Last update :
18/03/2026
Antibiotic   Ampicillin sodium - sulbactam sodium  
injection
Stability in solutions Stability of mixtures Factors which affect stability Compatibility Route of administration References pdf
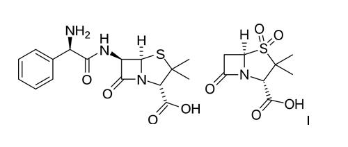
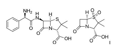
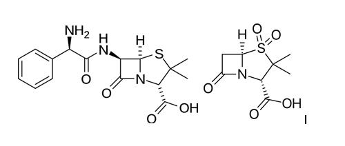
   Chemical structure  

Tradename   Tradename     

Trade names are indicative and excipients composition can be different depending on the country and manufacturers

Alfasid Turkey
Ampibac Colombia
Ampibactam Venezuela
Ampicillin sulbactam Australia
Ampicillina sodica - sulbactam Brazil, Ecuador
Ampictam Egypt
Ampiplus Romania, Saudi Arabia
Ampisid Turkey
Ampixim Venezuela
Bacimex Spain
Begalin Greece
Bethacil Italy
Cinclox India
Combicid Turkey
Darzitil Argentina
Duobaktam Turkey
Duocid Turkey
Galotam Spain
Libractam Chile
Loricin Italy
Prixin Argentina
Ranpisul Mexico
Retarpen Spain
Sabect Egypt
Sulamp Colombia
Sulbacter Venezuela
Sulbaksit Turkey
Sulbin Egypt
Sulcid Turkey
Sumitan Colombia, Venezuela
Synerpen Egypt
Ultracillin Egypt
Unacid Germany
Unacim France
Unasyn Austria, Brazil, Chile, Colombia, Ecuador, Egypt, Germany, Hungary, Italy, Japan, Malaysia, Mexico, Morocco, Peru, Poland, Saudi Arabia, Spain, United States of America
Unictam Egypt
Xilbac Peru
Compatibility   injection   Compatibility : Ampicillin sodium - sulbactam sodium              
This screen indicates the compatibilities or incompatibilities with, in this case, the type of incompatibility (precipitation, color change, modification of an emulsion, etc.). The compatibilities shown here are mostly physical only, with the chemical stability of each molecule rarely being assessed. The evaluation of these mixtures was studied to consider the possibility of Y-site administration to the patient. These data cannot be used for making mixtures in advance in bags or syringes. This type of information is available in the screen "Stability in mixture ».
Compound Solvent References
Compatible
injection Ampicillin sodium - sulbactam sodium 20/10 mg/ml
injection Amifostine 10 mg/ml
Glucose 5% 3
Chemical instability Incompatible
injection Ampicillin sodium - sulbactam sodium
injection Amikacin sulfate
3549
Immediate precipitation Incompatible
injection Ampicillin sodium - sulbactam sodium 30 mg/ml
injection Amiodarone hydrochloride 6 mg/ml
Sodium chloride 0,9% 1611
Immediate precipitation Incompatible
injection Ampicillin sodium - sulbactam sodium 30 mg/ml
injection Amiodarone hydrochloride 6 mg/ml
Glucose 5% 1611
Immediate precipitation Incompatible
injection Ampicillin sodium - sulbactam sodium 20/10 mg/ml
injection Amphotericin B cholesteryl sulfate complex 0.83 mg/ml
Glucose 5% 921
Compatible
injection Ampicillin sodium - sulbactam sodium 20/10 mg/ml
injection Anidulafungin 0.5 mg/ml
Glucose 5% 1982
Compatible
injection Ampicillin sodium - sulbactam sodium 20/10 mg/ml
injection Aztreonam 40 mg/ml
Glucose 5% 99
Compatible
injection Ampicillin sodium - sulbactam sodium 20/10 mg/ml
