Останнє оновлення :
17/12/2025
Антибіотик   Ampicillin sodium - sulbactam sodium  
ін'єкція
Стійкість в розчинах Стійкість сумішей Фактори, що впливають на стабільність Сумісність Шлях введення Список літератури pdf
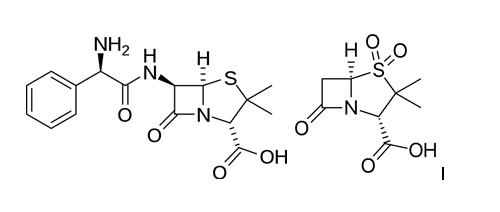
   Хімічна структура  

Торгова назва   Торгова назва     

Торгові назви є орієнтовними, а склад допоміжних речовин може бути різним залежно від країни та виробника

Alfasid Туреччина
Ampibac Колумбія
Ampibactam Венесуела
Ampicillin sulbactam Австралія
Ampicillina sodica - sulbactam Бразилія, Еквадор
Ampictam Єгипет
Ampiplus Румунія, Саудівська Аравія
Ampisid Туреччина
Ampixim Венесуела
Bacimex Іспанія
Begalin Греція
Bethacil Італія
Cinclox Індія
Combicid Туреччина
Darzitil Аргентина
Duobaktam Туреччина
Duocid Туреччина
Galotam Іспанія
Libractam Чилі
Loricin Італія
Prixin Аргентина
Ranpisul Мексика
Retarpen Іспанія
Sabect Єгипет
Sulamp Колумбія
Sulbacter Венесуела
Sulbaksit Туреччина
Sulbin Єгипет
Sulcid Туреччина
Sumitan Венесуела, Колумбія
Synerpen Єгипет
Ultracillin Єгипет
Unacid Німеччина
Unacim Франція
Unasyn Єгипет, Іспанія, Італія, Австрія, Бразилія, Еквадор, Колумбія, Малайзія, Марокко, Мексика, Німеччина, Перу, Польща, Саудівська Аравія, Сполучені Штати Америки, Угорщина, Чилі, Японія
Unictam Єгипет
Xilbac Перу
Сумісність   ін'єкція   Сумісність : Ampicillin sodium - sulbactam sodium              
explication_incompatibilite_molecules
З'єднання Розчинник Список літератури
сумісний
ін'єкція Ampicillin sodium - sulbactam sodium 20/10 mg/ml
ін'єкція Amifostine 10 mg/ml
Глюкоза 5% 3
Хімічна нестійкість Несумісні
ін'єкція Ampicillin sodium - sulbactam sodium
ін'єкція Amikacin sulfate
3549
Миттєві опади Несумісні
ін'єкція Ampicillin sodium - sulbactam sodium 30 mg/ml
ін'єкція Amiodarone hydrochloride 6 mg/ml
Натрію хлорид 0,9% 1611
Миттєві опади Несумісні
ін'єкція Ampicillin sodium - sulbactam sodium 30 mg/ml
ін'єкція Amiodarone hydrochloride 6 mg/ml
Глюкоза 5% 1611
Миттєві опади Несумісні
ін'єкція Ampicillin sodium - sulbactam sodium 20/10 mg/ml
ін'єкція Amphotericin B cholesteryl sulfate complex 0.83 mg/ml
Глюкоза 5% 921
сумісний
ін'єкція Ampicillin sodium - sulbactam sodium 20/10 mg/ml
ін'єкція Anidulafungin 0.5 mg/ml
Глюкоза 5% 1982
сумісний
ін'єкція Ampicillin sodium - sulbactam sodium 20/10 mg/ml
ін'єкція Aztreonam 40 mg/ml
Глюкоза 5% 99
сумісний
ін'єкція Ampicillin sodium - sulbactam sodium 20/10 mg/ml
ін'єкція Bivalirudin 5 mg/ml
Глюкоза 5% 1713
сумісний
ін'єкція Ampicillin sodium - sulbactam sodium 20/10 mg/ml
ін'єкція Ceftolozane / tazobactam 10/5 mg/ml
Натрію хлорид 0,9% 3828
сумісний
ін'єкція Ampicillin sodium - sulbactam sodium 20/10 mg/ml
ін'єкція Ceftolozane / tazobactam 10/5 mg/ml
Глюкоза 5% 3828
Миттєві опади Несумісні
ін'єкція Ampicillin sodium - sulbactam sodium
