zadnja posodobitev :
18/03/2026
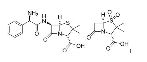
Antibiotik   Ampicillin sodium - sulbactam sodium  
Brizgalka
Stabilnost raztopine Stabilnost mešanice Faktorji, ki vplivajo na stabilnost Kompatibilnost način aplikacije Viri pdf
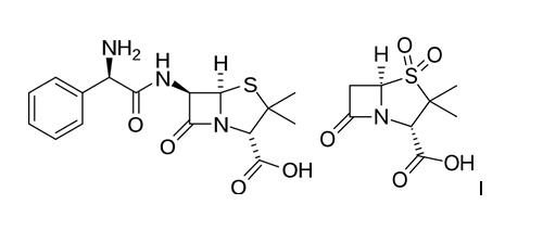
   Kemična formula  

Lastniško ime   Lastniško ime     

Sestava pomožnih snovi je med paralelami lahko različna

Alfasid Turčija
Ampibac Kolumbija
Ampibactam Venezuela
Ampicillin sulbactam Avstralija
Ampicillina sodica - sulbactam Brazilija, Ekvador
Ampictam Egipt
Ampiplus Romunija, Savdska Arabija
Ampisid Turčija
Ampixim Venezuela
Bacimex Španija
Begalin Grčija
Bethacil Italija
Cinclox Indija
Combicid Turčija
Darzitil Argentina
Duobaktam Turčija
Duocid Turčija
Galotam Španija
Libractam Čile
Loricin Italija
Prixin Argentina
Ranpisul Mehika
Retarpen Španija
Sabect Egipt
Sulamp Kolumbija
Sulbacter Venezuela
Sulbaksit Turčija
Sulbin Egipt
Sulcid Turčija
Sumitan Kolumbija, Venezuela
Synerpen Egipt
Ultracillin Egipt
Unacid Nemčija
Unacim Francija
Unasyn Avstrija, Brazilija, Čile, Egipt, Ekvador, Italija, Japonska, Kolumbija, Madžarska, Malezija, Maroko, Mehika, Nemčija, Peru, Poljska, Savdska Arabija, Španija, Združene države Amerike
Unictam Egipt
Xilbac Peru
Kompatibilnost   Brizgalka   Kompatibilnost : Ampicillin sodium - sulbactam sodium              
Ta zaslon prikazuje združljivost ali nezdružljivost s, v tem primeru, vrsto nezdružljivosti (padavine, sprememba barve, sprememba emulzije itd.). Tu prikazane združljivosti so večinoma samo fizične, pri čemer se kemijska stabilnost vsake molekule redko ocenjuje. Vrednotenje teh zmesi so preučevali, da bi preučili možnost pacientovega dajanja na mestu Y. Teh podatkov ni mogoče uporabiti za pripravo mešanic v vrečkah ali brizgah. Ta vrsta informacij je na voljo na zaslonu "Obstojnost v mešanici".
Sestava Topilo Viri
Združljivo
Brizgalka Ampicillin sodium - sulbactam sodium 20/10 mg/ml
Brizgalka Amifostine 10 mg/ml
Glukoza 5% 3
Kemijska nestabilnost Nezdružljivo
Brizgalka Ampicillin sodium - sulbactam sodium
Brizgalka Amikacin sulfate
3549
Takoj padavine Nezdružljivo
Brizgalka Ampicillin sodium - sulbactam sodium 30 mg/ml
Brizgalka Amiodarone hydrochloride 6 mg/ml
Natrijev klorid 0,9% 1611
Takoj padavine Nezdružljivo
Brizgalka Ampicillin sodium - sulbactam sodium 30 mg/ml
Brizgalka Amiodarone hydrochloride 6 mg/ml
Glukoza 5% 1611
Takoj padavine Nezdružljivo
Brizgalka Ampicillin sodium - sulbactam sodium 20/10 mg/ml
Brizgalka Amphotericin B cholesteryl sulfate complex 0.83 mg/ml
Glukoza 5% 921
Združljivo
Brizgalka Ampicillin sodium - sulbactam sodium 20/10 mg/ml
Brizgalka Anidulafungin 0.5 mg/ml
Glukoza 5% 1982
Združljivo
Brizgalka Ampicillin sodium - sulbactam sodium 20/10 mg/ml
Brizgalka Aztreonam 40 mg/ml
Glukoza 5% 99
Združljivo
Brizgalka Ampicillin sodium - sulbactam sodium 20/10 mg/ml
Brizgalka Bivalirudin 5 mg/ml
Glukoza 5% 1713
Združljivo
Brizgalka Ampicillin sodium - sulbactam sodium 20/10 mg/ml