injection Bivalirudin 5 mg/ml
Glucose 5% 1713
Compatible
injection Ampicillin sodium - sulbactam sodium 20/10 mg/ml
injection Ceftolozane / tazobactam 10/5 mg/ml
Sodium chloride 0,9% 3828
Compatible
injection Ampicillin sodium - sulbactam sodium 20/10 mg/ml
injection Ceftolozane / tazobactam 10/5 mg/ml
Glucose 5% 3828
Immediate precipitation Incompatible
injection Ampicillin sodium - sulbactam sodium
injection Ciprofloxacin lactate
Glucose 5% 1500
Immediate precipitation Incompatible
injection Ampicillin sodium - sulbactam sodium 30 mg/ml
injection Ciprofloxacin lactate 2 mg/ml
Glucose 5% 285
Immediate precipitation Incompatible
injection Ampicillin sodium - sulbactam sodium
injection Ciprofloxacin lactate
Sodium chloride 0,9% 1500
Unspecified incompatibility Incompatible
injection Ampicillin sodium - sulbactam sodium
injection Ciprofloxacin lactate
3529
Immediate turbidity Incompatible
injection Ampicillin sodium - sulbactam sodium 20/10 mg/ml
injection Cisatracurium besylate 5 mg/ml
Glucose 5% 299
Compatible
injection Ampicillin sodium - sulbactam sodium 20/10 mg/ml
injection Dexmedetomidine 4 µg/ml
Sodium chloride 0,9% 1712
Compatible
injection Ampicillin sodium - sulbactam sodium 20/10 mg/ml
injection Docetaxel 0.9 mg/ml
Glucose 5% 1754
Unspecified incompatibility Incompatible
injection Ampicillin sodium - sulbactam sodium
Parenteral nutrition (binary mixture) 5067
Compatible
injection Ampicillin sodium - sulbactam sodium 20/10 mg/ml
Parenteral nutrition (binary mixture) 301
Unspecified incompatibility Incompatible
injection Ampicillin sodium - sulbactam sodium
Parenteral nutrition (with lipids) 5067
Compatible
injection Ampicillin sodium - sulbactam sodium 20/10 mg/ml
injection Cisatracurium besylate 0.1 & 2 mg/ml
Glucose 5% 299
Immediate turbidity Incompatible
injection Ampicillin sodium - sulbactam sodium 20/10 mg/ml
injection Cisatracurium besylate 5 mg/ml
Sodium chloride 0,9% 299
Compatible
injection Ampicillin sodium - sulbactam sodium 2 & 15 mg/ml
injection Diltiazem hydrochloride 5 mg/ml
Sodium chloride 0,9% 198
Compatible
injection Ampicillin sodium - sulbactam sodium 45 mg/ml
injection Diltiazem hydrochloride 1 mg/ml
Sodium chloride 0,9% 198
Compatible
injection Ampicillin sodium - sulbactam sodium 20 mg/ml
Parenteral nutrition (with lipids) 4507
Immediate turbidity Incompatible
injection Ampicillin sodium - sulbactam sodium 45 mg/ml
injection Diltiazem hydrochloride 5 mg/ml
Sodium chloride 0,9% 198
Compatible
injection Ampicillin sodium - sulbactam sodium 15 mg/ml
injection Enalaprilate 0.05 mg/ml
Sodium chloride 0,9% 1315
Compatible
injection Ampicillin sodium - sulbactam sodium 20/10 mg/ml
Parenteral nutrition (with lipids) 1415
Unspecified incompatibility Incompatible
injection Ampicillin sodium - sulbactam sodium
injection Erythromycin lactobionate
3674
Compatible
injection Ampicillin sodium - sulbactam sodium 30 mg/ml
injection Famotidine
Glucose 5% 397
Compatible
injection Ampicillin sodium - sulbactam sodium 60 mg/ml
injection Fluconazole 2 mg/ml
Sodium chloride 0,9% 496
Compatible