ін'єкція Ciprofloxacin lactate
Глюкоза 5% 1500
Миттєві опади Несумісні
ін'єкція Ampicillin sodium - sulbactam sodium 30 mg/ml
ін'єкція Ciprofloxacin lactate 2 mg/ml
Глюкоза 5% 285
Миттєві опади Несумісні
ін'єкція Ampicillin sodium - sulbactam sodium
ін'єкція Ciprofloxacin lactate
Натрію хлорид 0,9% 1500
Неуточнена несумісність Несумісні
ін'єкція Ampicillin sodium - sulbactam sodium
ін'єкція Ciprofloxacin lactate
3529
Негайне помутніння Несумісні
ін'єкція Ampicillin sodium - sulbactam sodium 20/10 mg/ml
ін'єкція Cisatracurium besylate 5 mg/ml
Глюкоза 5% 299
сумісний
ін'єкція Ampicillin sodium - sulbactam sodium 20/10 mg/ml
ін'єкція Dexmedetomidine 4 µg/ml
Натрію хлорид 0,9% 1712
сумісний
ін'єкція Ampicillin sodium - sulbactam sodium 20/10 mg/ml
ін'єкція Docetaxel 0.9 mg/ml
Глюкоза 5% 1754
Неуточнена несумісність Несумісні
ін'єкція Ampicillin sodium - sulbactam sodium
Парентеральне харчування (бінарна суміш) 5067
сумісний
ін'єкція Ampicillin sodium - sulbactam sodium 20/10 mg/ml
Парентеральне харчування (бінарна суміш) 301
Неуточнена несумісність Несумісні
ін'єкція Ampicillin sodium - sulbactam sodium
Парентеральне харчування (ліпідами) 5067
сумісний
ін'єкція Ampicillin sodium - sulbactam sodium 20/10 mg/ml
ін'єкція Cisatracurium besylate 0.1 & 2 mg/ml
Глюкоза 5% 299
Негайне помутніння Несумісні
ін'єкція Ampicillin sodium - sulbactam sodium 20/10 mg/ml
ін'єкція Cisatracurium besylate 5 mg/ml
Натрію хлорид 0,9% 299
сумісний
ін'єкція Ampicillin sodium - sulbactam sodium 2 & 15 mg/ml
ін'єкція Diltiazem hydrochloride 5 mg/ml
Натрію хлорид 0,9% 198
сумісний
ін'єкція Ampicillin sodium - sulbactam sodium 45 mg/ml
ін'єкція Diltiazem hydrochloride 1 mg/ml
Натрію хлорид 0,9% 198
сумісний
ін'єкція Ampicillin sodium - sulbactam sodium 20 mg/ml
Парентеральне харчування (ліпідами) 4507
Негайне помутніння Несумісні
ін'єкція Ampicillin sodium - sulbactam sodium 45 mg/ml
ін'єкція Diltiazem hydrochloride 5 mg/ml
Натрію хлорид 0,9% 198
сумісний
ін'єкція Ampicillin sodium - sulbactam sodium 15 mg/ml
ін'єкція Enalaprilate 0.05 mg/ml
Натрію хлорид 0,9% 1315
сумісний
ін'єкція Ampicillin sodium - sulbactam sodium 20/10 mg/ml
Парентеральне харчування (ліпідами) 1415
Неуточнена несумісність Несумісні
ін'єкція Ampicillin sodium - sulbactam sodium
ін'єкція Erythromycin lactobionate
3674
сумісний
ін'єкція Ampicillin sodium - sulbactam sodium 30 mg/ml
ін'єкція Famotidine
Глюкоза 5% 397
сумісний
ін'єкція Ampicillin sodium - sulbactam sodium 60 mg/ml
ін'єкція Fluconazole 2 mg/ml
Натрію хлорид 0,9% 496
сумісний
ін'єкція Ampicillin sodium - sulbactam sodium 15 mg/ml
Парентеральне харчування (ліпідами) 4440
сумісний
ін'єкція Ampicillin sodium - sulbactam sodium 20/10 mg/ml
ін'єкція Etoposide phosphate 5 mg/ml
Глюкоза 5% 1410
сумісний