Brizgalka Ceftolozane / tazobactam 10/5 mg/ml
Natrijev klorid 0,9% 3828
Združljivo
Brizgalka Ampicillin sodium - sulbactam sodium 20/10 mg/ml
Brizgalka Ceftolozane / tazobactam 10/5 mg/ml
Glukoza 5% 3828
Takoj padavine Nezdružljivo
Brizgalka Ampicillin sodium - sulbactam sodium
Brizgalka Ciprofloxacin lactate
Glukoza 5% 1500
Takoj padavine Nezdružljivo
Brizgalka Ampicillin sodium - sulbactam sodium 30 mg/ml
Brizgalka Ciprofloxacin lactate 2 mg/ml
Glukoza 5% 285
Takoj padavine Nezdružljivo
Brizgalka Ampicillin sodium - sulbactam sodium
Brizgalka Ciprofloxacin lactate
Natrijev klorid 0,9% 1500
Nedoločena nezdružljivost Nezdružljivo
Brizgalka Ampicillin sodium - sulbactam sodium
Brizgalka Ciprofloxacin lactate
3529
Takojšnja motnost Nezdružljivo
Brizgalka Ampicillin sodium - sulbactam sodium 20/10 mg/ml
Brizgalka Cisatracurium besylate 5 mg/ml
Glukoza 5% 299
Združljivo
Brizgalka Ampicillin sodium - sulbactam sodium 20/10 mg/ml
Brizgalka Dexmedetomidine 4 µg/ml
Natrijev klorid 0,9% 1712
Združljivo
Brizgalka Ampicillin sodium - sulbactam sodium 20/10 mg/ml
Brizgalka Docetaxel 0.9 mg/ml
Glukoza 5% 1754
Nedoločena nezdružljivost Nezdružljivo
Brizgalka Ampicillin sodium - sulbactam sodium
Parenteralna prehrana (binarno zmes) 5067
Združljivo
Brizgalka Ampicillin sodium - sulbactam sodium 20/10 mg/ml
Parenteralna prehrana (binarno zmes) 301
Nedoločena nezdružljivost Nezdružljivo
Brizgalka Ampicillin sodium - sulbactam sodium
Parenteralna prehrana (z lipidi) 5067
Združljivo
Brizgalka Ampicillin sodium - sulbactam sodium 20/10 mg/ml
Brizgalka Cisatracurium besylate 0.1 & 2 mg/ml
Glukoza 5% 299
Takojšnja motnost Nezdružljivo
Brizgalka Ampicillin sodium - sulbactam sodium 20/10 mg/ml
Brizgalka Cisatracurium besylate 5 mg/ml
Natrijev klorid 0,9% 299
Združljivo
Brizgalka Ampicillin sodium - sulbactam sodium 2 & 15 mg/ml
Brizgalka Diltiazem hydrochloride 5 mg/ml
Natrijev klorid 0,9% 198
Združljivo
Brizgalka Ampicillin sodium - sulbactam sodium 45 mg/ml
Brizgalka Diltiazem hydrochloride 1 mg/ml
Natrijev klorid 0,9% 198
Združljivo
Brizgalka Ampicillin sodium - sulbactam sodium 20 mg/ml
Parenteralna prehrana (z lipidi) 4507
Takojšnja motnost Nezdružljivo
Brizgalka Ampicillin sodium - sulbactam sodium 45 mg/ml
Brizgalka Diltiazem hydrochloride 5 mg/ml
Natrijev klorid 0,9% 198
Združljivo
Brizgalka Ampicillin sodium - sulbactam sodium 15 mg/ml
Brizgalka Enalaprilate 0.05 mg/ml
Natrijev klorid 0,9% 1315
Združljivo
Brizgalka Ampicillin sodium - sulbactam sodium 20/10 mg/ml
Parenteralna prehrana (z lipidi) 1415
Nedoločena nezdružljivost Nezdružljivo
Brizgalka Ampicillin sodium - sulbactam sodium
Brizgalka Erythromycin lactobionate
3674
Združljivo
Brizgalka Ampicillin sodium - sulbactam sodium 30 mg/ml
Brizgalka Famotidine
Glukoza 5% 397
Združljivo
Brizgalka Ampicillin sodium - sulbactam sodium 60 mg/ml
Brizgalka Fluconazole 2 mg/ml
Natrijev klorid 0,9% 496
Združljivo
Brizgalka Ampicillin sodium - sulbactam sodium 15 mg/ml
