sodium 20/10 mg/ml
Inyectables Ceftolozane / tazobactam 10/5 mg/ml
Glucosa 5% 3828
Precipitación inmediata Incompatible
Inyectables Ampicillin sodium - sulbactam sodium
Inyectables Ciprofloxacin lactate
Glucosa 5% 1500
Precipitación inmediata Incompatible
Inyectables Ampicillin sodium - sulbactam sodium 30 mg/ml
Inyectables Ciprofloxacin lactate 2 mg/ml
Glucosa 5% 285
Precipitación inmediata Incompatible
Inyectables Ampicillin sodium - sulbactam sodium
Inyectables Ciprofloxacin lactate
Cloruro de sodio 0,9% 1500
Incompatibilidad no especificada Incompatible
Inyectables Ampicillin sodium - sulbactam sodium
Inyectables Ciprofloxacin lactate
3529
Turbidez inmediata Incompatible
Inyectables Ampicillin sodium - sulbactam sodium 20/10 mg/ml
Inyectables Cisatracurium besylate 5 mg/ml
Glucosa 5% 299
Compatible
Inyectables Ampicillin sodium - sulbactam sodium 20/10 mg/ml
Inyectables Dexmedetomidine 4 µg/ml
Cloruro de sodio 0,9% 1712
Compatible
Inyectables Ampicillin sodium - sulbactam sodium 20/10 mg/ml
Inyectables Docetaxel 0.9 mg/ml
Glucosa 5% 1754
Incompatibilidad no especificada Incompatible
Inyectables Ampicillin sodium - sulbactam sodium
Nutrición parenteral (libre de lípidos) 5067
Compatible
Inyectables Ampicillin sodium - sulbactam sodium 20/10 mg/ml
Nutrición parenteral (libre de lípidos) 301
Incompatibilidad no especificada Incompatible
Inyectables Ampicillin sodium - sulbactam sodium
Nutrición parenteral (con lípidos) 5067
Compatible
Inyectables Ampicillin sodium - sulbactam sodium 20/10 mg/ml
Inyectables Cisatracurium besylate 0.1 & 2 mg/ml
Glucosa 5% 299
Turbidez inmediata Incompatible
Inyectables Ampicillin sodium - sulbactam sodium 20/10 mg/ml
Inyectables Cisatracurium besylate 5 mg/ml
Cloruro de sodio 0,9% 299
Compatible
Inyectables Ampicillin sodium - sulbactam sodium 2 & 15 mg/ml
Inyectables Diltiazem hydrochloride 5 mg/ml
Cloruro de sodio 0,9% 198
Compatible
Inyectables Ampicillin sodium - sulbactam sodium 45 mg/ml
Inyectables Diltiazem hydrochloride 1 mg/ml
Cloruro de sodio 0,9% 198
Compatible
Inyectables Ampicillin sodium - sulbactam sodium 20 mg/ml
Nutrición parenteral (con lípidos) 4507
Turbidez inmediata Incompatible
Inyectables Ampicillin sodium - sulbactam sodium 45 mg/ml
Inyectables Diltiazem hydrochloride 5 mg/ml
Cloruro de sodio 0,9% 198
Compatible
Inyectables Ampicillin sodium - sulbactam sodium 15 mg/ml
Inyectables Enalaprilate 0.05 mg/ml
Cloruro de sodio 0,9% 1315
Compatible
Inyectables Ampicillin sodium - sulbactam sodium 20/10 mg/ml
Nutrición parenteral (con lípidos) 1415
Incompatibilidad no especificada Incompatible
Inyectables Ampicillin sodium - sulbactam sodium
Inyectables Erythromycin lactobionate
3674
Compatible
Inyectables Ampicillin sodium - sulbactam sodium 30 mg/ml
Inyectables Famotidine
Glucosa 5% 397
Compatible
Inyectables Ampicillin sodium - sulbactam sodium 60 mg/ml
Inyectables Fluconazole 2 mg/ml
Cloruro de sodio 0,9% 496
Compatible
Inyectables Ampicillin sodium - sulbactam sodium 15 mg/ml
Nutrición parenteral (con lípidos) 4440
Compatible
Inyectables Ampicillin sodium - sulbactam sodium 20/10 mg/ml