ін'єкція Ampicillin sodium - sulbactam sodium 20/10 mg/ml
ін'єкція Fenoldopam mesylate 80 µg/ml
Натрію хлорид 0,9% 1803
сумісний
ін'єкція Ampicillin sodium - sulbactam sodium 20/10 mg/ml
ін'єкція Filgrastim 30 µg/ml
Глюкоза 5% 244
сумісний
ін'єкція Ampicillin sodium - sulbactam sodium 20/10 mg/ml
ін'єкція Fludarabine phosphate 1 mg/ml
Глюкоза 5% 492
сумісний
ін'єкція Ampicillin sodium - sulbactam sodium 20/10 mg/ml
ін'єкція Fosfomycin 30 mg/ml
Глюкоза 5% 4055
сумісний
ін'єкція Ampicillin sodium - sulbactam sodium 20/10 mg/ml
ін'єкція Fosfomycin 30 mg/ml
Натрію хлорид 0,9% 4055
сумісний
ін'єкція Ampicillin sodium - sulbactam sodium 45/22.4 mg/ml
ін'єкція Gallium nitrate 1 mg/ml
Натрію хлорид 0,9% 91
сумісний
ін'єкція Ampicillin sodium - sulbactam sodium 20/10 mg/ml
ін'єкція Gemcitabine hydrochloride 10 mg/ml
Натрію хлорид 0,9% 1423
Неуточнена несумісність Несумісні
ін'єкція Ampicillin sodium - sulbactam sodium
ін'єкція Gentamicin sulfate
3520
Неуточнена несумісність Несумісні
ін'єкція Ampicillin sodium - sulbactam sodium
ін'єкція Gentamicin sulfate
3643
сумісний
ін'єкція Ampicillin sodium - sulbactam sodium 20/10 mg/ml
ін'єкція Granisetron hydrochloride 0.05 mg/ml
Натрію хлорид 0,9% 182
сумісний
ін'єкція Ampicillin sodium - sulbactam sodium 30 mg/ml
ін'єкція Heparin sodium 50 UI/ml
Жодного 317
сумісний
ін'єкція Ampicillin sodium - sulbactam sodium 20/10 mg/ml
ін'єкція Hetastarch 60 mg/ml
специфічний розчинник 1721
Негайне помутніння Несумісні
ін'єкція Ampicillin sodium - sulbactam sodium 30 mg/ml
ін'єкція Idarubicin hydrochloride 1 mg/ml
Натрію хлорид 0,9% 491
сумісний
ін'єкція Ampicillin sodium - sulbactam sodium 30 mg/ml
ін'єкція Insulin 0.2 UI/ml
Натрію хлорид 0,9% 129
Негайне помутніння Несумісні
ін'єкція Ampicillin sodium - sulbactam sodium 20/10 mg/ml
ін'єкція Isavuconazonium sulfate 1.5 mg/ml
Натрію хлорид 0,9% 3829
сумісний
ін'єкція Ampicillin sodium - sulbactam sodium
Натрію хлорид 0,9% 5067
Негайне помутніння Несумісні
ін'єкція Ampicillin sodium - sulbactam sodium 20/10 mg/ml
ін'єкція Isavuconazonium sulfate 1.5 mg/ml
Глюкоза 5% 3829
сумісний
ін'єкція Ampicillin sodium - sulbactam sodium 20/10 mg/ml
ін'єкція Ketoprofene 3.2 mg/ml
Натрію хлорид 0,9% 1847
Миттєві опади Несумісні
ін'єкція Ampicillin sodium - sulbactam sodium 20/10 mg/ml
ін'єкція Lansoprazole 0.55 mg/ml
Натрію хлорид 0,9% 1625
сумісний
ін'єкція Ampicillin sodium - sulbactam sodium 20/10 mg/ml
ін'єкція Linezolid 2 mg/ml
Жодного 1925
сумісний
ін'єкція Ampicillin sodium - sulbactam sodium 30 mg/ml
ін'єкція Morphine sulfate 1 mg/ml
Натрію хлорид 0,9% 406
Негайне помутніння Несумісні
ін'єкція Ampicillin sodium - sulbactam sodium 15 mg/ml
ін'єкція Nicardipine hydrochloride 0.1 mg/ml
Натрію хлорид 0,9% 1490
Негайне помутніння Несумісні
ін'єкція Ampicillin sodium - sulbactam sodium 15 mg/ml