Parenteralna prehrana (z lipidi) 4440
Združljivo
Brizgalka Ampicillin sodium - sulbactam sodium 20/10 mg/ml
Brizgalka Etoposide phosphate 5 mg/ml
Glukoza 5% 1410
Združljivo
Brizgalka Ampicillin sodium - sulbactam sodium 20/10 mg/ml
Brizgalka Fenoldopam mesylate 80 µg/ml
Natrijev klorid 0,9% 1803
Združljivo
Brizgalka Ampicillin sodium - sulbactam sodium 20/10 mg/ml
Brizgalka Filgrastim 30 µg/ml
Glukoza 5% 244
Združljivo
Brizgalka Ampicillin sodium - sulbactam sodium 20/10 mg/ml
Brizgalka Fludarabine phosphate 1 mg/ml
Glukoza 5% 492
Združljivo
Brizgalka Ampicillin sodium - sulbactam sodium 20/10 mg/ml
Brizgalka Fosfomycin 30 mg/ml
Glukoza 5% 4055
Združljivo
Brizgalka Ampicillin sodium - sulbactam sodium 20/10 mg/ml
Brizgalka Fosfomycin 30 mg/ml
Natrijev klorid 0,9% 4055
Združljivo
Brizgalka Ampicillin sodium - sulbactam sodium 45/22.4 mg/ml
Brizgalka Gallium nitrate 1 mg/ml
Natrijev klorid 0,9% 91
Združljivo
Brizgalka Ampicillin sodium - sulbactam sodium 20/10 mg/ml
Brizgalka Gemcitabine hydrochloride 10 mg/ml
Natrijev klorid 0,9% 1423
Nedoločena nezdružljivost Nezdružljivo
Brizgalka Ampicillin sodium - sulbactam sodium
Brizgalka Gentamicin sulfate
3520
Nedoločena nezdružljivost Nezdružljivo
Brizgalka Ampicillin sodium - sulbactam sodium
Brizgalka Gentamicin sulfate
3643
Združljivo
Brizgalka Ampicillin sodium - sulbactam sodium 20/10 mg/ml
Brizgalka Granisetron hydrochloride 0.05 mg/ml
Natrijev klorid 0,9% 182
Združljivo
Brizgalka Ampicillin sodium - sulbactam sodium 30 mg/ml
Brizgalka Heparin sodium 50 UI/ml
Nobeden 317
Združljivo
Brizgalka Ampicillin sodium - sulbactam sodium 20/10 mg/ml
Brizgalka Hetastarch 60 mg/ml
Posebni topila 1721
Takojšnja motnost Nezdružljivo
Brizgalka Ampicillin sodium - sulbactam sodium 30 mg/ml
Brizgalka Idarubicin hydrochloride 1 mg/ml
Natrijev klorid 0,9% 491
Združljivo
Brizgalka Ampicillin sodium - sulbactam sodium 30 mg/ml
Brizgalka Insulin 0.2 UI/ml
Natrijev klorid 0,9% 129
Takojšnja motnost Nezdružljivo
Brizgalka Ampicillin sodium - sulbactam sodium 20/10 mg/ml
Brizgalka Isavuconazonium sulfate 1.5 mg/ml
Natrijev klorid 0,9% 3829
Združljivo
Brizgalka Ampicillin sodium - sulbactam sodium
Natrijev klorid 0,9% 5067
Takojšnja motnost Nezdružljivo
Brizgalka Ampicillin sodium - sulbactam sodium 20/10 mg/ml
Brizgalka Isavuconazonium sulfate 1.5 mg/ml
Glukoza 5% 3829
Združljivo
Brizgalka Ampicillin sodium - sulbactam sodium 20/10 mg/ml
Brizgalka Ketoprofene 3.2 mg/ml
Natrijev klorid 0,9% 1847
Takoj padavine Nezdružljivo
Brizgalka Ampicillin sodium - sulbactam sodium 20/10 mg/ml
Brizgalka Lansoprazole 0.55 mg/ml
Natrijev klorid 0,9% 1625
Združljivo
Brizgalka Ampicillin sodium - sulbactam sodium 20/10 mg/ml
Brizgalka Linezolid 2 mg/ml
Nobeden 1925
Združljivo
Brizgalka Ampicillin sodium - sulbactam sodium 30 mg/ml
Brizgalka Morphine sulfate 1 mg/ml
Natrijev klorid 0,9% 406
Takojšnja motnost Nezdružljivo
Brizgalka Ampicillin sodium - sulbactam sodium 15 mg/ml
Brizgalka Nicardipine hydrochloride 0.1 mg/ml
Natrijev klorid 0,9% 1490