Inyectables Etoposide phosphate 5 mg/ml
Glucosa 5% 1410
Compatible
Inyectables Ampicillin sodium - sulbactam sodium 20/10 mg/ml
Inyectables Fenoldopam mesylate 80 µg/ml
Cloruro de sodio 0,9% 1803
Compatible
Inyectables Ampicillin sodium - sulbactam sodium 20/10 mg/ml
Inyectables Filgrastim 30 µg/ml
Glucosa 5% 244
Compatible
Inyectables Ampicillin sodium - sulbactam sodium 20/10 mg/ml
Inyectables Fludarabine phosphate 1 mg/ml
Glucosa 5% 492
Compatible
Inyectables Ampicillin sodium - sulbactam sodium 20/10 mg/ml
Inyectables Fosfomycin 30 mg/ml
Glucosa 5% 4055
Compatible
Inyectables Ampicillin sodium - sulbactam sodium 20/10 mg/ml
Inyectables Fosfomycin 30 mg/ml
Cloruro de sodio 0,9% 4055
Compatible
Inyectables Ampicillin sodium - sulbactam sodium 45/22.4 mg/ml
Inyectables Gallium nitrate 1 mg/ml
Cloruro de sodio 0,9% 91
Compatible
Inyectables Ampicillin sodium - sulbactam sodium 20/10 mg/ml
Inyectables Gemcitabine hydrochloride 10 mg/ml
Cloruro de sodio 0,9% 1423
Incompatibilidad no especificada Incompatible
Inyectables Ampicillin sodium - sulbactam sodium
Inyectables Gentamicin sulfate
3520
Incompatibilidad no especificada Incompatible
Inyectables Ampicillin sodium - sulbactam sodium
Inyectables Gentamicin sulfate
3643
Compatible
Inyectables Ampicillin sodium - sulbactam sodium 20/10 mg/ml
Inyectables Granisetron hydrochloride 0.05 mg/ml
Cloruro de sodio 0,9% 182
Compatible
Inyectables Ampicillin sodium - sulbactam sodium 30 mg/ml
Inyectables Heparin sodium 50 UI/ml
Ninguno 317
Compatible
Inyectables Ampicillin sodium - sulbactam sodium 20/10 mg/ml
Inyectables Hetastarch 60 mg/ml
específico disolvente 1721
Turbidez inmediata Incompatible
Inyectables Ampicillin sodium - sulbactam sodium 30 mg/ml
Inyectables Idarubicin hydrochloride 1 mg/ml
Cloruro de sodio 0,9% 491
Compatible
Inyectables Ampicillin sodium - sulbactam sodium 30 mg/ml
Inyectables Insulin 0.2 UI/ml
Cloruro de sodio 0,9% 129
Turbidez inmediata Incompatible
Inyectables Ampicillin sodium - sulbactam sodium 20/10 mg/ml
Inyectables Isavuconazonium sulfate 1.5 mg/ml
Cloruro de sodio 0,9% 3829
Compatible
Inyectables Ampicillin sodium - sulbactam sodium
Cloruro de sodio 0,9% 5067
Turbidez inmediata Incompatible
Inyectables Ampicillin sodium - sulbactam sodium 20/10 mg/ml
Inyectables Isavuconazonium sulfate 1.5 mg/ml
Glucosa 5% 3829
Compatible
Inyectables Ampicillin sodium - sulbactam sodium 20/10 mg/ml
Inyectables Ketoprofene 3.2 mg/ml
Cloruro de sodio 0,9% 1847
Precipitación inmediata Incompatible
Inyectables Ampicillin sodium - sulbactam sodium 20/10 mg/ml
Inyectables Lansoprazole 0.55 mg/ml
Cloruro de sodio 0,9% 1625
Compatible
Inyectables Ampicillin sodium - sulbactam sodium 20/10 mg/ml
Inyectables Linezolid 2 mg/ml
Ninguno 1925
Compatible
Inyectables Ampicillin sodium - sulbactam sodium 30 mg/ml
Inyectables Morphine sulfate 1 mg/ml
Cloruro de sodio 0,9% 406
Turbidez inmediata Incompatible
Inyectables Ampicillin sodium - sulbactam sodium 15 mg/ml
Inyectables Nicardipine hydrochloride 0.1 mg/ml
Cloruro de sodio 0,9% 1490
Turbidez inmediata Incompatible