ін'єкція Nicardipine hydrochloride 0.1 mg/ml
Глюкоза 5% 1490
Миттєві опади Несумісні
ін'єкція Ampicillin sodium - sulbactam sodium 20/10 mg/ml
ін'єкція Ondansetron hydrochloride 1 mg/ml
Натрію хлорид 0,9% 334
сумісний
ін'єкція Ampicillin sodium - sulbactam sodium 20/10 mg/ml
ін'єкція Paclitaxel 1.2 mg/ml
Глюкоза 5% 248
сумісний
ін'єкція Ampicillin sodium - sulbactam sodium 20/10 mg/ml
ін'єкція Palonosetron hydrochloride 50 µg/ml
Натрію хлорид 0,9% 2214
сумісний
ін'єкція Ampicillin sodium - sulbactam sodium 20/10 mg/ml
ін'єкція Pemetrexed disodium 20 mg/ml
Натрію хлорид 0,9% 1953
сумісний
ін'єкція Ampicillin sodium - sulbactam sodium 30 mg/ml
ін'єкція Pethidine hydrochloride 10 mg/ml
Натрію хлорид 0,9% 406
сумісний
ін'єкція Ampicillin sodium - sulbactam sodium 20/10 mg/ml
ін'єкція Plazomicin sulfate 24 mg/ml
Натрію хлорид 0,9% 4145
сумісний
ін'єкція Ampicillin sodium - sulbactam sodium 20/10 mg/ml
ін'єкція Remifentanil hydrochloride 25 & 250 µg/ml
Натрію хлорид 0,9% 59
Опади через 4 год Несумісні
ін'єкція Ampicillin sodium - sulbactam sodium 20/10 mg/ml
ін'єкція Sargramostim 10 µg/ml
Натрію хлорид 0,9% 335
сумісний
ін'єкція Ampicillin sodium - sulbactam sodium 200 mg/ml
ін'єкція Sugammadex 100 mg/ml
Жодного 3372
сумісний
ін'єкція Ampicillin sodium - sulbactam sodium 50 mg/ml
ін'єкція Tacrolimus 1000 µg/ml
Натрію хлорид 0,9% 479
сумісний
ін'єкція Ampicillin sodium - sulbactam sodium 20/10 mg/ml
ін'єкція Tedizolid phosphate 0.8 mg/ml
Натрію хлорид 0,9% 3827
сумісний
ін'єкція Ampicillin sodium - sulbactam sodium 20/10 mg/ml
ін'єкція Telavancin hydrochloride 7.5 mg/ml
Глюкоза 5% 3254
сумісний
ін'єкція Ampicillin sodium - sulbactam sodium 20/10 mg/ml
ін'єкція Telavancin hydrochloride 7.5 mg/ml
Натрію хлорид 0,9% 3254
сумісний
ін'єкція Ampicillin sodium - sulbactam sodium 20/10 mg/ml
ін'єкція Telavancin hydrochloride 7.5 mg/ml
Розчин лактату Рінгера 3254
сумісний
ін'єкція Ampicillin sodium - sulbactam sodium 20/10 mg/ml
ін'єкція Teniposide 0.1 mg/ml
Глюкоза 5% 905
сумісний
ін'єкція Ampicillin sodium - sulbactam sodium 30 mg/ml
ін'єкція Theophylline 4 mg/ml
Жодного 317
сумісний
ін'єкція Ampicillin sodium - sulbactam sodium 20/10 mg/ml
ін'єкція Thiotepa 1 mg/ml
Глюкоза 5% 249
сумісний
ін'єкція Ampicillin sodium - sulbactam sodium 10/20 mg/ml
ін'єкція Tramadol hydrochloride 0,4 mg/ml
Натрію хлорид 0,9% 2002
сумісний
ін'єкція Ampicillin sodium - sulbactam sodium 1/0.5 >> 250/125 mg/ml
ін'єкція Vancomycin hydrochloride 2 mg/ml
Глюкоза 5% 1674
сумісний
ін'єкція Ampicillin sodium - sulbactam sodium 1/0.5 >> 50/25 mg/ml
ін'єкція Vancomycin hydrochloride 20 mg/ml
Глюкоза 5% 1674
Миттєві опади Несумісні
ін'єкція Ampicillin sodium - sulbactam sodium 250-125 mg/ml
ін'єкція Vancomycin hydrochloride 20 mg/ml
Глюкоза 5% 1674

  Mentions Légales