injection Ampicillin sodium - sulbactam sodium 15 mg/ml
Parenteral nutrition (with lipids) 4440
Compatible
injection Ampicillin sodium - sulbactam sodium 20/10 mg/ml
injection Etoposide phosphate 5 mg/ml
Glucose 5% 1410
Compatible
injection Ampicillin sodium - sulbactam sodium 20/10 mg/ml
injection Fenoldopam mesylate 80 µg/ml
Sodium chloride 0,9% 1803
Compatible
injection Ampicillin sodium - sulbactam sodium 20/10 mg/ml
injection Filgrastim 30 µg/ml
Glucose 5% 244
Compatible
injection Ampicillin sodium - sulbactam sodium 20/10 mg/ml
injection Fludarabine phosphate 1 mg/ml
Glucose 5% 492
Compatible
injection Ampicillin sodium - sulbactam sodium 20/10 mg/ml
injection Fosfomycin 30 mg/ml
Glucose 5% 4055
Compatible
injection Ampicillin sodium - sulbactam sodium 20/10 mg/ml
injection Fosfomycin 30 mg/ml
Sodium chloride 0,9% 4055
Compatible
injection Ampicillin sodium - sulbactam sodium 45/22.4 mg/ml
injection Gallium nitrate 1 mg/ml
Sodium chloride 0,9% 91
Compatible
injection Ampicillin sodium - sulbactam sodium 20/10 mg/ml
injection Gemcitabine hydrochloride 10 mg/ml
Sodium chloride 0,9% 1423
Unspecified incompatibility Incompatible
injection Ampicillin sodium - sulbactam sodium
injection Gentamicin sulfate
3520
Unspecified incompatibility Incompatible
injection Ampicillin sodium - sulbactam sodium
injection Gentamicin sulfate
3643
Compatible
injection Ampicillin sodium - sulbactam sodium 20/10 mg/ml
injection Granisetron hydrochloride 0.05 mg/ml
Sodium chloride 0,9% 182
Compatible
injection Ampicillin sodium - sulbactam sodium 30 mg/ml
injection Heparin sodium 50 UI/ml
None 317
Compatible
injection Ampicillin sodium - sulbactam sodium 20/10 mg/ml
injection Hetastarch 60 mg/ml
specific solvent 1721
Immediate turbidity Incompatible
injection Ampicillin sodium - sulbactam sodium 30 mg/ml
injection Idarubicin hydrochloride 1 mg/ml
Sodium chloride 0,9% 491
Compatible
injection Ampicillin sodium - sulbactam sodium 30 mg/ml
injection Insulin 0.2 UI/ml
Sodium chloride 0,9% 129
Immediate turbidity Incompatible
injection Ampicillin sodium - sulbactam sodium 20/10 mg/ml
injection Isavuconazonium sulfate 1.5 mg/ml
Sodium chloride 0,9% 3829
Compatible
injection Ampicillin sodium - sulbactam sodium
Sodium chloride 0,9% 5067
Immediate turbidity Incompatible
injection Ampicillin sodium - sulbactam sodium 20/10 mg/ml
injection Isavuconazonium sulfate 1.5 mg/ml
Glucose 5% 3829
Compatible
injection Ampicillin sodium - sulbactam sodium 20/10 mg/ml
injection Ketoprofene 3.2 mg/ml
Sodium chloride 0,9% 1847
Immediate precipitation Incompatible
injection Ampicillin sodium - sulbactam sodium 20/10 mg/ml
injection Lansoprazole 0.55 mg/ml
Sodium chloride 0,9% 1625
Compatible
injection Ampicillin sodium - sulbactam sodium 20/10 mg/ml
injection Linezolid 2 mg/ml
None 1925
Compatible
injection Ampicillin sodium - sulbactam sodium 30 mg/ml
injection Morphine sulfate 1 mg/ml
Sodium chloride 0,9% 406
Immediate turbidity Incompatible
injection Ampicillin sodium - sulbactam sodium 15 mg/ml
injection Nicardipine hydrochloride 0.1 mg/ml