Inyectables Ampicillin sodium - sulbactam sodium 15 mg/ml
Inyectables Nicardipine hydrochloride 0.1 mg/ml
Glucosa 5% 1490
Precipitación inmediata Incompatible
Inyectables Ampicillin sodium - sulbactam sodium 20/10 mg/ml
Inyectables Ondansetron hydrochloride 1 mg/ml
Cloruro de sodio 0,9% 334
Compatible
Inyectables Ampicillin sodium - sulbactam sodium 20/10 mg/ml
Inyectables Paclitaxel 1.2 mg/ml
Glucosa 5% 248
Compatible
Inyectables Ampicillin sodium - sulbactam sodium 20/10 mg/ml
Inyectables Palonosetron hydrochloride 50 µg/ml
Cloruro de sodio 0,9% 2214
Compatible
Inyectables Ampicillin sodium - sulbactam sodium 20/10 mg/ml
Inyectables Pemetrexed disodium 20 mg/ml
Cloruro de sodio 0,9% 1953
Compatible
Inyectables Ampicillin sodium - sulbactam sodium 30 mg/ml
Inyectables Pethidine hydrochloride 10 mg/ml
Cloruro de sodio 0,9% 406
Compatible
Inyectables Ampicillin sodium - sulbactam sodium 20/10 mg/ml
Inyectables Plazomicin sulfate 24 mg/ml
Cloruro de sodio 0,9% 4145
Compatible
Inyectables Ampicillin sodium - sulbactam sodium 20/10 mg/ml
Inyectables Remifentanil hydrochloride 25 & 250 µg/ml
Cloruro de sodio 0,9% 59
Precipitación después de 4 horas. Incompatible
Inyectables Ampicillin sodium - sulbactam sodium 20/10 mg/ml
Inyectables Sargramostim 10 µg/ml
Cloruro de sodio 0,9% 335
Compatible
Inyectables Ampicillin sodium - sulbactam sodium 200 mg/ml
Inyectables Sugammadex 100 mg/ml
Ninguno 3372
Compatible
Inyectables Ampicillin sodium - sulbactam sodium 50 mg/ml
Inyectables Tacrolimus 1000 µg/ml
Cloruro de sodio 0,9% 479
Compatible
Inyectables Ampicillin sodium - sulbactam sodium 20/10 mg/ml
Inyectables Tedizolid phosphate 0.8 mg/ml
Cloruro de sodio 0,9% 3827
Compatible
Inyectables Ampicillin sodium - sulbactam sodium 20/10 mg/ml
Inyectables Telavancin hydrochloride 7.5 mg/ml
Glucosa 5% 3254
Compatible
Inyectables Ampicillin sodium - sulbactam sodium 20/10 mg/ml
Inyectables Telavancin hydrochloride 7.5 mg/ml
Cloruro de sodio 0,9% 3254
Compatible
Inyectables Ampicillin sodium - sulbactam sodium 20/10 mg/ml
Inyectables Telavancin hydrochloride 7.5 mg/ml
Ringer lactato 3254
Compatible
Inyectables Ampicillin sodium - sulbactam sodium 20/10 mg/ml
Inyectables Teniposide 0.1 mg/ml
Glucosa 5% 905
Compatible
Inyectables Ampicillin sodium - sulbactam sodium 30 mg/ml
Inyectables Theophylline 4 mg/ml
Ninguno 317
Compatible
Inyectables Ampicillin sodium - sulbactam sodium 20/10 mg/ml
Inyectables Thiotepa 1 mg/ml
Glucosa 5% 249
Compatible
Inyectables Ampicillin sodium - sulbactam sodium 10/20 mg/ml
Inyectables Tramadol hydrochloride 0,4 mg/ml
Cloruro de sodio 0,9% 2002
Compatible
Inyectables Ampicillin sodium - sulbactam sodium 1/0.5 >> 250/125 mg/ml
Inyectables Vancomycin hydrochloride 2 mg/ml
Glucosa 5% 1674
Compatible
Inyectables Ampicillin sodium - sulbactam sodium 1/0.5 >> 50/25 mg/ml
Inyectables Vancomycin hydrochloride 20 mg/ml
Glucosa 5% 1674
Precipitación inmediata Incompatible
Inyectables Ampicillin sodium - sulbactam sodium 250-125 mg/ml
Inyectables Vancomycin hydrochloride 20 mg/ml
Glucosa 5% 1674

  Mentions Légales