Takojšnja motnost Nezdružljivo
Brizgalka Ampicillin sodium - sulbactam sodium 15 mg/ml
Brizgalka Nicardipine hydrochloride 0.1 mg/ml
Glukoza 5% 1490
Takoj padavine Nezdružljivo
Brizgalka Ampicillin sodium - sulbactam sodium 20/10 mg/ml
Brizgalka Ondansetron hydrochloride 1 mg/ml
Natrijev klorid 0,9% 334
Združljivo
Brizgalka Ampicillin sodium - sulbactam sodium 20/10 mg/ml
Brizgalka Paclitaxel 1.2 mg/ml
Glukoza 5% 248
Združljivo
Brizgalka Ampicillin sodium - sulbactam sodium 20/10 mg/ml
Brizgalka Palonosetron hydrochloride 50 µg/ml
Natrijev klorid 0,9% 2214
Združljivo
Brizgalka Ampicillin sodium - sulbactam sodium 20/10 mg/ml
Brizgalka Pemetrexed disodium 20 mg/ml
Natrijev klorid 0,9% 1953
Združljivo
Brizgalka Ampicillin sodium - sulbactam sodium 30 mg/ml
Brizgalka Pethidine hydrochloride 10 mg/ml
Natrijev klorid 0,9% 406
Združljivo
Brizgalka Ampicillin sodium - sulbactam sodium 20/10 mg/ml
Brizgalka Plazomicin sulfate 24 mg/ml
Natrijev klorid 0,9% 4145
Združljivo
Brizgalka Ampicillin sodium - sulbactam sodium 20/10 mg/ml
Brizgalka Remifentanil hydrochloride 25 & 250 µg/ml
Natrijev klorid 0,9% 59
Padavine po 4 urah Nezdružljivo
Brizgalka Ampicillin sodium - sulbactam sodium 20/10 mg/ml
Brizgalka Sargramostim 10 µg/ml
Natrijev klorid 0,9% 335
Združljivo
Brizgalka Ampicillin sodium - sulbactam sodium 200 mg/ml
Brizgalka Sugammadex 100 mg/ml
Nobeden 3372
Združljivo
Brizgalka Ampicillin sodium - sulbactam sodium 50 mg/ml
Brizgalka Tacrolimus 1000 µg/ml
Natrijev klorid 0,9% 479
Združljivo
Brizgalka Ampicillin sodium - sulbactam sodium 20/10 mg/ml
Brizgalka Tedizolid phosphate 0.8 mg/ml
Natrijev klorid 0,9% 3827
Združljivo
Brizgalka Ampicillin sodium - sulbactam sodium 20/10 mg/ml
Brizgalka Telavancin hydrochloride 7.5 mg/ml
Glukoza 5% 3254
Združljivo
Brizgalka Ampicillin sodium - sulbactam sodium 20/10 mg/ml
Brizgalka Telavancin hydrochloride 7.5 mg/ml
Natrijev klorid 0,9% 3254
Združljivo
Brizgalka Ampicillin sodium - sulbactam sodium 20/10 mg/ml
Brizgalka Telavancin hydrochloride 7.5 mg/ml
Ringerjev laktat 3254
Združljivo
Brizgalka Ampicillin sodium - sulbactam sodium 20/10 mg/ml
Brizgalka Teniposide 0.1 mg/ml
Glukoza 5% 905
Združljivo
Brizgalka Ampicillin sodium - sulbactam sodium 30 mg/ml
Brizgalka Theophylline 4 mg/ml
Nobeden 317
Združljivo
Brizgalka Ampicillin sodium - sulbactam sodium 20/10 mg/ml
Brizgalka Thiotepa 1 mg/ml
Glukoza 5% 249
Združljivo
Brizgalka Ampicillin sodium - sulbactam sodium 10/20 mg/ml
Brizgalka Tramadol hydrochloride 0,4 mg/ml
Natrijev klorid 0,9% 2002
Združljivo
Brizgalka Ampicillin sodium - sulbactam sodium 1/0.5 >> 250/125 mg/ml
Brizgalka Vancomycin hydrochloride 2 mg/ml
Glukoza 5% 1674
Združljivo
Brizgalka Ampicillin sodium - sulbactam sodium 1/0.5 >> 50/25 mg/ml
Brizgalka Vancomycin hydrochloride 20 mg/ml
Glukoza 5% 1674
Takoj padavine Nezdružljivo
Brizgalka Ampicillin sodium - sulbactam sodium 250-125 mg/ml
Brizgalka Vancomycin hydrochloride 20 mg/ml
Glukoza 5% 1674

  Mentions Légales