Sodium chloride 0,9% 1490
Immediate turbidity Incompatible
injection Ampicillin sodium - sulbactam sodium 15 mg/ml
injection Nicardipine hydrochloride 0.1 mg/ml
Glucose 5% 1490
Immediate precipitation Incompatible
injection Ampicillin sodium - sulbactam sodium 20/10 mg/ml
injection Ondansetron hydrochloride 1 mg/ml
Sodium chloride 0,9% 334
Compatible
injection Ampicillin sodium - sulbactam sodium 20/10 mg/ml
injection Paclitaxel 1.2 mg/ml
Glucose 5% 248
Compatible
injection Ampicillin sodium - sulbactam sodium 20/10 mg/ml
injection Palonosetron hydrochloride 50 µg/ml
Sodium chloride 0,9% 2214
Compatible
injection Ampicillin sodium - sulbactam sodium 20/10 mg/ml
injection Pemetrexed disodium 20 mg/ml
Sodium chloride 0,9% 1953
Compatible
injection Ampicillin sodium - sulbactam sodium 30 mg/ml
injection Pethidine hydrochloride 10 mg/ml
Sodium chloride 0,9% 406
Compatible
injection Ampicillin sodium - sulbactam sodium 20/10 mg/ml
injection Plazomicin sulfate 24 mg/ml
Sodium chloride 0,9% 4145
Compatible
injection Ampicillin sodium - sulbactam sodium 20/10 mg/ml
injection Remifentanil hydrochloride 25 & 250 µg/ml
Sodium chloride 0,9% 59
Precipitation after 4 hours Incompatible
injection Ampicillin sodium - sulbactam sodium 20/10 mg/ml
injection Sargramostim 10 µg/ml
Sodium chloride 0,9% 335
Compatible
injection Ampicillin sodium - sulbactam sodium 200 mg/ml
injection Sugammadex 100 mg/ml
None 3372
Compatible
injection Ampicillin sodium - sulbactam sodium 50 mg/ml
injection Tacrolimus 1000 µg/ml
Sodium chloride 0,9% 479
Compatible
injection Ampicillin sodium - sulbactam sodium 20/10 mg/ml
injection Tedizolid phosphate 0.8 mg/ml
Sodium chloride 0,9% 3827
Compatible
injection Ampicillin sodium - sulbactam sodium 20/10 mg/ml
injection Telavancin hydrochloride 7.5 mg/ml
Glucose 5% 3254
Compatible
injection Ampicillin sodium - sulbactam sodium 20/10 mg/ml
injection Telavancin hydrochloride 7.5 mg/ml
Sodium chloride 0,9% 3254
Compatible
injection Ampicillin sodium - sulbactam sodium 20/10 mg/ml
injection Telavancin hydrochloride 7.5 mg/ml
Ringer’s lactate solution 3254
Compatible
injection Ampicillin sodium - sulbactam sodium 20/10 mg/ml
injection Teniposide 0.1 mg/ml
Glucose 5% 905
Compatible
injection Ampicillin sodium - sulbactam sodium 30 mg/ml
injection Theophylline 4 mg/ml
None 317
Compatible
injection Ampicillin sodium - sulbactam sodium 20/10 mg/ml
injection Thiotepa 1 mg/ml
Glucose 5% 249
Compatible
injection Ampicillin sodium - sulbactam sodium 10/20 mg/ml
injection Tramadol hydrochloride 0,4 mg/ml
Sodium chloride 0,9% 2002
Compatible
injection Ampicillin sodium - sulbactam sodium 1/0.5 >> 250/125 mg/ml
injection Vancomycin hydrochloride 2 mg/ml
Glucose 5% 1674
Compatible
injection Ampicillin sodium - sulbactam sodium 1/0.5 >> 50/25 mg/ml
injection Vancomycin hydrochloride 20 mg/ml
Glucose 5% 1674
Immediate precipitation Incompatible
injection Ampicillin sodium - sulbactam sodium 250-125 mg/ml
injection Vancomycin hydrochloride 20 mg/ml
Glucose 5% 1674

  Mentions Légales